Viimeksi julkaistu 3.11.2021 12.16

Hallituksen esitys HE 77/2016 vp Hallituksen esitys eduskunnalle laeiksi kuluttajansuojalain muuttamisesta, asunto-omaisuuteen liittyvien kuluttajaluottojen välittäjistä ja eräiden luotonantajien ja luotonvälittäjien rekisteröinnistä sekä eräiksi niihin liittyviksi laeiksi

Esityksen pääasiallinen sisältö

Esityksessä ehdotetaan muutettavaksi kuluttajansuojalakia ja säädettäväksi uudet lait asunto-omaisuuteen liittyvien kuluttajaluottojen välittäjistä ja eräistä luotonantajista ja luotonvälittäjistä. Lisäksi ehdotetaan eräitä muutoksia luottolaitostoiminnasta, Finanssivalvonnasta, Finanssivalvonnan valvontamaksusta, rahanpesun ja terrorismin rahoittamisen estämisestä ja selvittämisestä sekä Harmaan talouden selvitysyksiköstä annettuihin lakeihin. Pääosin ehdotetuilla uudistuksilla pantaisiin täytäntöön Euroopan parlamentin ja neuvoston direktiivi kuluttajille tarkoitetuista kiinteää asunto-omaisuutta koskevista luottosopimuksista. 

Kuluttajansuojalakiin lisättäisiin asunto-omaisuuteen liittyviä kuluttajaluottoja koskeva uusi luku, minkä johdosta samat säännökset eivät koskisi enää kaikkia kuluttajaluottoja kuten nykyisin. Luotonantajan olisi vertailun helpottamiseksi annettava kuluttajalle ennen asuntoluottoa koskevan sopimuksen tekemistä keskeiset luottoa koskevat tiedot vakiomuotoisella lomakkeella. Kuluttajalla olisi oikeus peruuttaa myös luotonantajan liiketiloissa tehty asuntoluottosopimus, kun nykyisin peruuttamisoikeus koskee vain etämyynnissä ja kotimyynnissä tarjottuja asuntoluottoja. Lisäksi luku sisältäisi uusia niin asuntoluottoja kuin asuntovakuudellisia kuluttajaluottoja koskevia säännöksiä luottotarjouksen tekemisestä, luoton vakuudeksi annettavan omaisuuden arvioinnista, valuuttaluotoista ja neuvontapalveluista. 

Myös muita kuluttajaluottoja koskeviin kuluttajansuojalain säännöksiin ehdotetaan eräitä muutoksia. Luottotarjouksen ehtona ei esityksen mukaan saisi olla, että kuluttaja tekee sopimuksen toisesta rahoituspalvelusta, muusta palvelusta tai rahoitusvälineestä luotonantajan tai tämän kanssa yhteistoiminnassa toimivan elinkeinonharjoittajan kanssa. Lisäksi tulkintaepäselvyyksien poistamiseksi koron muuttamista koskevaa säännöstä tarkistettaisiin siten, että luoton korko voi muuttua vain sopimuksessa yksilöidyn viitekoron muutosten mukaisesti ja edellyttäen, että tästä on sovittu kuluttajaluottosopimuksessa. Asuntoluotoissa luotonantaja saisi kuitenkin periä kuluttajalta luoton marginaalin myös silloin, kun viitekorko on negatiivinen, jos tästä on luottosopimuksessa sovittu. 

Asunto-omaisuuteen liittyvien kuluttajaluottojen välittäminen edellyttäisi esityksen mukaan rekisteröintiä. Rekisteri- ja valvontaviranomaisena toimisi Finanssivalvonta. Rekisteröinnin edellytyksenä olisi muun muassa, että ilmoituksen tekijä on luotettava, ilmoituksen tekijällä ja tämän henkilöstöllä on riittävä pätevyys ja tietämys ja että ilmoituksen tekijällä on vastuuvakuutus toiminnasta aiheutuvien vahinkojen varalta. Vastaavat pätevyyttä ja tietämystä koskevat vaatimukset koskisivat myös asunto-omaisuuteen liittyviä kuluttajaluottoja tarjoavien luotonantajien henkilöstöä. 

Uutta olisi lisäksi, että vertaislainojen välittäminen edellyttäisi rekisteröintiä Etelä-Suomen aluehallintoviraston ylläpitämään luotonantaja- ja vertaislainanvälittäjärekisteriin. Vertaislainalla tarkoitetaan elinkeinonharjoittajan kuluttajalle välittämää luottoa, jonka myöntää joku muu kuin ammattimainen luotonantaja. Vertaislainanvälittäjän olisi huolehdittava siitä, että luottosuhteessa noudatetaan kuluttajansuojalain kuluttajaluottoja koskevia säännöksiä. Vertaislainoihin liittyvät säännökset ovat kansallisia eivätkä perustu direktiiviin.  

Lait ovat tarkoitetut tulemaan voimaan mahdollisimman pian niiden hyväksymisen ja vahvistamisen jälkeen. Muutokset sopimusoikeudellisissa säännöksissä vaikuttaisivat vain lakien voimaantulon jälkeen tehtäviin sopimuksiin. Rekisteröintiä ja ammattitaitovaatimuksia koskisivat tietyt siirtymäsäännökset. 

Yleisperustelut

Johdanto

Luotonotto on lisääntynyt merkittävästi viimeisen vuosikymmenen aikana, vaikkakin kotitalouksien luottokanta on aivan viime vuosina pienentynyt. Tilastokeskuksen luottokantatilaston mukaan vuoden 2005 lopussa kotitalouksien luottokanta oli noin 69 miljardia euroa, joista asuntoluottojen ja vapaa-ajan asuntoja varten myönnettyjen luottojen osuus oli noin 50 miljardia euroa ja kulutusluottojen ja opintolainojen osuus oli hieman yli 11 miljardia euroa. Vuoden 2010 lopussa kotitalouksien luottokanta oli jo 104 miljardia euroa, joista asuntoluottojen ja vapaa-ajan asuntoja varten myönnettyjen luottojen osuus oli noin 79 miljardia euroa ja kulutusluottojen ja opintolainojen osuus vajaa 15 miljardia euroa. Suomen Pankin tilastojen mukaan tammikuun lopussa 2016 kotitalouksilla oli Suomessa toimivien luottolaitosten luottoja yhteensä 122 miljardia euroa, joista asuntoluottoja oli 92 miljardia euroa, kulutusluottoja 14 miljardia euroa ja muita lainoja 16 miljardia euroa. Lisäksi Tilastokeskuksen mukaan joulukuun lopussa 2015 muiden rahoituslaitosten kotitalouksille myöntämien luottojen kanta oli 2 miljardia euroa. Näistä luotoista kulutusluottojen osuus oli 95 %.  

Kulutusluottolainsäädännön kokonaisuudistusta koskevassa hallituksen esityksessä (HE 24/2010 vp, s. 5) todetun mukaisesti myös luottojen tarjonta on viime vuosina monipuolistunut. Kuluttajille suunnattuja luottoja myöntävien luottolaitosten, rahoitusyhtiöiden, luottokorttiyhtiöiden ja pikaluottoyritysten ohella Suomen markkinoille on tullut vertaislainatoimintaa harjoittavia elinkeinonharjoittajia.  

Luotonoton lisäännyttyä ja tarjonnan monipuolistuttua myös yksityishenkilöiden velkaantumisongelmat ovat lisääntyneet. Suomen Asiakastieto Oy:n tilastojen mukaan yksityishenkilöihin kohdistuneet tili- ja kertaluottojen sekä rahoitusyhtiösaatavien ryhmän velkomustuomiot lisääntyivät vuosina 2011—2013 vajaasta 180 000 tuomiosta runsaaseen 245 000:een. Vuonna 2014 vastaava luku oli hieman yli 194 000. Tammi-kesäkuuta 2015 koskevien tilastojen mukaan yksityishenkilöille annettiin yli 82 000 tili- ja kertaluottojen sekä rahoitusyhtiösaatavien ryhmän velkomustuomiota, kun vuotta aiemmin vastaava luku oli yli 107 000 kappaletta. Velkomustuomioiden määrän väheneminen selittynee pääosin kesäkuussa 2013 voimaan tulleella korkokattosääntelyllä. On kuitenkin huomattava, että vaikka velkomustuomioiden määrä on vähentynyt, tuomioiden taustalla olevien velkojen summat ovat kasvaneet vuosina 2014 ja 2015. 

Maksuhäiriöisten yksityishenkilöiden kokonaismäärä oli Suomen Asiakastieto Oy:n luottotietorekisterin mukaan maaliskuun lopussa 2015 lähes 369 000, mikä on enemmän kuin koskaan aiemmin. Vuodessa maksuhäiriöisten henkilöiden määrä on kasvanut 1,9 prosentilla. Vuonna 2010 maksuhäiriöisten henkilöiden kokonaismäärä oli 309 000. On kuitenkin syytä huomata, että maksuhäiriömerkintöjä koskevat tilastot esimerkiksi 1990-luvun lamavuosilta eivät ole täysin vertailukelpoisia nykyisten tilastojen kanssa, sillä maksuhäiriömerkintöjen syntyperusteita koskeva luottotietolainsäädäntö on muuttunut. 

Asuntoluotoista kuluttajille aiheutuu vähemmän velkaantumisongelmia kuin muista luotoista. Niin sanottujen järjestämättömien saamisten osuus oli Finanssivalvonnan julkaisemien luottolaitosten luotonantoa koskevien tilastojen mukaan kesäkuun lopussa 2015 1,2 % asuntoluottokannasta, kun se kotitalouksien ottamissa kulutusluotoissa oli 3,3 %.  

Direktiivi kuluttajille tarkoitetuista kiinteää asunto-omaisuutta koskevista luottosopimuksista

2.1  Yleistä

Euroopan parlamentin ja neuvoston direktiivi 2014/17/ЕU kuluttajille tarkoitetuista kiinteää asunto-omaisuutta koskevista luottosopimuksista ja direktiivien 2008/48/EY ja 2013/36/EU sekä asetuksen (EU) N:o 1093/2010 muuttamisesta (jäljempänä asuntoluottodirektiivi tai direktiivi) annettiin 4 päivänä helmikuuta 2014.  

Direktiivin tavoitteena on kehittää avoimempia ja tehokkaampia luottomarkkinoita ja edistää kiinteää asunto-omaisuutta koskevien luottosopimusten sisämarkkinoiden toteutumista. Direktiivi on jatkoa vuonna 2008 annetulle Euroopan parlamentin ja neuvoston direktiiville 2008/48/EY kulutusluottosopimuksista ja neuvoston direktiivin 87/102/ETY kumoamisesta (jäljempänä kulutusluottodirektiivi).  

Jäsenvaltioiden lainsäädännössä on todettu olevan merkittäviä eroja sen suhteen, millaisia menettelytapoja kiinteää asunto-omaisuutta koskevien luottosopimusten tekemiseen sovelletaan. Eroja on myös kiinteää asunto-omaisuutta koskevia luottosopimuksia tarjoavien luotonvälittäjien ja muiden luotonantajien kuin luottolaitosten sääntelyssä ja valvonnassa. Tällaisten erojen on katsottu luovan esteitä, jotka rajoittavat rajat ylittävää luottosopimusten kysyntää ja tarjontaa. Asunto- ja kiinnitysluottoja koskevan lainsäädännön yhdenmukaistaminen on nähty tarpeelliseksi vastuuttomaan luotonantoon ja luotonottoon liittyvien ongelmien ratkaisemiseksi sekä korkeatasoisen kuluttajansuojan turvaamiseksi. 

Direktiivi on pääsääntöisesti niin sanottu minimidirektiivi, eli sillä ei estetä jäsenvaltioita pitämästä voimassa tai ottamasta käyttöön tiukempia säännöksiä kuluttajien suojelemiseksi edellyttäen, että kyseiset säännökset ovat niille unionin oikeuden mukaan kuuluvien velvoitteiden mukaisia. Poikkeuksen muodostavat ennen sopimuksen tekoa annettavien tietojen esittäminen Eurooppalainen standardoitu tietosivu -lomakkeen avulla ja todellisen vuosikoron laskeminen, joiden osalta jäsenvaltiot eivät saa antaa tai pitää voimassa direktiivistä poikkeavia säännöksiä. 

Jäsenvaltioiden on pantava direktiivi täytäntöön viimeistään 21 päivänä maaliskuuta 2016 sekä pääsääntöisesti sovellettava säännöksiä samasta ajankohdasta lukien. 

2.2  Direktiivin sisältö

Soveltamisala ja määritelmät 

Asuntoluottodirektiivi koskee kuluttajille tarkoitettuja luottosopimuksia, joiden vakuutena on kiinnitys kiinteään omaisuuteen tai jäsenvaltiossa yleisesti käytetty muu vastaava vakuus, joka kohdistuu kiinteään asunto-omaisuuteen tai kiinteään asunto-omaisuuteen liittyvään oikeuteen. Direktiiviä sovelletaan myös luottosopimuksiin, joiden tarkoituksena on maa-alueen tai olemassa olevan tai suunnitellun rakennuksen omistusoikeuden hankkiminen tai säilyttäminen. (3 artiklan 1 kohta) 

Direktiivi sisältää useita soveltamisalapoikkeuksia, joista tärkeimpänä voidaan mainita käänteiset asuntolainasopimukset. Soveltamisalasta on suljettu pois myös muun muassa luottosopimukset, joissa luotto myönnetään korotta ja ilman muita maksuja kuin niitä, jotka kattavat luoton vakuuksista aiheutuvat suorat kulut, ja luottosopimukset, jotka myönnetään tilinylitysmahdollisuutena ja joiden mukaan luotto on maksettava takaisin kuukauden kuluessa. (3 artiklan 2 kohta) 

Halutessaan jäsenvaltioilla on mahdollisuus olla soveltamatta mainonnassa ilmoitettavia vakiotietoja koskevaa 11 artiklaa sekä ennen sopimuksen tekoa annettavia tietoja koskevaa 14 artiklaa sekä Eurooppalainen standardoitu tietosivu -lomaketta koskevaa II liitettä sellaisiin direktiivin soveltamisalaan kuuluviin luottosopimuksiin, joilla ei ole tarkoitus hankkia tai säilyttää kiinteään asunto-omaisuuteen liittyvää oikeutta edellyttäen, että jäsenvaltio soveltaa niihin vastaavia kulutusluottodirektiivin säännöksiä. Lisäksi jäsenvaltioilla on mahdollisuus olla soveltamatta direktiiviä sellaisiin kiinteää omaisuutta koskeviin luottosopimuksiin, joiden mukaan omaisuutta ei saa käyttää kuluttajan tai hänen perheenjäsenensä asuntona, luottosopimuksiin, jotka myönnetään rajatulle yleisölle yleishyödyllisessä tarkoituksessa ehdoin, jotka ovat kuluttajalle markkinoilla vallitsevia ehtoja edullisemmat, tilapäisluottoihin ja luotto-osuuskuntien tarjoamiin luottoihin. (3 artiklan 3 kohta) 

Direktiivin 4 artikla sisältää direktiivin säännöksiin liittyvät määritelmät, kuten kuluttajan, luotonantajan, luottosopimuksen ja luotonvälittäjän määritelmän. 

Toimivaltaiset viranomaiset 

Jäsenvaltioilla on velvollisuus nimetä toimivaltaiset kansalliset viranomaiset, joiden tehtävänä on huolehtia direktiivin soveltamisesta ja täytäntöönpanosta. Näille viranomaisille on annettava kaikki niiden tehtävien tehokkaaseen ja tulokselliseen hoitamiseen tarvittavat tutkinta- ja täytäntöönpanovaltuudet ja riittävät resurssit. Jos jäsenvaltion alueella on useita toimivaltaisia viranomaisia, jäsenvaltion on huolehdittava siitä, että näiden viranomaisten tehtävät on määritelty selvästi ja että viranomaiset toimivat tiiviissä yhteistyössä keskenään tehtäviensä tehokkaaksi suorittamiseksi. (5 artiklan 1 ja 6 kohta) 

Toimivaltaisten viranomaisten sekä kaikkien niiden palveluksessa olevien henkilöiden, tilintarkastajien ja viranomaisten lukuun toimivien asiantuntijoiden on oltava salassapitovelvollisia. (5 artiklan 3 kohta)  

Talousvalistuksen antaminen kuluttajille 

Jäsenvaltioiden on edistettävä toimenpiteitä, joilla tuetaan kuluttajille annettavaa valistusta vastuullisesta lainanotosta ja lainanhoidosta erityisesti kiinnitysluottosopimusten yhteydessä. Kuluttajien, varsinkin kiinnitysluottoa ensimmäistä kertaa ottavien, ohjaamiseksi tarvitaan selkeää yleisluontoista tietoa luotonantoprosessista. Jäsenvaltioissa kuluttajien saatavilla olevan talousvalistuksen perusteella komissio määrittelee esimerkkejä parhaista käytännöistä, joita voitaisiin kehittää edelleen kuluttajien taloustietämyksen parantamiseksi. (6 artikla) 

Menettelytapavelvoitteet tarjottaessa luottoa kuluttajille  

Direktiivin 7 artiklassa säädetään menettelytapavelvoitteista tarjottaessa luottoja kuluttajille. Luotonantajan, luotonvälittäjän ja nimetyn edustajan on luottotuotteita kehittäessään, luottoja myöntäessään tai välittäessään tai kuluttajille luottoihin liittyviä neuvontapalveluja tarjotessaan toimittava rehellisesti, tasapuolisesti, avoimesti ja ammattimaisesti ja otettava huomioon kuluttajan oikeudet ja edut. Luottojen myöntämisen tai välittämisen sekä neuvontapalvelujen ja lisäpalvelujen tarjoamisen on perustuttava kuluttajien olosuhteita koskeviin tietoihin sekä kohtuullisiin oletuksiin kuluttajan tilanteeseen kohdistuvista riskeistä luottosopimuksen voimassaoloaikana. (artiklan 1 kohta) 

Luotonantajien ja luotonvälittäjien käyttämät henkilöstön ja nimettyjen edustajien palkitsemistavat eivät saa estää täyttämästä edellä mainittuja velvoitteita. Luottokelpoisuuden arvioinnista vastaavan henkilöstön palkitsemispolitiikkaa laatiessaan ja soveltaessaan luotonantajien on noudatettava artiklassa säädettyjä periaatteita. Palkitsemispolitiikan on muun muassa edistettävä moitteetonta ja tehokasta riskienhallintaa sekä noudatettava luotonantajan liiketoimintastrategiaa, tavoitteita ja arvoja. Palkitsemispolitiikan on sisällettävä eturistiriitojen välttämiseen tähtääviä toimenpiteitä erityisesti edellyttämällä, että palkkiot eivät saa olla riippuvaisia hyväksyttyjen hakemusten määrästä tai osuudesta. (artiklan 2 ja 3 kohta) 

Luotonantajien, luotonvälittäjien tai nimettyjen edustajien tarjoamiin neuvontapalveluihin osallistuvan henkilöstön palkitsemisrakenne ei saa vaarantaa heidän kykyään toimia kuluttajan edun mukaisesti. Palkitsemisrakenne ei myöskään saa olla riippuvainen myyntitavoitteista. Jotta kuluttajan edut eivät vaarannu, jäsenvaltiot voivat myös kieltää luotonantajaa maksamasta palkkioita luotonvälittäjälle. Lisäksi jäsenvaltiot voivat kieltää luotonantajaa tai luotonvälittäjää perimästä kuluttajalta maksuja ennen luottosopimuksen tekemistä tai asettaa maksujen perimistä koskevia rajoituksia. (artiklan 4 ja 5 kohta) 

Henkilöstön tietämystä ja pätevyyttä koskevat vaatimukset 

Jäsenvaltioiden on varmistettava, että luotonantajat, luotonvälittäjät ja nimetyt edustajat vaativat henkilöstöltään luottosopimusten kehittämiseen, tarjoamiseen ja myöntämiseen, luotonvälitystoiminnan harjoittamiseen ja neuvontapalvelujen tarjoamiseen liittyvää asianmukaista tietämystä ja pätevyyttä sekä niiden pitämistä ajan tasalla. (9 artiklan 1 kohta)  

Toimivaltaisten viranomaisten on valvottava näiden vaatimusten noudattamista. Lisäksi toimivaltaisilla viranomaisilla on oltava valtuudet vaatia luotonantajia, luotonvälittäjiä ja nimettyjä edustajia toimittamaan todisteet, joiden toimivaltainen viranomainen katsoo olevan tarpeen kyseisen valvonnan toteuttamiseksi. (9 artiklan 4 kohta) 

Markkinointiin sovellettavat yleiset säännökset ja mainonnassa ilmoitettavat vakiotiedot 

Luottosopimuksia koskevan mainonta- ja markkinointiviestinnän on oltava asiallista ja selkeää, eikä se saa olla harhaanjohtavaa. Erityisesti sellaisten sanamuotojen käyttö on kiellettyä, jotka voivat herättää kuluttajassa vääriä odotuksia luoton saatavuudesta tai kustannuksista. (10 artikla) 

Jos luottosopimuksia koskevassa mainonnassa ilmoitetaan luoton korko tai mikä hyvänsä muu luoton kustannuksia koskeva luku, mainonnassa annettavista vakiotiedoista on käytävä ilmi selkeästi, tiiviisti ja näkyvästi luotonantajan, luotonvälittäjän tai nimetyn edustajan henkilöllisyys, maininta siitä, että luottosopimuksen vakuutena on oltava kiinnitys kiinteään omaisuuteen tai muu kiinteään asunto-omaisuuteen tai siihen liittyvään oikeuteen kohdistuva vakuus, luoton korko ja kokonaismäärä, todellinen vuosikorko, luottosopimuksen kesto, maksuerien summa ja lukumäärä, kuluttajan maksettava kokonaismäärä sekä varoitus siitä, että vaihtokurssin mahdolliset muutokset voivat vaikuttaa kuluttajan maksettavaksi tulevaan määrään. (11 artiklan 1 ja 2 kohta) 

Jos luottosopimukseen liittyvää lisäpalvelua, erityisesti vakuutusta, koskevan sopimuksen tekeminen on pakollinen edellytys luoton saamiseksi tai sen saamiseksi markkinoiduin ehdoin eikä tämän palvelun kustannuksia voida määrittää ennakkoon, velvollisuus tehdä tällainen sopimus on mainittava selkeästi, tiiviisti ja näkyvästi yhdessä todellisen vuosikoron kanssa. Vakiotietojen sekä edellytettyä lisäpalvelua koskevien tietojen on oltava helposti luettavissa tai selvästi kuultavissa sen mukaan, mitä viestintä mainonnassa käytetään. (artiklan 4 ja 5 kohta) 

Kytkykauppa ja yhdistetyt tarjoukset  

Direktiivin 12 artiklan mukaan jäsenvaltioiden on sallittava yhdistetyt tarjoukset mutta ei kytkykauppaa. Kytkykaupalla tarkoitetaan direktiivissä luottosopimuksen tarjoamista tai myymistä samassa paketissa muiden erillisten finanssituotteiden tai -palvelujen kanssa siten, että kuluttajan ei ole mahdollista tehdä luottosopimusta erillisenä (4 artiklan 26 kohta). Yhdistetyllä tarjouksella puolestaan tarkoitetaan luottosopimuksen tarjoamista tai myyntiä samassa paketissa muiden erillisten finanssituotteiden tai -palvelujen kanssa siten, että luottosopimusta tarjotaan kuluttajalle myös erikseen mutta ei välttämättä samoin ehdoin kuin silloin, kun sitä tarjotaan yhdistettynä lisäpalveluihin (4 artiklan 27 kohta). 

Jäsenvaltiot voivat kuitenkin kytkykauppakiellosta poiketen säätää, että luotonantajat voivat edellyttää kuluttajalta tai hänen perheenjäseneltään tai lähisukulaiseltaan maksu- tai säästötilin avaamista tai voimassa pitämistä, sijoitustuotteen tai yksityisen eläketuotteen ostamista tai pitämistä taikka erillisen luottosopimuksen tekemistä luotonsaantia varten jaetun omistusosuuden luottosopimuksen yhteydessä. Lisäksi jäsenvaltiot voivat sallia kytkykaupan myös, kun luotonantaja pystyy osoittamaan toimivaltaiselle viranomaiselle, että kytkykauppana tarjottavat tuotteet tuottavat kuluttajille selkeää hyötyä, kun otetaan asianmukaisesti huomioon markkinoilla tarjolla olevien merkityksellisten tuotteiden saatavuus ja hinnat. (12 artiklan 2 ja 3 kohta) 

Jäsenvaltioilla on mahdollisuus sallia luotonantajien edellyttävän, että kuluttajalla on luottosopimukseen liittyvä asiaankuuluva vakuutussopimus. Tällöin luotonantajan on hyväksyttävä muun vakuutuksenantajan kuin luotonantajan ensisijaisen yhteistyötahon tarjoama vakuutussopimus, jos kyseisen vakuutuksen sisältämä vakuutusturva on tasoltaan vastaava kuin luotonantajan ehdottamassa vakuutuksessa. (12 artiklan 4 kohta) 

Yleiset tiedot 

Direktiivin 13 artiklan mukaan jäsenvaltioiden on varmistettava, että luotonantajat tai sidoksissa olevat luotonvälittäjät tai niiden nimetyt edustajat asettavat luottosopimuksia koskevat selkeät ja ymmärrettävät yleiset tiedot aina saataville paperilla tai muulla pysyvällä välineellä taikka sähköisessä muodossa. Näihin yleisiin tietoihin kuuluvat muun muassa tietojen antajan henkilöllisyys ja käyntiosoite, tarkoitukset, joihin luottoa voidaan käyttää, vakuustyypit, luottosopimusten mahdollinen kesto, tarjolla olevat lainakorkotyypit, selvitys ennenaikaiseen takaisinmaksuun välittömästi liittyvistä ehdoista sekä edustava esimerkki luoton kokonaismäärästä, luotosta kuluttajalle aiheutuvista kokonaiskustannuksista, kuluttajan maksettavaksi tulevasta kokonaismäärästä ja todellisesta vuosikorosta. (artiklan 1 kohta) 

Jäsenvaltiot voivat lisäksi edellyttää, että luotonantajat sisällyttävät yleisiin tietoihin muunlaisia, jäsenvaltion kannalta merkityksellisiä varoituksia. (artiklan 2 kohta) 

Ennen sopimuksen tekoa annettavat tiedot 

Direktiivin 14 artiklassa säädetään yksilöllisistä tiedoista, jotka luotonantajan, luotonvälittäjän tai nimetyn edustajan on annettava kuluttajalle, jotta tämä voi vertailla markkinoilla tarjolla olevia luottoja. Tiedot on annettava ilman aiheetonta viivytystä sen jälkeen, kun kuluttaja on antanut tarvittavat tiedot tarpeistaan, taloudellisesta tilanteestaan ja toiveistaan sekä hyvissä ajoin ennen kuin luottosopimus tai -tarjous sitoo kuluttajaa. Yksilölliset tiedot on annettava liitteessä II olevan Eurooppalainen standardoitu tietosivu -lomakkeen avulla. (artiklan 1 ja 2 kohta) 

Luotonantajaa sitova tarjous on toimitettava kuluttajalle paperilla tai muulla pysyvällä välineellä, ja sen mukana on oltava Eurooppalainen standardoitu tietosivu -lomake, jos kuluttaja ei ole saanut sitä aiemmin tai jos tarjouksen ehdot poikkeavat aiemmin annetun lomakkeen sisältämistä ehdoista. Jäsenvaltiot voivat säätää Eurooppalainen standardoitu tietosivu -lomakkeen toimittamisen pakolliseksi ennen luotonantajaa sitovan tarjouksen tekemistä. (artiklan 3 ja 4 kohta) 

Jäsenvaltioiden on määriteltävä vähintään seitsemän päivän pituinen määräaika, jotta kuluttajalla olisi riittävästi aikaa verrata tarjouksia, arvioida niiden vaikutuksia ja tehdä tietoihin perustuva päätös. Määräajan on oltava joko luottosopimuksen tekemistä edeltävä harkinta-aika tai aika, jona luottosopimus voidaan peruuttaa sen tekemisen jälkeen, taikka näiden yhdistelmä. (artiklan 6 kohta) 

Luotonantajan, luotonvälittäjän tai nimetyn edustajan on annettava kuluttajalle kopio luottosopimuksen luonnoksesta samalla, kun luotonantajaa sitova tarjous tehdään ainakin silloin, jos kuluttajalla ei ole peruuttamisoikeutta. Jos kuluttajalla on peruuttamisoikeus, luotonantajan, luotonvälittäjän tai nimetyn edustajan on tarjouduttava antamaan kuluttajalle kopio luottosopimuksen luonnoksesta samalla, kun luotonantajaa sitova tarjous tehdään. (artiklan 11 kohta) 

Luotonvälittäjille ja nimetyille edustajille asetetut tiedonantovaatimukset 

Direktiivin 15 artiklassa säädetään tiedoista, jotka luotonvälittäjän tai nimetyn edustajan on annettava kuluttajalle hyvissä ajoin ennen minkään luotonvälitystoiminnan suorittamista. Tiedot on annettava kuluttajalle paperilla tai muulla pysyvällä välineellä. (artiklan 1 kohta) 

Muiden kuin sidoksissa olevien luotonvälittäjien, jotka saavat palkkioita yhdeltä tai useammalta luotonantajalta, on kuluttajan pyynnöstä annettava tiedot siitä, miten kuluttajalle tarjottuja luottosopimuksia tekevien luotonantajien maksamat palkkiot vaihtelevat. Kuluttajalle on annettava tieto siitä, että hänellä on oikeus pyytää tällaisia tietoja. Jos luotonvälittäjä perii kuluttajalta maksun ja saa lisäksi palkkion luotonantajalta tai kolmannelta osapuolelta, kyseisen luotonantajan on selvitettävä kuluttajalle, otetaanko palkkio huomioon maksua määritettäessä vai ei. (artiklan 2 ja 3 kohta) 

Riittävät selvitykset  

Luotonantajien ja luotonvälittäjien tai nimettyjen edustajien on annettava kuluttajalle riittävät selvitykset ehdotetuista luottosopimuksista ja mahdollisista lisäpalveluista, jotta kuluttaja kykenee arvioimaan, soveltuvatko ehdotetut luottosopimukset ja lisäpalvelut hänen tarpeisiinsa ja taloudelliseen tilanteeseensa. Selvityksiin on sisällytettävä erityisesti 14 ja 15 artiklan mukaisesti ennen sopimuksen tekemistä annettavat tiedot, tarjottujen tuotteiden olennaiset ominaisuudet, tarjotuista tuotteista kuluttajalle mahdollisesti aiheutuvat erityiset vaikutukset sekä tieto siitä, voiko kunkin tarjoukseen sisältyvän palvelun lopettaa erikseen siinä tapauksessa, että lisäpalveluita tarjotaan yhdessä luottosopimuksen kanssa. (16 artiklan 1 kohta) 

Velvoite antaa kuluttajille tietoja maksutta 

Direktiivin 8 artiklan mukaan jäsenvaltioiden on varmistettava, että kun kuluttajille annetaan tietoja direktiivin vaatimusten mukaisesti, tiedot annetaan heille maksutta. 

Todellisen vuosikoron laskeminen 

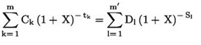
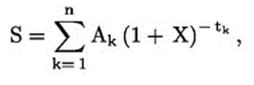
Direktiivin 17 artiklassa säädetään todellisen vuosikoron laskemisesta, luoton kokonaiskustannuksia määriteltäessä huomioon otettavista seikoista sekä todellista vuosikorkoa laskettaessa käytettävistä oletuksista. Todellinen vuosikorko lasketaan direktiivin I liitteessä esitetyn matemaattisen kaavan mukaisesti. Todellisen vuosikoron laskemista varten määritettäviin kuluttajalle aiheutuviin luoton kokonaiskustannuksiin luetaan myös luottosopimukseen liittyvien lisäpalveluiden kustannukset, kuten vakuutusmaksut, jos palvelusopimuksen tekeminen on pakollista luoton saamiseksi joko yleensä tai markkinoiduin ehdoin (4 artiklan 13 kohta). 

Lisäksi artiklassa säädetään kuluttajalle Eurooppalainen standardoitu tietosivu -lomakkeella ilmoitettavista tiedoista silloin, jos luottosopimus mahdollistaa lainakoron muuttumisen, sekä sellaisten luottosopimusten osalta, joissa on sovittu kiinteästä lainakorosta vähintään viiden ensimmäisen lainavuoden aikana. 

Velvoite arvioida kuluttajan luottokelpoisuus 

Jäsenvaltioiden on varmistettava, että luotonantaja arvioi ennen luottosopimuksen tekemistä kuluttajan luottokelpoisuuden perinpohjaisesti. Arvioinnin perustan muodostavat menettelyt ja tiedot on määriteltävä, dokumentoitava ja säilytettävä. (18 artiklan 1 ja 2 kohta) 

Luottokelpoisuuden arviointi on suoritettava kuluttajan tuloja ja menoja sekä muita hänen taloudellista tilannettaan koskevien tarpeellisten, riittävien ja oikeasuhteisten tietojen perusteella. Luotonantajan on hankittava tiedot tarkoituksenmukaisista sisäisistä tai ulkoisista lähteistä, mukaan lukien kuluttajalta. Tiedot on todennettava asianmukaisesti. (20 artiklan 1 kohta) 

Luotonantajan tulee myöntää kuluttajalle luottoa ainoastaan, jos luottokelpoisuuden arviointi osoittaa, että luottosopimuksesta johtuvat velvoitteet todennäköisesti täytetään luottosopimuksessa vaaditulla tavalla. Jos luottohakemus hylätään, luotonantajan on ilmoitettava kuluttajalle viipymättä hylkäämisestä. Jos päätös on tehty automaattisen tietojenkäsittelyn perusteella, myös siitä on ilmoitettava kuluttajalle. Jos hylkääminen perustuu tietokantahausta saatuihin tietoihin, luotonantajan on annettava kuluttajalle tiedoksi haun tulos ja tarkemmat tiedot käytetystä tietokannasta. (18 artiklan 5 kohta) 

Direktiivin säännösten lisäksi Euroopan pankkiviranomainen on antanut ohjeet luottokelpoisuuden arvioinnista (EBA/GL/2015/11). 

Omaisuuden arviointi 

Jäsenvaltioiden on varmistettava, että niiden alueella kehitetään luotettavat kiinteän omaisuuden arviointistandardit asuntoluottoja varten. Luotonantajien on varmistettava, että ne käyttävät kyseisiä standardeja suorittaessaan omaisuuden arvioinnin tai että ne toteuttavat aiheelliset toimenpiteet sen varmistamiseksi, että kyseisiä standardeja sovelletaan, jos kolmas osapuoli suorittaa arvioinnin. Omaisuuden arviointia suorittavien sisäisten ja ulkoisten arvioijien on oltava ammatillisesti päteviä ja riittävän riippumattomia luotonmyöntömenettelystä. (19 artikla) 

Pääsy tietokantoihin 

Kaikkien jäsenvaltioiden luotonantajilla on oltava pääsy jäsenvaltiossa käytettyihin tietokantoihin kuluttajien luottokelpoisuuden arvioimiseksi ja sen seuraamiseksi, noudattavatko kuluttajat luottovelvoitteitaan luottosopimuksen voimassaoloaikana. Pääsyn edellytysten on oltava syrjimättömiä. (21 artikla) 

Neuvontapalveluja koskevat vaatimukset 

Jäsenvaltioiden on varmistettava, että luotonantaja, luotonvälittäjä tai nimetty edustaja ilmoittaa kuluttajalle kunkin liiketoimen yhteydessä nimenomaisesti, tarjotaanko kuluttajalle neuvontapalveluja tai voidaanko niitä tarjota. Luotonantajan, luotonvälittäjän tai nimetyn edustajan on annettava kuluttajalle ennen neuvontapalvelun aloittamista tai ennen neuvontapalvelua koskevan sopimuksen tekemistä tieto siitä, perustuuko suositus vain niiden oman tuotevalikoiman tarkasteluun vai markkinoilla tarjolla olevan laajan tuotevalikoiman tarkasteluun. Kuluttajalle on annettava tieto myös kuluttajan neuvontapalvelusta maksettavasta maksusta tai maksun laskentamenetelmästä. (22 artiklan 1 ja 2 kohta) 

Jäsenvaltioilla on mahdollisuus kieltää ilmausten ”neuvonta” ja ”neuvoja” tai muiden samankaltaisten ilmausten käyttö, jos kuluttajille tarkoitettuja neuvontapalveluja tarjoavat luotonantajat, tietyn tai tiettyjen luotonantajien asiamiehenä toimivat luotonvälittäjät tai viimeksi mainittujen nimetyt edustajat. Jos jäsenvaltiot eivät käytä tätä mahdollisuutta, on niiden asetettava direktiivin mukaiset ehdot ilmausten ”riippumaton neuvonta” tai ”riippumaton neuvoja” käytölle luotonantajien, luotonvälittäjien tai nimettyjen edustajien tarjotessa neuvontapalvelua. Jotta luotonantajat, luotonvälittäjät tai nimetyt edustajat voisivat ilmoittaa tarjoavansa riippumatonta neuvontaa, tulee niiden ottaa huomioon riittävän suuri määrä markkinoilla saatavilla olevia luottosopimuksia. Lisäksi ne eivät saa vastaanottaa yhdeltä tai useammalta luotonantajalta palkkiota kyseisistä neuvontapalveluista. Jäsenvaltioilla on myös mahdollisuus asettaa tiukempia vaatimuksia kyseisten ilmausten käytölle. (22 artiklan 4 kohta) 

Lisäksi jäsenvaltioilla on mahdollisuus säätää luotonantajille, luotonvälittäjille ja nimetyille edustajille asetettavasta velvollisuudesta varoittaa kuluttajaa, kun ne katsovat, että luottosopimus voi kuluttajan taloudellinen tilanne huomioon ottaen aiheuttaa tälle erityisen riskin. (22 artiklan 5 kohta) 

Valuuttalainat ja vaihtuvakorkoiset luotot 

Direktiivin 23 artiklassa säädetään valuuttalainoista. Valuuttalainoihin liittyvien luottosopimusten osalta jäsenvaltioiden on varmistettava, että luottosopimuksen tekohetkellä on käytössä asianmukainen sääntelykehys vähintään sen varmistamiseksi, että kuluttajalla on oikeus muuttaa luottosopimus vaihtoehtoisen valuutan määräiseksi tietyin ehdoin tai että käytössä on muita järjestelyjä kuluttajalle luottosopimuksesta johtuvan vaihtokurssiriskin rajoittamiseksi. Jos kuluttajalla on valuuttalaina, luotonantajan on varoitettava kuluttajaa säännöllisesti paperilla tai muulla pysyvällä välineellä ainakin silloin, kun kuluttajan maksettavaksi tulevan kokonaismäärän jäljellä oleva arvo tai säännöllisten maksuerien arvo poikkeaa yli 20 prosentilla siitä, mikä se olisi, jos sovellettaisiin luottosopimuksen tekohetkellä voimassa ollutta luottosopimuksessa käytetyn valuutan ja jäsenvaltion valuutan välistä vaihtokurssia. 

Vaihtuvakorkoisia luottoja koskevan 24 artiklan mukaan lainakoron laskemiseen käytettävien indeksien tai viitekorkojen on oltava selkeitä, saatavilla, objektiivisia ja luottosopimuksen osapuolten sekä toimivaltaisten viranomaisten todennettavissa. Lisäksi lainakorkojen laskemiseen käytetyistä indekseistä on ylläpidettävä arkistoa joko kyseisten indeksien tarjoajien tai luotonantajien toimesta. 

Ennenaikainen takaisinmaksu 

Direktiivin 25 artiklan mukaan kuluttajalla on oikeus täyttää luottosopimuksen mukaiset velvoitteensa kokonaan tai osittain ennen kyseisen sopimuksen voimassaolon päättymistä. Jos kuluttaja maksaa luoton ennenaikaisesti, hänellä on oikeus vähennykseen luoton kokonaiskustannuksista. Tämä vähennys koostuu korosta ja kustannuksista sopimuksen jäljellä olevana voimassaoloaikana. Jäsenvaltioilla on mahdollisuus asettaa ennenaikaisen takaisinmaksuoikeuden käytölle tiettyjä edellytyksiä. (artiklan 1 ja 2 kohta) 

Kansallisesti on mahdollisuus säätää, että luotonantajalla on oikeus saada oikeudenmukainen ja objektiivisesti perusteltu korvaus mahdollisista kustannuksista, jotka liittyvät suoraan ennenaikaiseen takaisinmaksuun. Korvaus ei saa ylittää luotonantajalle aiheutuvaa taloudellista tappiota. Lisäksi kansallisesti on mahdollisuus säätää, että korvaus ei saa ylittää tiettyä tasoa tai että korvaus sallitaan vain tiettynä ajanjaksona. (artiklan 3 kohta) 

Jos kuluttaja haluaa täyttää luottosopimuksen mukaiset velvoitteensa ennen sopimuksen voimassaolon päättymistä, luotonantajan on viipymättä pyynnön vastaanottamisen jälkeen toimitettava kuluttajalle paperilla tai muulla pysyvällä välineellä tämän vaihtoehdon tarkastelun edellyttämät tiedot. Jos ennenaikainen takaisinmaksu tapahtuu ajanjaksona, jonka osalta on sovittu kiinteästä lainakorosta, kansallisesti on mahdollisuus säätää oikeuden käytön edellytykseksi, että kuluttajalla on oikeutettu syy luoton ennenaikaiseen takaisinmaksuun. (artiklan 4 ja 5 kohta) 

Joustavat ja luotettavat markkinat 

Jäsenvaltioissa on oltava käytössä asianmukaiset järjestelyt sen varmistamiseksi, että luotonantaja tai sen puolesta toimiva taho voi panna vakuuksia koskevat vaateet täytäntöön. Luotonantajien on pidettävä asianmukaisesti kirjaa vakuudeksi hyväksytyistä kiinteän omaisuuden tyypeistä sekä niihin liittyvästä kiinnitysluottojen myöntämispolitiikasta. Lisäksi jäsenvaltioiden tulee toteuttaa tarvittavat toimenpiteet sen varmistamiseksi, että asunto-omaisuusmarkkinoiden tilastollinen seuranta on asianmukaista. (26 artikla) 

Lainakoron muutoksia koskevat tiedot 

Luotonantajan on tiedotettava kuluttajaa mahdollisesta lainakoron muutoksesta ennen muutoksen voimaantuloa. Viitekoron osalta on kuitenkin kansallisesti mahdollisuus sallia osapuolten sopivan luottosopimuksessa, että tiedot annetaan kuluttajalle määräajoin. (27 artikla) 

Maksamattomat lainat ja ulosmittaus 

Jäsenvaltioiden on toteutettava toimenpiteitä, joilla luotonantajia kannustetaan noudattamaan kohtuullista pidättyvyyttä ennen ulosmittausmenettelyn käynnistämistä. Lisäksi kansallisesti on mahdollisuus säätää, että luotonantajan kuluttajalta perimät maksulaiminlyönnistä aiheutuvat maksut eivät saa ylittää sitä, mikä on tarpeen luotonantajalle maksulaiminlyönnistä aiheutuneiden kustannusten korvaamiseksi. (28 artiklan 1 ja 2 kohta) 

Jäsenvaltiot voivat sallia luotonantajien määrätä lisämaksuja kuluttajalle siinä tapauksessa, että tämä laiminlyö maksunsa. Tällöin kyseisille maksuille on kansallisesti asetettava yläraja. (28 artiklan 3 kohta) 

Kansallisesti ei saa estää luottosopimuksen osapuolia sopimasta nimenomaisesti, että vakuuden tai vakuuden myymisestä saatavan tulon palauttaminen tai siirtäminen luotonantajalle riittää luoton takaisinmaksuksi. (28 artiklan 4 kohta) 

Direktiivin säännösten lisäksi Euroopan pankkiviranomainen on antanut ohjeet maksamattomista lainoista ja ulosmittauksesta (EBA/GL/2015/12).  

Luotonvälittäjien hyväksyminen ja hyväksynnän peruuttaminen 

Direktiivin 29 artiklassa säädetään luotonvälittäjien hyväksymisestä. Luotonvälittäjän kotijäsenvaltion toimivaltaisen viranomaisen on hyväksyttävä luotonvälittäjä, jotta se voi harjoittaa direktiivin 4 artiklan 5 alakohdan mukaista luotonvälitystoimintaa tai tarjota neuvontapalveluja. Luotonvälittäjien hyväksymisen edellytyksenä on tiettyjen ammatillisten vaatimusten täyttyminen direktiivin 9 artiklassa määriteltyjen henkilöstön tietämystä ja pätevyyttä koskevien vaatimusten ohella. Nämä ammatilliset vaatimukset koskevat muun muassa vastuuvakuutuksen tai muun vastaavan vakuuden olemassaoloa sekä luotonvälittäjän johdon hyvämaineisuutta ja luottosopimuksiin liittyvää asianmukaista tietämystä ja pätevyyttä. (artiklan 1 ja 2 kohta) 

Toimivaltaisen viranomaisen on rekisteröitävä kaikki hyväksytyt luotonvälittäjät niiden kotijäsenvaltiossa riippumatta siitä, ovatko ne luonnollisia henkilöitä vai oikeushenkilöitä. Luotonvälittäjien rekisteri on pidettävä ajan tasalla, ja sen on oltava verkossa julkisesti saatavilla. (artiklan 4 kohta) Luotonvälittäjän kotijäsenvaltion toimivaltaisen viranomaisen hyväksyessä luotonvälittäjän hyväksyminen on voimassa koko unionin alueella. (32 artikla) 

Luotonvälittäjän kotijäsenvaltion toimivaltainen viranomainen voi peruuttaa luotonvälittäjälle myönnetyn hyväksynnän muun muassa siinä tapauksessa, että luotonvälittäjä on saanut hyväksynnän antamalla virheellisiä tai harhaanjohtavia tietoja, luotonvälittäjä ei enää täytä vaatimuksia, joiden perusteella hyväksyntä annettiin, tai luotonvälittäjä on vakavalla tai järjestelmällisellä tavalla rikkonut direktiivin nojalla annettuja luotonvälittäjien toimintaa koskevia säännöksiä. (33 artikla) 

Direktiivin säännösten lisäksi Euroopan pankkivalvontaviranomainen on antanut ohjeet luotonvälittäjiä koskevista ilmoituksista, jotka kotijäsenvaltion viranomaisen on toimitettava vastaanottavan jäsenvaltion toimivaltaiselle viranomaiselle (EBA/GL/2015/19). 

Yhden luotonantajan asiamiehenä toimivat luotonvälittäjät 

Direktiivin 30 artiklassa säädetään jäsenvaltioiden mahdollisuudesta antaa toimivaltaisten viranomaisten hyväksyä ainoastaan yhden luotonantajan lukuun toimiva luotonvälittäjä sen luotonantajan kautta, jonka puolesta luotonvälittäjä toimii. Tällaisissa tapauksissa luotonantaja on täysin ja ehdoitta vastuussa kyseisen sidoksissa olevan luotonvälittäjän toimista tai laiminlyönneistä tämän toimiessa luotonantajan puolesta. Lisäksi luotonantajan on varmistettava, että tällainen luotonvälittäjä täyttää vähintään direktiivin 29 artiklan 2 kohdassa säädetyt ammatilliset vaatimukset. Lisäksi luotonantajan on valvottava luotonvälittäjän toimintaa sen varmistamiseksi, että direktiiviä muutoinkin noudatetaan. 

Nimetyt edustajat 

Direktiivin 31 artiklassa säädetään jäsenvaltioiden mahdollisuudesta sallia luotonvälittäjän nimetä nimettyjä edustajia. Jos luotonvälittäjien sallitaan nimetä nimettyjä edustajia, on jäsenvaltion perustettava julkinen rekisteri, johon jäsenvaltioon sijoittautuneet nimetyt edustajat rekisteröidään. 

Luotonvälittäjien on varmistettava, että niiden nimetyt edustajat täyttävät vähintään direktiivin 29 artiklan 2 kohdassa säädetyt ammatilliset vaatimukset. Lisäksi luotonvälittäjien on valvottava nimettyjen edustajiensa toimintaa sen varmistamiseksi, että direktiiviä muutoinkin noudatetaan.  

Luotonvälittäjien ja nimettyjen edustajien valvonta 

Pääsääntönä on, että kotijäsenvaltion toimivaltaisten viranomaisten on valvottava luotonvälittäjien toimintaa. (34 artiklan 1 kohta) 

Niiden jäsenvaltioiden toimivaltaisten viranomaisten, joissa luotonvälittäjällä on sivuliike, on kuitenkin varmistettava, että luotonvälittäjän niiden alueella tarjoamat palvelut ovat direktiivin tiettyjen artiklojen ja niiden nojalla annettujen kansallisten säännösten mukaisia. Jos vastaanottavan jäsenvaltion toimivaltaiset viranomaiset toteavat, että sen alueella sivuliikettä harjoittava luotonvälittäjä ei noudata näitä säännöksiä, niiden on vaadittava luotonvälittäjää lopettamaan kyseinen menettely ja toteutettava asianmukaiset toimet tämän varmistamiseksi. Vastaanottavan valtion viranomaisella on oikeus tutkia sivuliikkeen järjestelyjä ja vaatia niihin muutoksia, jos ne ovat välttämättömiä edellä tarkoitettujen direktiivin mukaisten velvollisuuksien täyttämisen varmistamiseksi. (34 artiklan 2 ja 3 kohta) 

Jos vastaanottavan jäsenvaltion toimivaltaisella viranomaisella on selkeät ja todennettavissa olevat perusteet olettaa, että sen alueella palvelujen tarjoamisen vapauden perusteella toimiva luotonvälittäjä ei noudata direktiivin mukaisia velvoitteita tai sivuliikettä harjoittava luotonvälittäjä ei noudata muita kuin artiklan 2 kohdassa tarkoitettuja direktiivin säännöksiä, sen on ilmoitettava tällaiset tiedot kotijäsenvaltion toimivaltaiselle viranomaiselle. Jos kotijäsenvaltio ei toteuta tarvittavia toimia kuukauden kuluessa tietojen saamisesta tai jos luotonvälittäjä kotijäsenvaltion toimista huolimatta edelleen toimii tavalla, joka on selvästi vastaanottavan jäsenvaltion kuluttajien etujen vastainen tai haittaa markkinoiden asianmukaista toimintaa, voi vastaanottavan jäsenvaltion viranomainen ryhtyä tarvittaviin toimiin. (34 artiklan 4 kohta) 

Jos yhdessä jäsenvaltiossa hyväksytty luotonvälittäjä on perustanut sivuliikkeen toisen jäsenvaltion alueelle, kotijäsenvaltion toimivaltaiset viranomaiset voivat suorittaa tarkastuksia kyseisessä sivuliikkeessä ilmoitettuaan asiasta ensin vastaanottavan jäsenvaltion toimivaltaisille viranomaisille (34 artiklan 5 kohta). 

Muiden luotonantajien kuin luottolaitosten hyväksyntä ja valvonta 

Direktiivin 35 artiklan mukaan luotonantajiin, jotka eivät ole luottolaitoksia, on sovellettava asianmukaista hyväksyntämenettelyä, johon kuuluu näiden luotonantajien merkitseminen rekisteriin, ja toimivaltaisen viranomaisen suorittamia valvontajärjestelyjä. 

Komission delegoitu asetus direktiivin 2014/17/EU täydentämisestä 

Komission delegoitu asetus (EU) n:o 1125/2014 Euroopan parlamentin ja neuvoston direktiivin 2014/17/EU täydentämisestä luotonvälittäjien ammatillisen vastuuvakuutuksen tai vastaavan vakuuden rahallista vähimmäismäärää koskevilla teknisillä sääntelystandardeilla annettiin 19 päivänä syyskuuta 2014. Asetus koskee asuntoluottodirektiivissä säädettyä luotonvälittäjiltä edellytettyä ammatillista vastuuvakuutusta tai muuta vastaavaa vakuutta ammatillisesta virheestä aiheutuvan korvausvastuun kattamiseksi.  

Asetuksen 1 artiklan mukaan asuntoluottodirektiivin 29 artiklan 2 kohdan a alakohdan ensimmäisessä alakohdassa tarkoitetun, luotonvälittäjiltä vaadittavan ammatillisen vastuuvakuutuksen tai muun vastaavan vakuuden vähimmäismäärä on 460 000 euroa jokaista yksittäistä vahinkoa kohden ja yhteensä 750 000 euroa kaikkien vahinkojen osalta kalenterivuotta kohden. 

Nykytila

3.1  Lainsäädäntö ja oikeuskäytäntö

3.1.1  3.1.1 Asunto-omaisuuteen liittyvät kuluttajaluotot

Yleistä 

Kuluttajaluottojen tarjoamista koskevat elinkeino-oikeudelliset säännökset sisältyvät lakiin eräiden luotonantajien rekisteröinnistä (747/2010). Lukuun ottamatta luottolaitoksia, eräitä muita mainitussa laissa mainittuja tahoja sekä panttilainauslaitoksia, kuluttajaluottoja saa tarjota vain sellainen elinkeinonharjoittaja, joka on rekisteröity Etelä-Suomen aluehallintoviraston ylläpitämään luotonantajarekisteriin. Käytännössä asuntoluottoja tarjoavat vain luottolaitokset. Myös muiden asunto-omaisuuteen liittyvien kuluttajaluottojen tarjonnassa muilla kuin luottolaitoksilla on käytännössä vain vähäinen merkitys.  

Kuluttajaluottoja koskevat keskeiset sopimusoikeudelliset säännökset sisältyvät kuluttajansuojalain (38/1978) 7 lukuun. Luvun säännökset ovat kuluttajan hyväksi pakottavia (5 §). Kuluttajaluotolla tarkoitetaan luottoa, jonka elinkeinonharjoittaja sopimuksen mukaan myöntää tai lupaa myöntää kuluttajalle lainana, maksunlykkäyksenä tai muuna vastaavana taloudellisena järjestelynä (1 §). Luvun säännökset koskevat kaikkia elinkeinonharjoittajan kuluttajalle myöntämiä luottoja siitä riippumatta, mihin tarkoitukseen luotto myönnetään, onko luotto vakuudellinen ja onko luoton vakuutena esine- vai henkilövakuus. Luvun säännöksiä sovelletaan siten myös direktiivin soveltamisalaan kuuluviin asunto-omaisuuteen liittyviin kuluttajaluottoihin. Poikkeuksen muodostavat panttilainauslaitosten myöntämät luotot, joihin sovelletaan panttilainauslaitoksista annettuun lakiin (1353/1992) sisältyviä erityissäännöksiä kuluttajansuojalain säännösten sijaan.  

Asunto-omaisuuteen liittyvien kuluttajaluottojen välittäminen ei edellytä toimilupaa, rekisteröintiä tai muuta ennakkoilmoitusta viranomaiselle ennen toiminnan aloittamista. Eräät kuluttajansuojalain 7 luvun säännökset koskevat myös luotonvälittäjiä.  

Luotonantajia ja luotonvälittäjiä koskevat ammattitaitovaatimukset  

Luotonantajien luotettavuuden ja ammattipätevyyden varmistamiseksi luotonantajien rekisteröinnille on asetettu tietyt vaatimukset. Ilmoituksen tekijällä, tai jos tämä on oikeushenkilö, sen ylimmällä johdolla on oltava sellainen luottotoiminnan tuntemus kuin harjoitetun luottotoiminnan luonteeseen ja laajuuteen katsoen on tarpeen. Lisäksi laissa eräiden luotonantajien rekisteröinnistä edellytetään, että luotonantaja, tai jos tämä on oikeushenkilö, sen ylin johto huolehtii siitä, että toimintaan osallistuvilla henkilöillä on tehtävässä tarvittava riittävä ammattitaito. (6 ja 9 §)  

Luottolaitoksen johtoa koskevista luotettavuus- ja pätevyysvaatimuksista säädetään luottolaitostoiminnasta annetussa laissa (610/2014). Luottolaitoksen hallituksen jäsenellä ja toimivaan johtoon kuuluvalla tulee olla luottolaitoksen liiketoiminnasta, siihen liittyvistä keskeisistä riskeistä sekä johtamisesta sellainen osaaminen ja kokemus kuin henkilön tehtävään sekä luottolaitoksen toiminnan laatuun, laajuuteen ja monimuotoisuuteen nähden on tarpeen (7 luvun 4 §). 

Panttilainauslaitoksista annetun lain mukaan panttilainaustoiminnan harjoittamiseen tarvittavan toimiluvan saaminen edellyttää, että panttilainauslaitoksen omistajien ja hallintohenkilöiden luotettavuudesta ja sopivuudesta saadun selvityksen ja muun selvityksen perusteella voidaan varmistua, että panttilainauslaitosta tullaan johtamaan ammattitaitoisesti, luotettavasti sekä terveiden ja varovaisten liikeperiaatteiden mukaisesti ja että panttilainauslaitos muutoin tulee noudattamaan panttilainauslaitoksista annetun lain säännöksiä (5 §). 

Luotonvälittäjien johdolle tai henkilöstölle ei ole laissa säädetty ammattitaitovaatimuksia.  

Ennakkotiedonantovelvoitteet  

Kuluttajaluoton mainonnassa on kuluttajansuojalain 7 luvun 8 §:n mukaan ilmoitettava luoton todellinen vuosikorko, luoton korko ja muut luottokustannukset, luoton määrä tai luottoraja, luottosopimuksen kesto, hyödykkeen käteishinta ja mahdollinen käsiraha, luoton ja luottokustannusten yhteismäärä ja maksuerien määrä, jos mainonnasta ilmenee luoton korko tai muu luotosta perittäviä kustannuksia kuvaava luku taikka muu luottosopimuksen ehtoja koskeva tieto. Jos luoton saamisen edellytyksenä mainostetuin ehdoin on vakuutusta tai muuta lisäpalvelua koskevan sopimuksen tekeminen, on mainonnassa ilmoitettava lisäksi tällaisesta edellytyksestä. Luottokustannukset ja luoton todellinen vuosikorko on määritelty 7 luvun 6 §:ssä, minkä lisäksi oikeusministeriön asetus kuluttajaluoton todellisesta vuosikorosta (824/2010) sisältää tarkempia säännöksiä luoton todellisen vuosikoron laskemistavasta ja laskennassa käytettävistä oletuksista. 

Kuluttajalle on kuluttajansuojalain 7 luvun 9 §:n mukaan annettava hyvissä ajoin ennen luottosopimuksen tekemistä ”Vakiomuotoiset eurooppalaiset kuluttajaluottotiedot” -lomaketta käyttäen tiedot muun muassa luotonantajasta, luotosta ja kuluttajan oikeuksista. Asuntoluotoissa ennakkotiedot voidaan lomakkeen sijasta antaa myös muulla pysyvällä tavalla.  

Myös rahoituspalvelujen ja rahoitusvälineiden etämyyntiä koskevan kuluttajansuojalain 6 a luvun 5—11 §:ään sisältyy tiedonantovelvoitteita koskevia säännöksiä. Kuluttajalle on mainitun luvun 5 §:n mukaan annettava hyvissä ajoin ennen rahoituspalvelua koskevan sopimuksen tekemistä määrätyt tiedot elinkeinonharjoittajasta, tarjottavasta rahoituspalvelusta, etäsopimuksesta ja oikeussuojakeinoista. Tiedot on annettava käytettyyn etäviestimeen sopivalla tavalla, selkeästi, ymmärrettävästi ja niin, että tietojen kaupallinen tarkoitus käy selvästi ilmi. Luvun 11 §:n mukaan ennakkotiedot ja sopimusehdot on hyvissä ajoissa ennen sopimuksen tekemistä toimitettava kuluttajalle henkilökohtaisesti, kirjallisesti tai sähköisesti siten, että kuluttaja voi tallentaa ja toisintaa ne muuttumattomina. Jos sopimus tehdään kuluttajan pyynnöstä sellaista etäviestintä käyttäen, että tietoja ja sopimusehtoja ei voida antaa pysyvällä tavalla ennen sopimuksen tekemistä, tiedot ja sopimusehdot on annettava pysyvällä tavalla viipymättä sopimuksen tekemisen jälkeen. 

Tarkempia säännöksiä tiedonantovelvoitteista sisältyy valtioneuvoston asetukseen luottosopimuksesta kuluttajalle annettavista tiedoista (789/2010). 

Hyvä luotonantotapa 

Hyvää luotonantotapaa koskevan kuluttajansuojalain 7 luvun 13 §:n mukaan luotonantajan on luotonannossa meneteltävä vastuullisesti. Luottoa ei saa markkinoida siten, että markkinointi on omiaan selvästi heikentämään kuluttajan kykyä harkita luoton ottamista huolellisesti. Luoton myöntämistä ei myöskään saa käyttää pääasiallisena markkinointikeinona muita kulutushyödykkeitä markkinoitaessa. Lisäksi kuluttajalle on ennen luottosopimuksen tekemistä annettava riittävät ja selkeät selvitykset sen arvioimiseksi, soveltuuko luotto kuluttajan tarpeisiin ja hänen taloudelliseen tilanteeseensa. Maksuviivästystilanteessa kuluttajalle on annettava tietoa ja neuvoja maksuvaikeuksien syntymisen estämiseksi ja maksukyvyttömyystilanteiden hoitamiseksi. Luottotietoina käytettävien tietojen laadusta ja tietolähteistä säädetään luottotietolain (527/2007) 6 §:ssä. 

Kuluttajansuojalain 7 luvun 14 §:ssä säädetään kuluttajan luottokelpoisuuden arvioimisesta. Luotonantajan on ennen luottosopimuksen tekemistä arvioitava, kykeneekö kuluttaja täyttämään luottosopimuksen mukaiset velvoitteensa. Arviointi on tehtävä kuluttajan tuloja ja muita taloudellisia olosuhteita koskevien riittävien tietojen perusteella. Luoton määrän tai luottorajan korottamisesta sovittaessa luotonantajan on varmistettava tietojen ajantasaisuus. Luotonantajan on arvioitava kuluttajan luottokelpoisuus uudelleen, jos luoton määrää tai luottorajaa korotetaan merkittävästi.  

Ennen kuluttajaluottosopimuksen tekemistä luotonantajan on luvun 15 §:n mukaan todennettava luottoa hakevan henkilöllisyys huolellisesti. Tiedot, joiden perusteella luottoa hakeneen kuluttajan henkilöllisyys on todennettu, on luvun 16 §:n mukaan säilytettävä viiden vuoden ajan siitä, kun luotto on kokonaisuudessaan erääntynyt maksettavaksi. 

Luottosopimuksen tekeminen ja varojen luovuttaminen 

Kuluttajaluottosopimus on kuluttajansuojalain 7 luvun 17 §:n mukaan tehtävä kirjallisesti, ja kuluttajalle on annettava kappale sopimusta. Sopimuksessa on mainittava muun muassa tiedot luottosopimuksen osapuolista, luottosopimuksen ehdot, tiedot peruuttamisoikeuden käyttämisen edellytyksistä sekä tiedot luottosopimuksen irtisanomisesta ja muusta päättämisestä. Tarkempia säännöksiä kuluttajaluottosopimuksessa mainittavista tiedoista sisältyy valtioneuvoston asetukseen luottosopimuksesta kuluttajalle annettavista tiedoista. Kuluttajalta ei saa luottosuhteen perusteella periä korkoa tai maksuja, joista ei ole sovittu luottosopimuksessa.  

Korkokattoa koskevan luvun 17 a §:n mukaan luottosopimuksen mukainen luoton todellinen vuosikorko saa olla enintään korkolain (633/1982) 12 §:ssä tarkoitettu viitekorko lisättynä 50 prosenttiyksiköllä, jos luoton määrä tai luottoraja on alle 2 000 euroa. Hyödykesidonnaiseen luottoon kyseistä pykälää sovelletaan kuitenkin vain, jos kuluttajalla on luottosopimuksen nojalla myös oikeus nostaa rahavaroja. 

Jos kuluttajaluottoa haetaan ja se myönnetään kello 23:n ja 7:n välisenä aikana, luottosopimuksen nojalla myönnettävät varat saa luvun 19 §:n mukaan suorittaa kuluttajalle vasta kello 7:n jälkeen. Säännöstä ei kuitenkaan sovelleta jatkuvan luoton luottorajan nostamiseen. 

Luottosopimuksen peruuttaminen 

Kuluttajalla on kuluttajansuojalain 7 luvun 20 §:n mukaan oikeus peruuttaa kuluttajaluottosopimus ilmoittamalla siitä luotonantajalle pysyvällä tavalla 14 päivän kuluessa sopimuksen tekemisestä tai siitä myöhäisemmästä ajankohdasta, jona kuluttaja on saanut kappaleen luottosopimuksesta kirjallisesti tai sähköisesti. Jos kuluttaja peruuttaa sopimuksen, häneltä saa vaatia korvauksena luoton koron ajalta, jonka luotto on ollut hänen käytettävissään. Luotonantajalla on oikeus saada korvaus kuluttajalta myös luotonantajan viranomaisille luottosopimuksen tekemisen johdosta maksamista maksuista, jos tällaisia maksuja ei peruuttamistapauksessa palauteta. Korkoa tai maksuja ei kuitenkaan saa vaatia, jos luotonantaja ei ole ilmoittanut kuluttajalle ennakolta maksuvelvollisuudesta tai koron ja maksujen määrästä taikka koron määräytymisen perusteista.  

Kuluttajaluottosopimukseen liittyvä muu sopimus ei 21 §:n mukaan sido kuluttajaa tämän peruuttaessa luottosopimuksen, jos luotonantaja tarjoaa myös liitännäispalvelun. Liitännäissopimus ei sido kuluttajaa myöskään silloin, jos kolmas tarjoaa liitännäispalvelun luotonantajan ja kolmannen välisen sopimuksen tai muun järjestelyn perusteella. Jos kuluttaja haluaa pitää liitännäissopimuksen voimassa luottosopimuksen peruuttamisesta huolimatta, hänen on ilmoitettava tästä luotonantajalle 30 päivän kuluessa peruuttamisilmoituksen lähettämisestä. 

Edellä kuvattuja luottosopimuksen peruuttamista koskevaa 20 ja 21 §:ää ei kuitenkaan sovelleta asuntoluottoon, paitsi tarjottaessa tällaista luottoa etämyynnissä tai kotimyynnissä (3 §:n 2 momentti). Jos kuluttaja etämyynnissä peruuttaa asuntoluottosopimuksen, luotonantajalla on edellä mainitun korvauksen sijaan oikeus vaatia korvauksena luoton todellinen vuosikorko ajalta, jonka luotto on ollut kuluttajan käytettävissä. 

Koron ja maksujen muuttaminen luottosopimuksen kuluessa 

Kuluttajaluottosopimuksen ehdoissa voidaan kuluttajansuojalain 7 luvun 24 §:n mukaan sopia, että luotosta maksettava korko muuttuu sopimuksessa yksilöidyn viitekoron muutosten mukaisesti. Sovellettavan viitekoron on oltava julkisesti saatavilla ja perustuttava luotonantajan yksipuolisesta määräysvallasta riippumattomiin tekijöihin. Koron muutokset on toteutettava tasapuolisesti ja kuluttajia syrjimättömällä tavalla. Tasapuolisuusvaatimus edellyttää, että luotonantaja ei toteuta koron muutoksia sellaisella tavalla, että tämä saa perusteetonta etua kuluttajan kustannuksella. Koronmuutokset on esimerkiksi toteutettava vastaavalla tavalla sekä alas- että ylöspäin. (HE 24/2010 vp, s. 39) 

Kuluttajalle on ilmoitettava koron muutoksista pysyvällä tavalla ja annettava tälle määrätyt tiedot ennen muutoksen voimaantuloa. Muutoksesta ilmoitettaessa on mainittava maksuerän suuruus koron muuttumisen jälkeen ja erien lukumäärää tai maksuvälejä koskevat ajantasaiset tiedot. Asuntoluotoissa kuluttajalle on erien lukumäärän sijaan annettava viimeistä maksupäivää koskeva ajantasainen tieto. (pykälän 2 momentti) 

Luottosopimuksen johdosta perittäviä maksuja voidaan muuttaa vain sopimuksessa yksilöidyin perustein. Myös maksujen muutoksista on ilmoitettava kuluttajalle pysyvällä tavalla ennen muutoksen voimaantuloa. (pykälän 3 momentti) 

Ennenaikainen takaisinmaksu 

Kuluttajalla on kuluttajansuojalain 7 luvun 27 §:n mukaan oikeus maksaa kuluttajaluotto tai sen osa ennen luoton erääntymistä. Jos kuluttaja maksaa luoton tai sen osan ennenaikaisesti, on jäljellä olevasta luotonantajan saatavasta vähennettävä se osa luottokustannuksista, joka kohdistuu käyttämättä jäävään luottoaikaan. Luotonantaja saa kuitenkin periä kokonaisuudessaan luottosopimuksessa yksilöidyt, kyseisen luoton perustamiseen liittyvistä toimista aiheutuneet todelliset kulut. 

Luotonantajalla on 28 §:n mukaan oikeus saada korvaus kuluttajalta tämän maksaessa luoton tai sen osan ennenaikaisesti, jos luoton korkoa ei ole sidottu viitekorkoon. Luotonantajalla ei ole oikeutta korvaukseen, jos luottoa on maksettu takaisin ennenaikaisesti viimeksi kuluneen vuoden aikana enintään 10 000 euroa, takaisinmaksu suoritetaan lainaturvavakuutuksen nojalla tai takaisinmaksettava luotto perustuu käyttelytiliin liittyvään luottosopimukseen. Kyseistä pykälää ei kuitenkaan sovelleta asuntoluottoon, paitsi tarjottaessa tällaista luottoa etämyynnissä tai kotimyynnissä (3 §:n 2 momentti). 

Asuntoluoton ennenaikaisesta maksamisesta luotonantaja saa 29 §:n mukaan periä korvauksen, jos luottoa on myönnetty yli 20 000 euroa ja luoton korko on kiinteä tai viitekoron määräytymisjakso on vähintään kolme vuotta. Korvauksena luotonantaja saa periä enintään korkotason alenemisesta johtuvan tappion jäljellä olevalta kiinteäkorkoiselta luottojaksolta tai viitekoron määräytymisjaksolta. Finanssivalvonta on antanut määräyksiä korvauksen laskentamenetelmistä (Finanssivalvonnan määräykset ja ohjeet 4/2011; Asuntoluoton ennenaikaisesta takaisinmaksusta perittävän enimmäiskorvauksen laskentaan käytettävät menetelmät). 

Kytkykauppa ja yhdistetyt tarjoukset  

Yhdistettyjä tarjouksia ja kylkiäistarjouksia koskevan kuluttajansuojalain 2 luvun 12 §:n mukaan markkinoinnissa on selkeästi ilmoitettava tarjouksen sisältö ja arvo, jos markkinoinnissa tarjotaan kulutushyödykkeitä yhteisellä hinnalla tai niin, että ostamalla hyödykkeen saa alennetulla hinnalla toisen hyödykkeen tai muun erityisen edun. Yhteisellä hinnalla tarjotuista hyödykkeistä on lisäksi ilmoitettava niiden erilliset hinnat, jollei hyödykkeen hinta erikseen hankittuna ole pienempi kuin kymmenen euroa. Lisäksi markkinoinnissa on ilmoitettava tarjouksen hyväksi käyttämistä koskevat ehdot, erityisesti tarjouksen kesto sekä määrälliset ja muut rajoitukset. 

Luottoja tarjoavien luottolaitosten on noudatettava myös luottolaitostoiminnasta annetun lain säännöksiä. Lain 15 luvun 3 §:n mukaan luottolaitos ei saa toiminnassaan käyttää sopimusehtoa, joka ei kuulu luottolaitoksen toimintaan tai jota sen sisältö, osapuolten asema tai olosuhteet huomioon ottaen on pidettävä asiakkaan kannalta kohtuuttomana. Kohtuuttomana sopimusehtoa on pidettävä aina, jos luottolaitoksen toiminnan ulkopuolisten hyödykkeiden hankkiminen tai käyttö asiakkaan kannalta kokonaisuutena arvioiden asiattomasti vaikuttaa luoton saamiseen, sopimuksen voimassaoloon tai muihin sopimuksen ehtoihin taikka jos asiakkaan oikeutta ryhtyä sopimussuhteeseen muun elinkeinonharjoittajan kanssa rajoitetaan. Lisäksi yhdistettyjen tarjousten markkinoinnissa on noudatettava luottolaitostoiminnasta annetun lain 15 luvun 2 §:n säännöksiä markkinoinnista. 

Maksuvaikeuksissa olevan kuluttajan suoja 

Useisiin lakeihin sisältyy säännöksiä maksuvaikeuksissa olevan kuluttajan suojaamiseksi. Näistä keskeisimpinä voidaan mainita kuluttajansuojalain 7 luvun säännökset hyvästä luotonantotavasta ja luoton eräännyttämistä koskevista edellytyksistä, kauppakaaren (3/1734) säännökset irtaimen pantista, korkolain säännökset viivästyskoron määrästä, saatavien perinnästä annetun lain (513/1999) säännökset kuluttajasaatavan perinnästä sekä ulosottokaaren (705/2007) velallisen suojaa koskevat säännökset. 

Hyvää luotonantotapaa koskevan kuluttajansuojalain 7 luvun 13 §:n mukaan luotonantajan on muun muassa suhtauduttava vastuullisesti maksujärjestelyihin. Kuluttajan sopimusrikkomuksen seuraamuksia koskevassa kuluttajansuojalain 7 luvun 33 §:ssä säädetään edellytyksistä, joiden täyttyessä luotonantaja voi kuluttajan maksuviivästyksen tai muun sopimusrikkomuksen johdosta eräännyttää luoton tai saattaa voimaan muun erityisen seuraamuksen. Luotonantaja ei kuitenkaan pääsääntöisesti voi ryhtyä näihin toimenpiteisiin, jos kyse on maksuviivästyksestä ja viivästys on johtunut kuluttajan sairaudesta, työttömyydestä tai muusta näihin rinnastettavasta seikasta (34 §).  

Kauppakaaren 10 luvun säännöksiä irtaimen pantista sovelletaan esimerkiksi asuntoluoton vakuudeksi annettuihin asunto-osakeyhtiön osakkeisiin. Luku sisältää säännöksiä muun muassa pantin myynnin edellytyksistä, pantin säilyttämisestä, edelleen panttaamisesta ja pantinhaltijan vahingonkorvausvastuusta pantin myymistä koskevien säännösten noudattamisen laiminlyönnin johdosta.  

Kauppakaaren mukaan pantin myynnin edellytyksenä on, että saatava on erääntynyt maksettavaksi ja pantin omistajalle on tämän jälkeen ilmoitettu, että esine myydään, jollei saatavaa makseta tietyn, vähintään yhden kuukauden pituisen ajan kuluessa ilmoituksesta. Lisäksi edellytetään, että ilmoituksessa mainittu aika on kulunut eikä saatavaa ole maksettu. Jos pantiksi on annettu osakkeita, jotka oikeuttavat hallitsemaan pantin omistajan asuntona käytettävää huoneistoa, on pantin omistajalle varattava vähintään kahden kuukauden pituinen aika pantinhaltijan saatavan maksamiseen kyseisestä ilmoituksesta. Panttia myytäessä on otettava huomioon myös pantin omistajan etu. (10 luvun 2 §) 

Laissa saatavien perinnästä säädetään erääntyneen saatavan perinnästä sekä perintään liittyvistä, velkasuhteen osapuolten asemaan vaikuttavista muista seikoista. Kuluttajasaatavan perintäkulujen enimmäismääriä koskevassa 10 a §:ssä säädetään määristä, jotka velalliselta enintään saa vaatia määrätyistä perintätoimista. Kuluttajasaatavan perinnässä sovellettavaksi tulee myös muun muassa lain 10 b § perintätoimien aikarajoista. 

Ulosottokaareen sisältyvistä asunto-omaisuuteen ja velallisen suojaan liittyvistä säännöksistä voidaan mainita säännökset ulosmittausjärjestyksestä (4 luvun 24 §) ja ulosmittausjärjestyksestä poikkeamisesta (4 luvun 25 §) sekä yhteisomistajan asemasta tämän vakituisena asuntona käyttämän omaisuuden myynnissä (5 luvun 83 §). Omaisuuden myynnissä tulee pyrkiä hyvään tulokseen, ja saatavissa oleva kauppahinta, myyntikustannukset ja myynnin vaatima aika tulee ottaa huomioon myyntitavan valinnassa (5 luvun 2 §). Korkeinta tarjousta kiinteistön tai arvokkaan irtaimen omaisuuden huutokaupassa ei saa hyväksyä, jos tarjous alittaa selvästi omaisuuden käyvän hinnan (5 luvun 23 §). 

Luotonvälitystä koskevat säännökset  

Kuluttajansuojalain 7 luvun säädettyjä ennakkotiedonantovelvoitteita sovelletaan luotonantajien lisäksi luotonvälittäjiin. Myös hyvää luotonantotapaa koskevaa 13 §:ää sovelletaan pykälän 3 momentissa määriteltyjä poikkeuksia lukuun ottamatta luotonvälittäjiin. Lisäksi luotonvälittäjiä koskevat 48 § valtuuksista ilmoittamisesta ja 49 § kuluttajalta perittävistä maksuista.  

Valvontaviranomaiset 

Eräiden luotonantajien rekisteröinnistä annetun lain mukaisena rekisteri- ja valvontaviranomaisena toimii Etelä-Suomen aluehallintovirasto. Aluehallintoviraston toimivaltuuksista luotonantajan rikkoessa lain mukaisia velvoitteitaan säädetään eräiden luotonantajien rekisteröinnistä annetun lain 10 a, 10 b, 11 ja 12 §:ssä. Viime kädessä luotonantajan laissa säädettyjen velvoitteiden rikkominen voi johtaa luotonantajarekisteristä poistamiseen, mikä merkitsee sitä, että elinkeinonharjoittaja ei saa enää jatkaa kuluttajaluottojen tarjoamista. 

Kuluttajansuojalain 7 luvun säännösten noudattamista valvovat 51 §:n mukaan kuluttaja-asiamies, Kilpailu- ja kuluttajavirasto ja sen alaisina piirihallintoviranomaisina aluehallintovirastot sekä myös Finanssivalvonta silloin, kun luotonantajana on Finanssivalvonnan valvottava. Luotonantajaa ja luotonvälittäjää, joka rikkoo 7 luvun säännöksiä, voidaan 50 §:n mukaan kieltää jatkamasta tällaista menettelyä taikka uudistamasta sitä tai siihen rinnastettavaa menettelyä, jos se on kuluttajansuojan kannalta tarpeellista. 

3.1.2  3.1.2 Vertaislainat

Vertaislainalle ei ole virallista määritelmää. Tyypillisesti sillä kuvattaneen kuitenkin keskenään vertaisten henkilöiden tai yritysten välistä lainaa. Kuluttajansuojan näkökulmasta merkityksellisiä ovat erityisesti sellaiset väliset luotot, joissa elinkeinonharjoittaja (vertaislainayhtiö) toimii välittäjänä mahdollistaen lainasuhteen synnyn kahden yksityishenkilön välillä. Jos elinkeinonharjoittaja toimii vain luotonvälittäjänä kahden yksityishenkilön välisessä suhteessa eikä kuluttajansuojalain 7 luvussa tarkoitettuna luotonantajana, ei kuluttajansuojalain 7 luvun säännöksiä sovelleta luottosuhteeseen. Myöskään 7 luvun säännöksiä luotonvälityksestä ei sovelleta tällöin. Jos vertaislainanvälitys tapahtuu etämyyntinä, välitykseen sovelletaan kuluttajansuojalain 6 a luvun säännöksiä rahoituspalveluiden ja rahoitusvälineiden etämyynnistä.  

Käytännössä on esiintynyt eräiden toimijoiden osalta epäselvyyttä sen suhteen, toimiiko yritys luotonvälittäjänä, kuten on itse ilmoittanut, vai tosiasiassa kuluttajansuojalaissa tarkoitettuna luotonantajana. Eräissä tapauksissa kuluttajaviranomaiset ja tuomioistuimet ovat katsoneet, että kyse on ollut tosiasiassa kuluttajaluoton myöntämisestä, johon sovelletaan kuluttajaluottoja koskevia kuluttajansuojalain 7 luvun säännöksiä (esim. kuluttaja-asiamiehen ratkaisu KKV/2928/14.08.01.05/2014 ja Rovaniemen hovioikeuden tuomio RHO:2014:7).  

3.2  Kansainvälinen kehitys ja ulkomaiden lainsäädäntö

3.2.1  3.2.1 Koron ja maksujen muuttamista koskeva sääntely muissa Pohjoismaissa

Ruotsi 

Ruotsin voimassa olevan kuluttajaluottolain (Konsumentkreditlagen 2010:1846) 17 §:n mukaan korkoa voidaan muuttaa ainoastaan silloin, jos siitä on sovittu. Korkoa voidaan muuttaa kuluttajan vahingoksi vain siinä laajuudessa kuin on perusteltua luottopoliittisten päätösten, luotonantajan kasvaneiden lainanottokustannusten tai muiden sellaisten kulujen kasvun vuoksi, joita luotonantaja ei sopimusta solmittaessa kohtuullisesti voinut ennakoida. Kiinteän omaisuuden panttioikeuteen, tontin vuokraoikeuteen, asumisoikeuteen tai vastaavaan oikeuteen liittyvissä luotoissa luotonantajalla on kuitenkin tietyin edellytyksin oikeus muuttaa korkoa luotonantajan uusiin vastaaviin luottoihin tavanomaisesti soveltamaa korkoa vastaavaksi edellyttäen, että tällaista oikeutta koskeva ehto sisältyy sopimukseen. Lisäksi on mahdollista sopia koron muuttumisesta viitekoron muutosten mukaisesti. Luotonantajalla on velvollisuus soveltaa koron muutoksia koskevia sopimusehtoja kuluttajan eduksi samalla tavalla kuin niitä sovellettaisiin tämän vahingoksi.  

Lain esitöiden (Regeringens proposition 1991/92:83, s. 116) mukaan luottopoliittisilla päätöksillä tarkoitetaan julkisoikeudellisia päätöksiä, joilla on välitön vaikutus luottomarkkinoihin ja jotka siten vaikuttavat luotonantajan kustannuksiin. Tällaisia ovat esimerkiksi varantovelvoitteiden tai pääomavaatimusten muuttamista koskevat päätökset. Luotonantajan kasvaneilla lainanottokustannuksilla puolestaan tarkoitetaan ennen kaikkea yleisen korkotason nousua, mutta myös muu luotonantajan lainanottoon vaikuttava korkojen nousu mahdollistaa koron muuttamisen. Ennakoimattomuutta koskevan edellytyksen johdosta luotonantaja ei voi nostaa korkoa tavanomaisena pidettävän inflaation vuoksi.  

Luotonantaja on lain esitöiden mukaan velvollinen soveltamaan samoja periaatteita niin koron alentamiseen kuin koron nostamiseenkin. Tämä vaatimus koskee paitsi koron muutosten suuruutta myös sitä, että luotonantaja toimii yhtä nopeasti korkoa nostaessaan ja sitä alentaessaan. 

Ruotsin Finanssivalvonnan antaman kuluttajaluottoja koskevan ohjeen (Finansinspektionens allmänna råd om krediter i konsumentförhållanden, FFFS 2014:11) mukaan luotonantajan on kuluttajan pyynnöstä ilmoitettava syy vaihtuvakorkoisen luoton koron muuttamiselle. Jos luoton korkoa on korotettu lainanottokustannusten nousun vuoksi, luotonantajan on kuluttajan pyynnöstä ilmoitettava kustannusten nousun syy. 

Luoton johdosta perittävistä maksuista ja niiden muuttamisesta säädetään kuluttajaluottolain 18 §:ssä, jonka mukaan luotonottaja on velvollinen koron lisäksi tai sen sijaan maksamaan erillistä korvausta luotosta ainoastaan, jos siitä on sovittu ja jos kyseinen maksu vastaa luotonantajalle luotosta aiheutuvia kuluja. Luoton maksuja voidaan muuttaa kuluttajan vahingoksi ainoastaan, jos siitä on sovittu ja ainoastaan siinä määrin kuin se maksuina perittävien kulujen nousun takia on perusteltua.  

Norja 

Norjan voimassa olevan rahoitussopimuslain (Lov om finansavtaler og finansoppdrag; jäljempänä Finansavtaleloven, 1999—06—25 nr 46) mukaan luotonantaja ei kuluttajaluottosopimuksissa saa pidättää oikeutta muuttaa yksipuolisesti lainan ehtoja kuluttajan vahingoksi lukuun ottamatta koron, maksujen ja muiden luottokustannusten nostamista. Luottosopimuksessa on täsmennettävä edellytykset muutosten tekemiselle. Luottosopimuksen ehtoja voidaan muuttaa vain silloin, kun sille on tosiasialliset perusteet. (49 §) Lain perusteluissa (NOU 1994:19, s. 101) todetaan, että tosiasiallisina perusteina muutosten tekemiselle pidetään merkittäviä muutoksia koroissa, joukkolainojen tuotossa tai instituution rahoituskustannusten yleisessä tasossa. 

Kuluttajalle on ilmoitettava luottosopimuksen ehtojen yksipuolisesta muuttamisesta ennen muutoksen tekemistä. Ilmoituksesta on käytävä ilmi muutoksen luonne, sen syyt sekä kuluttajan oikeus ennenaikaiseen takaisinmaksuun ja tämän oikeuden käyttämisestä kuluttajalle aiheutuvat kustannukset. Muutokset voidaan toteuttaa aikaisintaan kuuden viikon kuluttua kirjallisen ilmoituksen lähettämisestä kuluttajalle. Lyhyempää määräaikaa voidaan kuitenkin soveltaa, jos koron muuttaminen johtuu rahamarkkinakoron, joukkolainojen tuoton tai instituution rahoituskustannusten yleisen tason merkittävästä muutoksesta. (Finansavtaleloven 50 §) 

Tanska 

Tanskan voimassa oleva luottosopimuslaki (Lov om kreditaftaler, LBK nr 347 af 02/04/2014) mahdollistaa koron muuttamisen luottosopimuksen voimassaoloaikana. Luottosopimuksessa on mainittava lainakoron muuttamisen edellytykset ja muuttamisessa käytettävät menettelyt (8 §). Luotonantajan on ilmoitettava kuluttajalle lainakoron muutoksista kirjallisesti tai muulla pysyvällä välineellä ennen muutoksen voimaantuloa (9 §). 

Marraskuussa 2015 voimaan tulleen rahoituslaitosten hyvää tapaa koskevan määräyksen (Bekendtgørelse om god skik for finansielle virksomheder, BEK nr 729 af 12/05/2015) mukaan jatkuvissa asiakassuhteissa koron, palkkioiden tai muiden maksujen muutosta koskevat ehdot tulee ilmaista selkeästi sopimuksessa, ja niiden tulee sisältää edellytykset, joiden vallitessa muutos voidaan tehdä. Rahoituslaitokselle ei sopimusehdoissa voi antaa mielivaltaista oikeutta muutosten tekemiseen. Jatkuvissa asiakassuhteissa korkoa, palkkioita tai muita maksuja ei voi muuttaa asiakkaan vahingoksi ilman ennakkoilmoitusta, ellei muutos johdu ulkoisista olosuhteista, joihin rahoituslaitoksella ei ole vaikutusmahdollisuutta. Asuntoluotoissa muutoksia koskevan ennakkoilmoitusajan on oltava vähintään kolme kuukautta. Lisäksi ilmoituksessa on määräyksen mukaan mainittava muutokset syyt. Ennakkoilmoitusajat eivät kuitenkaan koske tapauksia, joissa muutos johdu ulkoisista olosuhteista, joihin rahoituslaitoksella ei ole vaikutusmahdollisuutta. (6 §) 

3.2.2  3.2.2 Vertaislainat

Ruotsi 

Ruotsin voimassa olevan kuluttajaluottolain mukaan lakia sovelletaan myös silloin, kun luotonantajana toimii muu kuin elinkeinonharjoittaja, jos luoton on välittänyt luotonantajan asiamiehenä toiminut elinkeinonharjoittaja (1 §). Tällaiseen luotonvälittäjään sovelletaan säännöksiä hyvästä luotonantotavasta, tiedonantovelvoitteista, luottokelpoisuuden arvioinnista ja luottosopimuksen tekemisestä. Lisäksi kuluttajaluottolakiin sisältyy erityisiä säännöksiä kaikkia luotonvälittäjiä koskevista tiedonantovelvoitteista koskien muun muassa luotonvälittäjän riippumattomuutta ja kuluttajalle luotonvälittäjän palveluista maksettavaksi tulevia maksuja (48 §). 

Myös eräät elinkeino-oikeudelliset säädökset voivat tulla sovellettaviksi vertaislainanvälittäjiin. Toiminnasta riippuen vertaislainanvälittäjää voi koskea pankki- ja rahoitustoiminnasta annetun lain (Lagen om bank- och finansieringsrörelse 2004:297), maksupalvelulain (Lagen om betaltjänster 2010:75), eräästä toiminnasta kuluttajaluotoissa annetun lain (Lagen om viss verksamhet med konsumentkrediter 2014:275) tai tiettyä rahoitustoimintaa koskevasta ilmoitusvelvollisuudesta annetun lain (Lagen om anmälningsplikt avseende viss finansiell verksamhet 1996:1006) mukainen lupa- tai rekisteröitymisvaatimus. 

Norja 

Norjan rahoitussopimuslakia sovelletaan pääsääntöisesti vain rahoituslaitosten tai vastaavien laitosten kanssa tehtäviin sopimuksiin ja toimeksiantoihin (1 §). Rahoitussopimuslain säännökset eivät koske kahden yksityishenkilön välistä luottosuhdetta silloinkaan, kun luoton välittäjänä toimii elinkeinonharjoittaja.  

Tanska 

Tanskan voimassa olevaa luottosopimuslakia sovelletaan luottosopimuksiin, joissa luotonantaja myöntää tai lupaa myöntää luottoa kuluttajalle (1 §). Luottosopimuslakia ei sovelleta kahden yksityishenkilön välisiin luottosopimuksiin silloinkaan, kun luoton välittäjänä toimii elinkeinonharjoittaja. 

3.3  Viranomaisohjeet ja itsesääntely

Finanssivalvonta on antanut kuluttajaluottoihin tai erityisesti asuntoluottoihin liittyviä määräyksiä tai suosituksia useassa eri standardissa, joista tärkeimpiä ovat seuraavat:  

- Luottoriskien hallinta (standardi 4.4a); 

- Asuntoluoton ennenaikaisesta takaisinmaksusta perittävän enimmäiskorvauksen laskentaan käytettävät menetelmät (määräykset ja ohjeet 4/2011);  

- Finanssipalvelujen ja -tuotteiden markkinointi (määräykset ja ohjeet 15/2013); 

- Finanssipalvelujen tarjoamisessa noudatettavat menettelytavat (määräykset ja ohjeet 16/2013); 

- Operatiivisen riskin hallinta rahoitussektorin valvottavissa (määräykset ja ohjeet 8/2014). 

Myös kuluttaja-asiamies on antanut kuluttajaluottojen tarjoamiseen liittyviä seuraavia linjauksia: 

- Maksaminen ja laskutus (vuonna 2008, päivitetty 2010); 

- Kuluttajaluotto tavaroiden ja palveluiden markkinoinnissa (vuonna 2013); 

- Tavaroiden ja palveluiden hinnan ilmoittaminen (vuonna 2014); 

- Hyvä perintätapa kuluttajaperinnässä (2014).  

Luotonantoon liittyvän itsesääntelyn kannalta keskeisiä ovat Finanssialan Keskusliitto ry:n (jäljempänä FK) antamat hyvän pankkitavan säännöt. Ohjeita on annettu myös muun muassa pankkisalaisuudesta ja henkilötietojen käsittelystä.  

Nykytilan arviointi

4.1  Yleistä

Kuluttajaluottoja koskevia säännöksiä on tarpeen uudistaa asuntoluottodirektiivin säännösten täytäntöön panemiseksi. Direktiivin täytäntöönpanon yhteydessä on tarpeen huolehtia myös siitä, että asuntoluottodirektiivin soveltamisalaan kuuluvia luottoja ja muita kuluttajaluottoja koskevien säännösten välille ei muodostu eroja, ellei siihen ole perusteltua syytä. Eräitä kuluttajaluottoja koskevia säännöksiä on tarpeen uudistaa myös luottomarkkinoiden kehittymisen johdosta ja voimassa oleviin säännöksiin liittyvien tulkintaepäselvyyksien poistamiseksi.  

4.2  Direktiivistä johtuvat muutostarpeet

Keskeisin muutostarve kuluttajaluottoja koskeviin sopimusoikeudellisiin säännöksiin liittyy ESIS-lomakkeen käyttöönottoon, jolla pyritään helpottamaan kuluttajan mahdollisuutta verrata eri luotonantajien tarjoamia asuntoluottoja. Uudistustarpeita liittyy myös muun muassa luotonantajan velvollisuuteen arvioida kuluttajan luottokelpoisuus ennen luottosopimuksen tekemistä, luoton vakuudeksi annettavan omaisuuden arviointiin, luoton myöntämistä koskevien periaatteiden määrittelyyn ja luoton myöntämiseen kuluttajalle, neuvontapalvelujen tarjoamiseen sekä valuuttaluottoihin.  

Elinkeino-oikeudellisten säännösten osalta suurin uudistustarve liittyy asunto-omaisuuteen liittyviä kuluttajaluottoja välittäviin luotonvälittäjiin. Direktiivi edellyttää, että tällaisena luotonvälittäjänä saa toimia vain välittäjän kotivaltion viranomaisen hyväksymä toimija, joka täyttää direktiivissä säädetyt ammatilliset vaatimukset. Lisäksi säännöksiä on tarpeen uudistaa sen varmistamiseksi, että luotonantajien henkilöstö täyttää direktiivissä säädetyt ammattitaitovaatimukset.  

4.3  Kansalliset muutostarpeet

Osana luottomarkkinoiden monipuolistumista luottomarkkinoille on tullut vertaislainayhtiöiksi itseään kutsuvia yrityksiä. Yritysten toimintamallit ovat vaihdelleet, ja käytännössä on esiintynyt tulkintaongelmia sen suhteen, mitä säännöksiä näiden yritysten toimintaan sovelletaan, kuten edellä 3.1.2 jaksossa selvitetään. Useissa tapauksissa valvontaviranomaiset ovat katsoneet yrityksen toiminnan tosiasiallisesti rinnastuvan luotonantoon, ja näin ollen on katsottu, että kyseessä on kuluttajaluottojen myöntäminen, jolloin myös kuluttajansuojalain 7 luvun säännökset soveltuvat. On kuitenkin tarpeen luoda tällaisia yrityksiä koskeva sääntelykehikko myös sellaisissa tapauksissa, että yritys toimii aidosti vain luotonvälittäjänä kahden yksityishenkilön välillä mahdollistaen ns. vertaislainatoiminnan.  

Koron ja maksujen muuttamista luottosuhteen kuluessa koskevaa sääntelyä muutettiin kulutusluottolainsäädännön kokonaisuudistuksen yhteydessä (746/2010; HE 24/2010 vp). Voimassa olevat säännökset ovat herättäneet tulkintaepäselvyyksiä erityisesti sen suhteen, voiko luotonantaja muuttaa luotosta perittävää korkoa jollakin muulla perusteella kuin viitekoron muuttumisen vuoksi. Koska eritoten asuntoluottosopimukset ovat usein pitkäaikaisia ja sekä kuluttajien että luotonantajien kannalta merkittäviä, on perusteltua, että sääntelyä selkeytetään.  

Esityksen tavoitteet ja keskeiset ehdotukset

5.1  Yleistä

Esityksen pääasiallisena tarkoituksena on panna kansallisesti täytäntöön asuntoluottodirektiivi. Direktiivin säännökset vastaavat pääpiirteissään sisällöltään voimassa olevan kuluttajansuojalain 7 luvun säännöksiä. Koska direktiivin säännökset yksityiskohdiltaan kuitenkin poikkeavat lukuisilta osin voimassa olevista säännöksistä, jotka koskevat kaikkia kuluttajaluottoja, pidetään selkeämpänä, että direktiivin soveltamisalaan kuuluvista kuluttajaluotoista säädettäisiin omassa, kuluttajansuojalakiin lisättävässä uudessa 7 a luvussa. Tavoitteena on kuitenkin pitää erilaisia kuluttajaluottoja koskevat säännökset niin samankaltaisina kuin asiaa koskevat EU-säädökset huomioon ottaen on mahdollista, ellei erilaisiin säännöksiin ole perusteltua syytä.  

Kuluttajansuojalakiin tehtävien uudistusten lisäksi merkittävin direktiivin täytäntöönpanoon liittyvä uudistus liittyy luotonvälittäjiin, jotka välittävät asunto-omaisuuteen liittyviä kuluttajaluottoja. Tällaisten luottojen välittäminen säädettäisiin rekisteröintiä edellyttäväksi elinkeinoksi. Rekisteröinnistä säädettäisiin erillinen laki. 

Direktiivin liite I (todellisen vuosikoron laskeminen), liite II (ESIS-lomake) ja liite III (tietämystä ja pätevyyttä koskevat vähimmäisvaatimukset) sekä luottosopimuksessa mainittavia tietoja koskeva yksityiskohtainen sääntely on tarkoitus panna täytäntöön alemmanasteisilla säädöksillä, joista laaditut luonnokset ovat esityksen liitteinä. 

Lisäksi esityksessä ehdotetaan eräitä direktiivin täytäntöönpanoon liittymättömiä uudistuksia. Merkittävin näistä uudistuksista on se, että vertaislainojen välittäminen kuluttajille säädettäisiin rekisteröintiä edellyttäväksi elinkeinoksi samalla tavalla kuin kuluttajaluottojen tarjoaminen. Koska uudistus edellyttää muutosten tekemistä valtaosaan eräiden luotonantajien rekisteröinnistä annetun lain säännöksistä, pidetään tarkoituksenmukaisena säätää uusi laki. Lisäksi kuluttajaluottoja koskevaan kuluttajansuojalain 7 lukuun ehdotetaan muutoksia vertaislainoihin liittyen.  

Esityksessä ehdotetaan myös selkeytettäväksi sääntelyä, joka koskee luotonantajan oikeutta muuttaa luottosuhteen kuluessa kuluttajaluoton korkoa tai siitä perittäviä maksuja.  

5.2  Direktiivin täytäntöönpanoon liittyvät ehdotukset

Kansallisen harkintavallan käyttö 

Edellä 2.1 jaksossa todetun mukaisesti jäsenvaltioilla on harkintavaltaa myös jatkossa asunto-omaisuuteen liittyviä kuluttajaluottoja säänneltäessä, koska direktiivi on pääsääntöisesti minimidirektiivi. Poikkeuksen muodostavat ennen sopimuksen tekoa annettavien tietojen esittäminen ESIS-lomakkeen avulla ja todellisen vuosikoron laskeminen, joiden osalta jäsenvaltiot eivät saa antaa tai pitää voimassa direktiivistä poikkeavia säännöksiä. Kansallisen harkintavallan käytöstä päätettäessä keskeisenä seikkana on ollut se, että asuntoluottodirektiivin soveltamisalaan kuuluvia luottoja ja muita kuluttajaluottoja koskevien säännösten välille ei muodostu eroja, ellei siihen ole perusteltua syytä. Sääntelyn säilyttäminen mahdollisimman yhdenmukaisena on edullista niin kuluttajien kuin luotonantajien kannalta. Kansallisen liikkumavaran käyttöä selvitetään tarkemmin jäljempänä kunkin asiakysymyksen yhteydessä. 

Asunto-omaisuuteen liittyvien uusien kuluttajaluottosäännösten soveltamisala 

Ehdotetun uuden kuluttajansuojalain 7 a luvun soveltamisalaan kuuluisivat ensinnäkin asuntoluotot, joilla tarkoitetaan kuluttajaluottoja, jotka myönnetään asuinhuoneiston hallintaan oikeuttavien yhteisöosuuksien tai asuinkiinteistön hankkimiseksi tai sellaisen asuinrakennuksen hankkimiseksi, joka sijaitsee kiinteistöä koskevan käyttöoikeuden nojalla hallitulla alueella, taikka edellä mainitun kohteen omistusoikeuden säilyttämiseksi. Toiseksi luvun soveltamisalaan kuuluisivat sellaiset muut kuluttajaluotot, joiden vakuudeksi annetaan edellä tarkoitettua asunto-omaisuutta.  

Asuntoluottodirektiivin soveltamisalasta on suljettu pois tietyntyyppiset käänteiset asuntolainat. Kyseiset luotot, kuten kaikki muutkin elinkeinonharjoittajan kuluttajalle tarjoamat luotot, kuuluvat nykyisin kuluttajansuojalain 7 luvun säännösten soveltamisalaan. Ei ole ilmennyt perusteita, joiden johdosta oikeustilaa tulisi tältä osin muuttaa. Nämä luotot ehdotetaan suljettavaksi pois uuden 7 a luvun soveltamisalasta, ja niihin sovellettaisiin myös jatkossa kuluttajansuojalain 7 luvun säännöksiä.  

Asuntoluottodirektiivi sisältää kulutusluottodirektiivin tavoin suuren joukon soveltamisalapoikkeuksia, kun taas voimassa olevaa, kuluttajaluottoja koskevaa kuluttajansuojalain 7 lukua sovelletaan lähtökohtaisesti kaikkiin luottoihin, joita elinkeinonharjoittaja sopimuksen mukaan myöntää tai lupaa myöntää kuluttajalle lainana, maksunlykkäyksenä tai muuna vastaavana taloudellisena järjestelynä. Ehdotuksen mukaan myös uuden 7 a luvun soveltamisala olisi laaja. Kuten 7 luvun myös ehdotetun 7 a luvun säännösten soveltamisalasta olisi kuitenkin suljettu pois tietyntyyppiset panttilainauslaitosten myöntämät luotot. Näihin luottoihin ei liity henkilökohtaista velkavastuuta eikä siten myöskään samanlaista ylivelkaantumisen riskiä kuin muihin kuluttajaluottoihin. Direktiiviin pohjautuvia säännöksiä muun muassa kuluttajan luottokelpoisuuden arvioinnista ei ole sen johdosta tarpeen soveltaa näihin luottoihin.  

Tiedonantovelvollisuudet 

Uutta olisi asunto-omaisuuteen liittyvien kuluttajaluottojen osalta, että luotonantajan olisi pidettävä yleisesti saatavilla paperilla tai sähköisesti selkeät ja kattavat yleistiedot tarjoamistaan luotoista. Velvollisuus koskisi direktiivissä edellytetyllä tavalla paitsi luotonantajia myös luotonantajan asiamiehiä.  

Edellä mainitun yleistiedonantovelvoitteen lisäksi direktiivi sisältää säännöksiä mainonnassa annettavista tiedoista (11 artikla) ja ennen sopimuksen tekemistä annettavista tiedoista (14 artikla ja direktiivin liite II). Direktiivin mukaan jäsenvaltio voi kuitenkin olla soveltamatta näitä tiedonantovelvoitteita sellaisiin direktiivin soveltamisalaan kuuluviin luottosopimuksiin, joilla ei ole tarkoitus hankkia tai säilyttää kiinteään asunto-omaisuuteen liittyvää oikeutta edellyttäen, että jäsenvaltio soveltaa niihin vastaavia kulutusluottodirektiivin säännöksiä. Kyse on siis kulutusluotoista, esimerkiksi autolainasta, jonka vakuudeksi annetaan asuinkiinteistö tai asuinhuoneiston hallintaan oikeuttavat osakkeet. Nykyisin näihin luottoihin sovelletaan kulutusluottodirektiiviin perustuvia kuluttajansuojalain 7 luvun säännöksiä. Ei ole ilmennyt syitä, minkä vuoksi tämän tyyppisiä kuluttajaluottoja koskevia tiedonantovelvoitteita olisi aihetta muuttaa. Koska muutokset eivät ole kuluttajansuojasyistä perusteltuja ja koska tällaisista muutoksista aiheutuisi luotonantajille kustannuksia, ehdotetaan, että Suomi käyttää hyväksi direktiivin mukaista optiota ja säilyttää edellä mainitut tiedonantovelvoitteet näiden luottojen osalta ennallaan.  

Myös asuntoluottojen mainonnassa olisi eräitä yksittäisiä lisätietoja lukuun ottamatta annettava samat vakiotiedot kuin nykyisin. Tiedot olisi esityksen mukaan annettava edustavan esimerkin avulla, jonka määräytymisen perusteista Finanssivalvonta antaisi tarkempia määräyksiä. Direktiivin mukaan mainonnassa ilmoitettavat vakiotiedot tulee antaa silloin, kun mainonnassa ilmoitetaan luoton korko tai muu luotosta perittäviä kustannuksia kuvaava luku. Jäsenvaltion harkintaan jää, edellyttääkö se direktiivissä mainittujen tietojen antamista myös muissa tapauksissa. Ehdotuksen mukaan tiedot tulisi antaa myös silloin, kun mainonnasta ilmenee muu luottosopimuksen ehtoja koskeva tieto, kuten luottoaika. Viimeksi mainituilta osin sääntely vastaa voimassa olevaa lakia, eikä ole ilmennyt perusteita, joiden johdosta kuluttajansuojaa tulisi heikentää tältä osin direktiivin täytäntöönpanon yhteydessä. Kuluttaja saisi näin kokonaiskäsityksen markkinoidusta luotosta sekä mahdollisuuden vertailla erilaisia tarjouksia keskenään siitä riippumatta, onko yksittäinen tieto, jolla luottoa markkinoidaan, luoton kustannuksia kuvaava luku vai esimerkiksi tieto luoton takaisinmaksuajasta. 

Esityksen mukaan kuluttajansuojalain 7 a lukuun ja sen nojalla säädettävään valtioneuvoston asetukseen otetaan yksityiskohtaisemmat säännökset tiedoista, jotka luotonantajan on annettava kuluttajalle ennen asuntoluottosopimuksen tekemistä. Tietojen antamisajankohdasta säädettäisiin nykyistä tarkemmin. Tiedot olisi annettava ilman aiheetonta viivytystä sen jälkeen, kun kuluttaja on antanut tietoja luottoon liittyvistä odotuksistaan ja tarpeistaan sekä taloudellisista olosuhteistaan, ja hyvissä ajoin ennen luottosopimuksen tekemistä.  

Myös asuntoluotoissa tulisi pakolliseksi käyttää vakiotietolomaketta, ESIS-lomaketta, säädettyjen tietojen antamiseksi. Vakiotietolomakkeen käyttämisellä pyritään helpottamaan kuluttajan mahdollisuutta vertailla eri luotonantajien tarjoamia luottosopimuksia. Sääntely perustuu direktiiviin, ja se on täysharmonisoivaa. 

Esityksessä ehdotetaan lisäksi, että lain mukaan annettavat tiedot on annettava maksutta. Ehdotus perustuu direktiiviin. 

Kytkykauppa ja yhdistetyt tarjoukset 

Direktiivin mukaan jäsenvaltioiden on sallittava yhdistetyt tarjoukset mutta kiellettävä kytkykauppa. Suomessa yhdistetyt tarjoukset, kuten lainatarjoukset, joiden ehtojen mukaan esimerkiksi lainan marginaali on alempi, jos kuluttaja ostaa samalla toisen rahoituspalvelun luotonantajalta, ovat lähtökohtaisesti jo nykyisin sallittuja, joten tältä osin direktiiviä ei ole tarpeen erikseen panna täytäntöön. Uusia säännöksiä tarvitaan sitä vastoin direktiivissä tarkoitetusta kytkykaupasta eli luottosopimuksen tarjoamisesta yhdessä toisen finanssituotteen tai -palvelun kanssa siten, ettei kuluttajan ole mahdollista tehdä luottosopimusta erillisenä ilman toisen palvelun tai tuotteen hankkimista. Kytkykauppaa rajoittaa nykyisin vain 3.1.1 jaksossa mainittu luottolaitostoiminnasta annetun lain 15 luvun 3 §:n säännös. Kuluttajansuojalakiin ehdotetaan lisättäväksi luoton kytkykaupan kieltävä säännös.  

Jäsenvaltioilla on direktiivin mukaan mahdollisuus säätää, että luotonantajat voivat edellyttää kuluttajalta tai hänen perheenjäseneltään tai lähisukulaiseltaan maksu- tai säästötilin avaamista tai voimassa pitämistä, sijoitustuotteen tai yksityisen eläketuotteen ostamista tai pitämistä taikka erillisen luottosopimuksen tekemistä jaetun omistusosuuden luottosopimuksen yhteydessä. Lisäksi jäsenvaltiot voivat sallia kytkykaupan, kun luotonantaja pystyy osoittamaan toimivaltaiselle viranomaiselle, että kytkykauppana tarjottavat tuotteet tuottavat kuluttajille selkeää hyötyä, kun otetaan asianmukaisesti huomioon markkinoilla tarjolla olevien merkityksellisten tuotteiden saatavuus ja hinnat. Kytkykauppa on omiaan vaikeuttamaan eri luotonantajien luottotuotteiden vertailtavuutta ja siten heikentämään kuluttajan mahdollisuuksia kilpailuttaa eri luotonantajia. Esityksessä ehdotetaan sen johdosta, ettei mitään direktiivin sallimista optioista käytetä kansallisesti hyväksi.  

Direktiivi edellyttää kytkykaupan kieltämistä direktiivin soveltamisalaan kuuluvien luottosopimusten osalta. Kuluttajansuojasyistä pidetään kuitenkin perusteltuna, että kytkykaupan kielto koskee kaikkia kuluttajaluottosopimuksia eikä ainoastaan direktiivin soveltamisalaan kuuluvia asunto-omaisuuteen liittyviä kuluttajaluottosopimuksia. Lisäksi ehdotetun kytkykaupan kielto olisi direktiiviä laajempi siten, että se ei koskisi yksinomaan rahoitusvälineitä tai -palveluita. Luottolaitos ei saa nykyisinkään edellä mainitun luottolaitostoiminnasta annetun lain säännöksen nojalla asettaa luoton saamisen edellytykseksi sitä, että lainanhakija tekee esimerkiksi toimeksiantosopimuksen samaan konserniin kuuluvan kiinteistönvälitysliikkeen kanssa. Ei ole ilmennyt syitä, joiden johdosta kuluttajansuojan tasoa tulisi tältä osin alentaa.  

Luoton myöntäminen 

Kuluttajan luottokelpoisuuden arviointia koskevat säännökset lisättiin lakiin vuonna 2010 kulutusluottolainsäädännön kokonaisuudistuksen yhteydessä (laki 746/2010; HE 24/2010 vp, s. 15), ja luotonantajan velvollisuuksia tiukennettiin vielä vuonna 2013 (laki 207/2013; HE 78/2012 vp, s. 11). Ehdotetut asunto-omaisuuteen liittyviä kuluttajaluottoja koskevat uudet säännökset vastaavat periaatteiltaan voimassa olevia säännöksiä, mutta ovat täsmällisempiä sisältäen yleisiä menettelytapavelvoitteita, joita luotonantajien tulee noudattaa. Ehdotetut säännökset perustuvat direktiiviin, ja ne ovat omiaan edesauttamaan sitä, että luotonantaja huolehtii asianmukaisesti kuluttajien luottokelpoisuuden arvioinnista ja että myös valvontaviranomaisilla on entistä paremmat mahdollisuudet valvoa säännösten noudattamista.  

Uutta on, että luotonantajalla olisi lain mukaan velvollisuus määritellä tiedot, joiden perusteella kuluttajien luottokelpoisuus arvioidaan, sekä luottokelpoisuuden arvioinnissa käytettävät menettelytavat. Luottolaitosten osalta vastaava velvollisuus sisältyy jo nykyisin Finanssivalvonnan luottoriskien hallintaa koskevaan standardiin (standardi 4.4a, 5.4.1 jakso, 19 kohta). Laissa ehdotetaan säädettäväksi myös luotonantajan velvollisuudesta kussakin yksittäistapauksessa tallentaa määräajaksi tiedot toimista, jotka on tehty kuluttajan luottokelpoisuuden arvioimiseksi. Lisäksi esitykseen sisältyy säännöksiä, joilla varmistetaan se, että kuluttaja saa tietää, mitä tietoja ja milloin hänen tulee toimittaa luotonantajalle luottokelpoisuuden arviointia varten ja mitä seuraamuksia tietojen toimittamatta jättämisellä voi olla.  

Luottokelpoisuuden arvioinnin lisäksi ehdotetaan uusia säännöksiä asunto-omaisuuteen liittyvien kuluttajaluottojen vakuuksista ja niiden arvioinnista. Säännökset perustuvat direktiiviin, ja niillä pyritään varmistamaan se, että arviointi on asianmukaista. Samalla on kuitenkin pyritty välttämään se, että uusista säännöksistä aiheutuisi merkittäviä lisäkustannuksia luotonantajille, koska vakuuksien arvioinnissa ei ole esiintynyt Suomessa ongelmia.  

Luotonantajan olisi ensinnäkin esityksen mukaan määriteltävä vakuusmuodot, jotka se hyväksyy luottosopimuksen vakuudeksi. Luottolaitosten on jo nykyisin määriteltävä vakuusmuodot Finanssivalvonnan edellä mainitun standardin mukaan (5.4.2 jakso, 28 kohta). Lisäksi luotonantajan olisi ehdotuksen mukaan varmistettava, että jos vakuudeksi annetaan asuinhuoneiston hallintaan oikeuttavat yhteisöosuudet, asuinkiinteistö tai kiinteistöä koskeva käyttöoikeus, arvioinnin suorittaa riittävän ammattitaitoinen henkilö ja että arvioinnissa käytetään luotettavia arviointistandardeja. Jos arvioinnin suorittaa luotonantajan henkilöstöön kuuluva, henkilön tulisi olla riittävän riippumaton luotonmyöntöprosessista. Esitykseen sisältyy myös säännöksiä luotonantajan velvollisuudesta säilyttää tehty arviointi määräajan. 

Esityksessä ehdotetaan myös uusia nimenomaisia säännöksiä luoton myöntämisestä. Voimassa olevan lain mukaan luoton myöntämisen asianmukaisuutta voidaan arvioida vain hyvää luotonantotapaa koskevan yleislausekkeen nojalla. Uusien säännösten mukaan luotonantajan olisi määriteltävä ne periaatteet, joiden mukaisesti luotonantaja myöntää luottoja. Tämä velvollisuus luottolaitoksilla on jo nykyisin Finanssivalvonnan edellä mainitun standardin nojalla (5.4 jakso, 17 kohta). Lisäksi ehdotetaan säädettäväksi, että luotonantaja saisi myöntää luoton kuluttajalle vain, jos kuluttajan luottokelpoisuuden arviointi osoittaa, että luottosopimuksesta johtuvat velvoitteet todennäköisesti täytetään luottosopimuksessa edellytetyllä tavalla. Uudet säännökset ovat omiaan vähentämään sitä, että luottoja myönnetään kuluttajille, joilla ei ole taloudellisia edellytyksiä selvitä luoton hoitamisesta.  

Ehdotetut luoton myöntämistä koskevat säännökset perustuvat direktiiviin, mutta niitä ehdotetaan sovellettavaksi kaikkiin kuluttajaluottoihin, eikä ainoastaan direktiivin soveltamisalaan kuuluviin luottoihin. Tätä pidetään perusteltuna ottaen huomioon edellä 1 jaksossa selvitetyt seikat, erityisesti kuluttajille luotoista aiheutuneiden maksuhäiriömerkintöjen korkea määrä ja kotitalouksien korkeahko velkaantumisaste ja siitä aiheutuvat riskit. Olennaista ei ole ehkäistä vain tietyntyyppisten kuluttajaluottojen myöntämistä ylivelkaantumisriskissä oleville kuluttajille, vaan sääntelyn tulee koskea kaikkien kuluttajaluottojen myöntämistä.  

Kuluttajan oikeus peruuttaa luottosopimus ja maksaa luotto ennenaikaisesti 

Jäsenvaltioiden on direktiivin mukaan määriteltävä vähintään seitsemän päivän pituinen määräaika, jotta kuluttajalla olisi riittävästi aikaa verrata tarjouksia, arvioida niiden vaikutuksia ja tehdä tietoihin perustuva päätös. Määräajan on oltava joko luottosopimuksen tekemistä edeltävä harkinta-aika tai aika, jona luottosopimus voidaan peruuttaa sen tekemisen jälkeen, taikka näiden yhdistelmä. Esityksessä ehdotetaan, että direktiivin mukaisista vaihtoehdoista valitaan peruuttamisoikeus, sillä kuluttajalla on jo nykyisin tällainen oikeus kaikkien luottojen etä- ja kotimyynnissä. Harkinta-aika ei nykyisin ole käytössä minkään kuluttajasopimuksen yhteydessä eikä syytä sen käyttöönottoon asunto-omaisuuteen liittyvien kuluttajaluottojen osaltakaan ole nähty olevan. Peruuttamisajan pituus olisi 14 päivää kuten muissakin kuluttajasopimuksissa.  

Kuluttajan ennenaikaista takaisinmaksuoikeutta koskevat säännökset vastaavat sisällöllisesti voimassa olevaa lakia. Ainoa sisällöllinen muutos liittyy niihin tapauksiin, joissa luotonantajalla on oikeus saada korvaus kuluttajalta tämän maksaessa ennenaikaisesti asunto-omaisuuteen liittyvän kuluttajaluoton tai sen osan. Luotonantajan olisi tällöin kuluttajan takaisinmaksupyynnön vastaanotettuaan toimitettava tälle pysyvällä tavalla laskelma, josta käy ilmi vaaditun korvauksen määrä ja sen laskennassa käytetyt perusteet ja oletukset. Ehdotettu säännös perustuu direktiiviin. Säännöksen ottamista lakiin puoltaa myös se, että kuluttajilla on käytännössä asuntoluottojen osalta ollut vaikeuksia arvioida, onko luotonantajan vaatima korvaus laskettu asianmukaisesti. Muilta osin ei ole pidetty perusteltuna tehdä muutoksia voimassa oleviin säännöksiin esimerkiksi asettamalla direktiivin 25 artiklan 2 tai 5 kohdan mukaisesti edellytyksiä ennenaikaisen takaisinmaksuoikeuden käyttämiselle. 

Neuvontapalvelut 

Esityksessä ehdotetaan uusia säännöksiä neuvontapalveluista. Direktiivi antaa jäsenvaltioille mahdollisuuden valita kahden sääntelymallin välillä. Edellä 2.2 jaksossa mainitun mukaisesti jäsenvaltio voi joko kieltää ilmausten ”neuvonta” ja ”neuvoja” tai muiden samankaltaisten ilmausten käytön, jos kuluttajille tarjottuja neuvontapalveluja tarjoavat luotonantajat tai luotonantajien asiamiehinä toimivat luotonvälittäjät. Jos jäsenvaltio ei säädä tällaista kieltoa, sen on asetettava vähintään direktiivissä säädetyt edellytykset ilmausten ”riippumaton neuvonta” tai ”riippumaton neuvoja” käytölle. Esityksessä ehdotetaan ensiksi mainitun sääntelymallin valitsemista: oikeus tarjota neuvontapalveluja on vain luotonvälittäjillä edellyttäen, että nämä eivät ole luotonantajan asiamiehiä. Neuvontapalveluja eivät saisi tarjota luotonantajat tai näiden lähipiiriin kuuluvat yhteisöt. Neuvontapalvelujen tarjoajalla ei myöskään olisi oikeutta ottaa vastaan palkkiota muulta kuin kuluttajalta. Tärkeänä pidetään, että kuluttajalle neuvontapalveluna tarjottava palvelu on aina sekä organisatorisesti että toiminnallisesti riippumatonta. 

Luotonantajan ja tämän asiamiehenä toimivan luotonvälittäjän velvoitteisiin lain nojalla kuuluu antaa kattavat tiedot tarjolla olevista luotoista sen jälkeen, kun kuluttaja on antanut tietoja luottoon liittyvistä odotuksistaan ja tarpeistaan sekä taloudellisista olosuhteistaan. Lisäksi näiden toimijoiden on annettava riittävät ja selkeät selvitykset sen arvioimiseksi, soveltuuko tarjottu luotto ja mahdollisesti tarjotut lisäpalvelut kuluttajan tarpeisiin ja hänen taloudelliseen tilanteeseensa. Ottaen huomioon näiden lakisääteisten velvollisuuksien laajuus luotonantajan ja luotonantajan asiamiehen neuvontapalvelun mahdollinen lisäarvo jää suppeaksi. Erityisesti näin on, koska ei ole oletettavaa, että luotonantaja tai tämän asiamies ottaisi neuvontapalvelussa huomioon myös kilpailijoidensa luottotuotteita ja suosittelisi kuluttajalle toisen luotonantajan luoton valitsemista. Ylipäätään voidaan esittää epäilyjä siitä, vaikuttaisiko luotonantajan ja tämän asiamiehen antamiin suosituksiin viime kädessä halu saada uusia asiakkaita ja ohjata kuluttaja valitsemaan luotonantajan näkökulmasta edullinen luotto. Ensiksi mainitun sääntelyvaihtoehdon valitsemista puoltaa myös se, että eri toimijoiden roolit pysyisivät selvinä: luotonantaja ja tämän asiamies on aina viime kädessä tiettyjen luottotuotteiden myyjä eikä objektiivinen neuvonantaja. Omien tuotteiden myynnin ja neuvonnan välisen rajan hämärtyminen on käytännössä aiheuttanut ongelmia sijoitustuotteiden tarjonnassa.  

Esityksessä ehdotetaan säännöksiä myös neuvontapalvelun tarjoajan velvollisuudesta antaa tietoja ennen neuvontapalvelun tarjoamista, neuvontapalvelun suorittamisesta ja edellytyksistä, joiden täyttyessä kuluttajalta voidaan periä maksu neuvontapalvelusta. Ehdotetut säännökset pohjautuvat direktiivin säännöksiin, minkä lisäksi maksun perimisen osalta on otettu huomioon voimassa olevat kuluttajansuojalain 7 luvun säännökset maksun perimisestä luotonvälityksestä. 

Valuuttaluotot 

Esityksessä ehdotetaan uusia säännöksiä valuuttaluotoista. Valuuttaluotolla tarkoitetaan asunto-omaisuuteen liittyvää kuluttajaluottoa, joka myönnetään muussa kuin sen EU- tai ETA-valtion valuutassa, jossa kuluttaja asuu, taikka muussa kuin sen valtion valuutassa, jossa kuluttaja saa tulonsa tai jossa hänellä on varoja, joista luotto on tarkoitus maksaa takaisin. Direktiivin mukaisia valuuttaluottoja voivat siis olla sellaisetkin luotot, jotka myönnetään euroissa.  

Valuuttaluottoja koskevilla erityissäännöksillä on tarkoitus suojata kuluttajaa valuuttakurssien muutosten epäedullisilta vaikutuksilta. Jäsenvaltio voi toteuttaa suojan antamalla kuluttajalle oikeuden saada luotto muunnetuksi vaihtoehtoisen valuutan määräiseksi tai huolehtimalla siitä, että kuluttajalla on käytössään muu järjestely valuuttakurssiriskin rajoittamiseksi. Direktiivin johdanto-osan 30 kappaleen mukaan tällainen muu järjestely voi olla esimerkiksi kuluttajalle annettava varoitus. Mahdollista on myös, että luotonantajan annetaan valita, mikä suojautumistapa kuluttajalle annetaan. Perusteltuna pidetään, että muissa kuin euroissa myönnetyissä valuuttaluotoissa kuluttajalla olisi lain nojalla oikeus saada milloin tahansa luotto muunnetuksi euromääräiseksi. Sitä vastoin euroissa myönnetyissä valuuttaluotoissa ei ehdoteta annettavaksi kuluttajalle tällaista oikeutta, sillä luotonantajan kannalta ei voida pitää kohtuullisena, että tämä voisi joutua ilman omaa päätöstään ylläpitämään luottosopimusta muussa valuutassa kuin eurossa. Kaikissa valuuttaluotoissa luotonantajan olisi hyvissä ajoin ennen luottosopimuksen tekemistä varoitettava kuluttajaa tarjottuun luottoon liittyvästä valuuttakurssiriskistä sekä annettava tietoa myös muista mahdollisuuksista rajoittaa valuuttakurssiriskiä.  

Edellä mainittujen suojasäännösten lisäksi esityksessä ehdotetaan luotonantajalle velvollisuutta luottosopimuksen kuluessa ilmoittaa kuluttajalle, jos jäljellä oleva luottomäärä tai maksuerien suuruus poikkeaa tietyllä määrällä verrattuna siihen, mitä se olisi, jos sovellettaisiin luottosopimuksen tekohetkellä voimassa ollutta valuutanvaihtokurssia. Viimeksi mainitut säännökset perustuvat direktiivin säännöksiin. Esityksessä ei ehdoteta käytettäväksi direktiivin 23 artiklan 5 kohdan mukaista mahdollisuutta säätää laajemmin valuuttaluotoista, sillä Suomessa ei ole esiintynyt ongelmia näihin luottoihin liittyen. 

Luotonvälittäjät 

Esityksessä ehdotetaan säädettäväksi laki asunto-omaisuuteen liittyvien kuluttajaluottojen välittäjistä. Laissa asetettaisiin rekisteröitymisvelvollisuus elinkeinonharjoittajille, jotka välittävät kuluttajansuojalain uuden 7 a luvun soveltamisalaan kuuluvia asunto-omaisuuteen liittyviä kuluttajaluottoja. Rekisteröitymisvelvollisuus ei koskisi luotonvälittäjinä toimivia luottolaitoksia. Direktiivin mukaan jäsenvaltio voi valita joko toimilupa- tai rekisteröintijärjestelmän. Koska Suomessa edellytetään luotonantajilta rekisteröintiä, pidetään johdonmukaisena, että myös edellä mainittuja välittäjiä koskisi rekisteröintivaatimus.  

Suomessa ei tiettävästi nykyisin toimi sellaisia asunto-omaisuuteen liittyvien kuluttajaluottojen välittäjiä, joita koskee direktiivin mukainen rekisteröitymisvelvollisuus. Tämän johdosta ei pidetä tarpeellisena käyttää direktiivin 30 artiklan mukaista jäsenvaltiolle annettua mahdollisuutta helpottaa vain yhden luotonantajan asiamiehenä toimivien välittäjien rekisteröintiä. Samoin ei pidetä tarpeellisena käyttää 31 artiklan mukaista mahdollisuutta sallia luotonvälittäjien nimetä nimettyjä edustajia.  

Rekisteröinnille asetettaisiin määrätyt, direktiivin mukaiset edellytykset. Edellytykset liittyisivät välittäjän, tai jos välittäjä on oikeushenkilö, sen johdon luotettavuuteen ja ammattitaitoon. Lisäksi rekisteröinnin edellytyksenä olisi, että välitystoimintaan osallistuvilla henkilöillä ja heidän esimiehillään on tehtävässä tarvittava riittävä ammattitaito ja että välittäjällä on edellä 2.2 jaksossa mainitun asetuksen n:o 1125/2014 mukaiset vaatimukset täyttävä vastuuvakuutus tai muu vakuus toiminnasta aiheutuvien vahinkojen korvaamiseksi. Viimeksi mainitulta osin rekisteröinnin vaatimukset ovat tiukemmat kuin luotonantajia koskevat rekisteröintivaatimukset. On tarpeen myös mainita, että rekisteröintimenettelyyn ei esityksen mukaan liity tarkoituksenmukaisuusharkintaa, vaan rekisteriviranomaisen olisi merkittävä jokainen rekisteröinnin edellytykset täyttävä elinkeinonharjoittaja uuden lain mukaiseen rekisteriin.  

Ehdotuksen mukaan asunto-omaisuuteen liittyvien kuluttajaluottojen välittäjät eivät saisi vastaanottaa asiakasvaroja. Direktiivi ei sisällä asiakasvaroihin liittyviä säännöksiä, mutta kieltoa pidetään kansallisesti tarpeellisena kuluttajien taloudellisen turvallisuuden varmistamiseksi. On myös epätodennäköistä, että luotonvälittäjillä olisi toimintansa harjoittamisen kannalta välttämätön tarve pitää esimerkiksi kuluttajalle kuuluvia asuntoluottosopimuksen nojalla myönnettyjä lainavaroja hallussaan. 

Direktiiviin perustuvat sopimusoikeudelliset säännökset, jotka koskevat luotonvälittäjän tiedonantovelvoitteita, tämän oikeutta periä maksu kuluttajalta luotonvälityksestä sekä luotonvälityspalvelun suorittamista, pidetään tarkoituksenmukaisena sisällyttää kuluttajansuojalain uuteen 7 a lukuun.  

Luotonantajia koskevat ammattitaitovaatimukset 

Esityksessä ehdotetaan uusia säännöksiä asunto-omaisuuteen liittyvään luotonantoon osallistuvien henkilöiden sekä heidän lähiesimiestensä ammattitaitovaatimuksista. Ammattitaitovaatimukset koskisivat niin luotonantajan henkilöstöä kuin muitakin, jotka toimivat luotonantajan lukuun luotonantoon liittyvissä tehtävissä. Luotonantajina toimivien luottolaitosten henkilöstölle ei ole nykyisin asetettu laissa ammattitaitovaatimuksia. Finanssivalvonnan määräyksissä ja ohjeissa kuitenkin edellytetään luottolaitoksen varmistavan, että sekä sen palveluksessa työskentelevien että uusien rekrytoitavien henkilöiden ammattitaito on riittävä suhteutettuna työtehtäviin sekä luottolaitoksen kokoon, toiminnan laajuuteen ja luonteeseen. Luottolaitoksen on myös järjestettävä menettelytavat, joilla varmistetaan, että henkilöstö täyttää jatkuvasti ammattitaidolle asetetut vaatimukset (määräykset ja ohjeet 8/2014, Operatiivisen riskin hallinta rahoitussektorin valvottavissa, 5.3 jakso, 17 ja 18 kohta). 

Edellytetyn ammattitaidon olisi vastattava vähintään asuntoluottodirektiivin III liitteessä säädettyjä vaatimuksia. Tarkoituksena on, että ammattitaitovaatimuksista säädettäisiin tarkemmin valtioneuvoston asetuksella. 

Edellä tarkoitettujen yleisten ammattitaitovaatimusten lisäksi esitykseen sisältyy erityissäännöksiä asunto-omaisuuden arvioitsijoilta edellytettävästä ammattitaidosta.  

Toimivaltaiset viranomaiset 

Asunto-omaisuuteen liittyviä kuluttajaluottoja koskevien kuluttajansuojalain 7 a luvun säännösten noudattamista valvoisivat samat viranomaiset kuin muitakin kuluttajaluottoja koskevia säännöksiä. Siltä osin kuin säännökset koskevat luotonvälittäjiä esityksessä täsmennettäisiin direktiivin edellyttämällä tavalla näiden viranomaisten toimivaltuudet rajat ylittävässä palvelun tarjonnassa.  

Asunto-omaisuuteen liittyvien kuluttajaluottojen välittäjistä ehdotetun uuden lain mukaisena rekisteri- ja valvontaviranomaisena toimisi Finanssivalvonta. Kyseisen lain soveltamisalaan kuuluvia luottoja myöntävät lähinnä luottolaitokset, jotka kuuluvat Finanssivalvonnan valvottaviin. On tarkoituksenmukaista sen johdosta, että myös tällaisia luottoja välittävät elinkeinonharjoittajat tulisivat Finanssivalvonnan valvonnan piiriin.  

5.3  Muut ehdotukset

Vertaislainatoiminta 

Esityksessä ehdotetaan kahdenlaisia uudistuksia vertaislainatoimintaan liittyen. Vertaislainojen välittäminen edellyttäisi ensinnäkin jatkossa sitä, että välittäjänä toimiva elinkeinonharjoittaja on merkitty Etelä-Suomen aluehallintoviraston ylläpitämään luotonantaja- ja vertaislainanvälittäjärekisteriin. Vertaislainoilla tarkoitetaan esityksessä sellaisia luottoja, jotka joku muu kuin kuluttajansuojalain 7 luvussa tarkoitettu luotonantaja myöntää kuluttajalle. Tällaisten luottojen myöntäjiä ei koske eräiden luotonantajien rekisteröinnistä annetun lain mukainen rekisteröitymisvelvollisuus, eikä tällaisten luottojen välittäminen kuulu myöskään ehdotetun joukkorahoituslain (HE 46/2016 vp) soveltamisalaan. 

Vertaislainanvälitystä voidaan harjoittaa eri tavoin, ja koska vertaislainamarkkinat ovat vasta kehittymässä, ei ole mahdollista yksityiskohtaisesti kuvata, miten toimintaa tyypillisesti harjoitetaan. Kuten nykyisin, vertaislainanvälitykseksi nimitetty toiminta voi joissakin tapauksissa olla tosiasiassa kuluttajaluoton myöntämistä, jolloin elinkeinonharjoittajan on noudatettava luotonantajia koskevia velvoitteita. Mahdollista on myös se, että vertaislainanvälittäjien toiminnassa on kyse vertaislainanvälityksen ohella maksupalvelujen tarjoamisesta. Päällekkäisten rekisteröitymis- tai muiden vastaavien vaatimusten välttämiseksi ja samalla elinkeinonharjoittajille aiheutuvan hallinnollisen taakan minimoimiseksi elinkeinonharjoittajan ei ole tarpeen rekisteröityä erikseen vertaislainanvälittäjäksi Etelä-Suomen aluehallintoviraston ylläpitämään luotonantaja- ja vertaislainanvälittäjärekisteriin, jos toiminta kuuluu jo muun elinkeino-oikeudellisen sääntelyn piiriin. Nyt ehdotettavalla lainsäädännöllä estettäisiin kuitenkin se, että vertaislainatoiminnan harjoittajat jäisivät kokonaan elinkeino-oikeudellisen sääntelyn ulkopuolelle. 

Rekisteröinnin edellytykset olisivat samat kuin luotonantajien rekisteröintiä koskevat edellytykset. Rekisteröintivaatimus on omiaan edesauttamaan sitä, että välittäjinä toimivat elinkeinonharjoittajat ovat luotettavia ja ammattitaitoisia ja että kuluttajaviranomaiset ja muut luottotoimintaa valvovat viranomaiset saavat vaivatta tiedon Suomen markkinoilla toimivista välittäjistä ja heidän yhteystiedoistaan.  

Vertaislainatoimintaan liittyvän uudistuksen johdosta on tarpeen tarkistaa valtaosaa eräiden luotonantajien rekisteröinnistä annetun lain säännöksistä. Tämän johdosta pidetään teknisesti tarkoituksenmukaisena, että voimassa oleva laki kumotaan ja säädetään kokonaan uusi laki. Luotonantajien osalta lakiin ehdotetaan muutoksia edellä selvitettyjen luotonantajien henkilöstön ammattitaitovaatimuksiin liittyen.  

Uutta olisi niin luotonantajien kuin vertaislainanvälittäjien osalta, että jos toimija aikoo vastaanottaa asiakasvaroja, tähän tarvittaisiin rekisteriviranomaisen hyväksyntä. Luotonantajien osalta vaatimus koskisi käytännössä vain sellaisia toimijoita, jotka harjoittavat myös vertaislainanvälitystä. Toisin kuin asunto-omaisuuteen liittyvien kuluttajaluottojen välittäjille vertaislainanvälittäjille ei ehdotettaisi kieltoa ottaa vastaan asiakasvaroja. Useissa markkinoilla nykyisin toimivissa yrityksissä asiakkaiden suoritusten välittäminen luottosuhteen toiselle osapuolelle on olennainen osa palvelukonseptia, ja asiakasvarojen vastaanottamiskielto voisi sen vuoksi heikentää näiden yritysten toimintaedellytyksiä. 

Eräiden luotonantajien ja luotonvälittäjien rekisteröinnistä ehdotetun lain mukaisena rekisteri- ja valvontaviranomaisena toimisi Etelä-Suomen aluehallintovirasto, joka toimii jo nykyisin eräiden luotonantajien rekisteröinnistä annetun lain mukaisena rekisteri- ja valvontaviranomaisena. Esitystä valmisteltaessa on harkittu vaihtoehtona sitä, että myös tämän lain mukaisena toimivaltaisena viranomaisena toimisi Finanssivalvonta. Tehtävän siirtämistä Finanssivalvonnalle puoltaisi se, että tällöin kuluttajaluottoihin liittyvien säännösten valvontatehtävissä toimisi vain kaksi viranomaista kolmen viranomaisen sijaan, mikä olisi omiaan lisäämään hallinnollista tehokkuutta. Tätä ratkaisua puoltaisi myös se, että Finanssivalvonnan ehdotetaan toimivan joukkorahoituksesta annettavan lain mukaisena rekisteri- ja valvontaviranomaisena. Lakiehdotus koskee sijoitusmuotoisen joukkorahoituksen ohella lainamuotoista joukkorahoitusta silloin, kun lainanottajana on muu kuin kuluttaja. Toisaalta voidaan todeta, että nykyisen mallin toimivuudessa ei ole ilmennyt merkittäviä ongelmia. Ainakaan tässä vaiheessa, kun joukkorahoitus- ja vertaislainamarkkinat ovat vasta kehittymässä, eivätkä myöskään EU:n mahdolliset lainsäädäntötoimet ole tiedossa, ei pidetä perusteltuna esittää toimivaltaisen viranomaisen muuttamista. 

Rekisteröintivaatimuksen lisäksi ehdotetaan muutettavaksi kuluttajaluottoja koskevaa kuluttajansuojalain 7 lukua siten, että kuluttajaluottoihin rinnastettaisiin edellä tarkoitetut kuluttajille myönnettävät vertaislainat. Myös Ruotsissa mainitut luotot kuuluvat kuluttajaluottolain soveltamisalaan. Esityksen mukaan vertaislainoja välittävän elinkeinonharjoittajan olisi huolehdittava siitä, että luvun säännöksiä noudatetaan luottosuhteessa. Välittäjän olisi siten huolehdittava siitä, että esimerkiksi luvun mukaiset ennakkotiedot luotosta annetaan luottoa hakevalle henkilölle ja että tämän luottokelpoisuus tarkistetaan. Samoin luotonvälittäjän olisi huolehdittava siitä, että luotosta ei peritä korkoa tai muita maksuja, jotka ylittävät luvun 17 a §:ssä säädetyn korkokaton.  

Esityksessä ei ehdoteta sääntelyä, joka koskisi luoton myöntäjän ja vertaislainanvälittäjän välistä suhdetta. Jos luoton myöntäjä on yksityishenkilö, sovellettavaksi voivat tulla kuluttajansuojalain 2 luvun säännökset markkinoinnista ja menettelystä asiakassuhteessa sekä 3 luvun säännökset sopimusehtojen sääntelystä. 

Koron ja maksujen muutokset 

Esityksessä ehdotetaan selkeytettäväksi kuluttajaluottosopimusten korkoehtojen muuttamista koskevia kuluttajansuojalain 7 luvun säännöksiä, joita on tarkoitus myös jatkossa soveltaa niin asunto-omaisuuteen liittyviin kuluttajaluottoihin kuin muihin kuluttajaluottoihin. Erityisesti asuntoluottojen tarjoajina toimivat luottolaitokset ovat katsoneet, että on epäselvää, voidaanko kuluttajaluottosopimusten korkoehtojen muuttamisesta sopia luottosopimuksessa muillakin perusteilla kuin viitekoron muuttumisen johdosta ja, jos voidaan, millä perusteilla sovittua marginaalia tai kokonaiskoron määrää saisi muuttaa. Nämä luotonantajat ovat esittäneet, että marginaalin tai kokonaiskoron korottamisen tulisi olla mahdollista erityisesti tilanteissa, joissa luotonantoon liittyvät kustannukset luottosuhteen voimassaoloaikana kasvavat tai luotonantajan luotonannosta saamat tuotot vähentyvät lainsäädännön tai viranomaispäätöksen aiheuttaman muutoksen vuoksi. Lisäksi on ehdotettu, että korottaminen tulisi olla mahdollista luotonantajan varainhankinnan muutosten perusteella silloin, kun kustannusten muutos johtuu luotonantajasta riippumattomista syistä.  

Perusteltuna ei pidetä, että luotonantajalla olisi oikeus muuttaa lainan marginaalia tai luotosta perittävää kokonaiskorkoa edellä mainituilla perusteilla. Luotonantajien tehtävänä on elinkeinonharjoittajana erityisesti varautua riskienhallinnassaan huolellisesti lainsäädännön muutoksiin ja viranomaispäätöksiin. Ei voida odottaa, että kuluttajalla olisi tietoa tällaisista seikoista tai kykyä arvioida tällaisten muutosten todennäköisyyttä. Riskin tällaisista muutoksista tulee kuulua luotonantajalle siitä huolimatta, että kaikkiin muutoksiin luotonantajankaan ei ole mahdollista varautua. Muutoksista mahdollisesti aiheutuvat niin edut kuin haitat ovat osa luotonantajien liiketoimintariskiä, eikä tätä riskiä tule siirtää kuluttajille. 

Luotonantajien varainhankinnan osalta on huomattava, että sen rakenne vaihtelee eri luotonantajilla ja on riippuvainen luotonantajan omista päätöksistä ja strategiasta. Luotonantajien varainhankinta on monimuotoinen kokonaisuus, jossa korkoriskin hallinnointi eri tavoin kuuluu liiketoiminnan ydinsisältöön. Perusteen käytännön soveltamiseen liittyisi monenlaisia vaikeuksia. Olisi muun muassa vaikea todentaa, mitkä kustannuksen muutokset perustuvat luotonantajasta riippumattomiin syihin ja mitkä eivät, ja onko muutokset kohdistettu tasapuolisesti ja syrjimättömästi luotonantajan eri asiakkaisiin.  

Lainan marginaalin tai luotosta perittävän kokonaiskoron muuttamisoikeutta harkittaessa on otettava huomioon myös se, että kuluttajat usein kilpailuttavat asuntoluoton ennen ottamista. Kilpailutuksen tarkoitus vaarantuisi, jos luotonantaja voisi yksipuolisesti jälkikäteen muuttaa marginaalia tai kokonaiskorkoa edellytyksillä, joiden olemassaoloa ulkopuolisen on vaikeaa, jollei mahdotonta, todentaa. 

Ylipäätään ei ole esitetty painavia perusteita, joiden johdosta luotonantajalla tulisi olla oikeus luottosuhteen aikana korottaa luoton marginaalia tai luotosta perittävää kokonaiskorkoa. Pelkästään se seikka, että muiden Pohjoismaiden lainsäädäntö poikkeaa Suomen lainsäädännöstä tässä kysymyksessä, ei ole perusteltu syy vaikuttaa kuluttajavelallisen asemaan näin merkittävästi. On myös huomattava, että kunkin Pohjoismaan asuntoluottomarkkinoilla on omat erityispiirteensä. Erona voidaan esimerkiksi Suomen ja Ruotsin välillä mainita Suomen tuntuvasti lyhyemmät asuntoluottojen takaisinmaksuajat.  

Perusteluna sääntelyn muuttamiselle on vedottu myös muita tyypillisesti pitkäkestoisia sopimuksia, kuten vakuutussopimuksia, koskevaan lainsäädäntöön. Asuntoluottosopimukset poikkeavat kuitenkin luonteeltaan jatkuvasti toimitettavaa hyödykettä koskevista kestosopimuksista siinä, että asuntoluottosopimuksessa luotonantajan suoritus tapahtuu kertasuorituksena, eikä kuluttaja voi sen johdosta samalla tavalla irtaantua hinnanmuutostilanteessa luottosuhteesta kuin muuta kulutushyödykettä koskevasta sopimuksesta. 

Edellä mainittujen seikkojen johdosta ehdotetaan koron muuttamista koskevien säännösten selkeyttämistä siten, että niistä käy nimenomaisesti ilmi, että luoton korko voi luottosuhteen kuluessa muuttua vain viitekoron muutosten mukaisesti. Perusteltuna kuitenkin pidetään, että asuntoluotoissa luotonantaja saisi periä kuluttajalta luoton marginaalin silloinkin, kun viitekorko on negatiivinen, jos tästä on luottosopimuksessa sovittu. Syitä ratkaisuun selvitetään 7 jaksossa. 

Lisäksi ehdotetaan täsmennettäväksi säännöksiä, jotka koskevat luottosopimuksen johdosta perittävien maksujen muuttamista luottosuhteen kuluessa. Esityksen mukaan maksun korotus ei saisi olla suurempi kuin luotonantajalle aiheutunut tosiasiallinen lisäys kustannuksissa, joiden johdosta maksua luottosopimuksen mukaan peritään. 

5.4  Direktiivin säännökset, jotka eivät edellytä muutoksia lainsäädäntöön

Direktiivin 5 artiklan 2 kohdassa säädetään toimivaltaisten viranomaisten sekä näiden palveluksessa olevien tai olleiden taikka näiden lukuun toimivien henkilöiden salassapitovelvollisuudesta. Kohta ei edellytä erityisiä täytäntöönpanotoimia, sillä viranomaisten toiminnan julkisuudesta annetun lain (621/1999) 22—24, 29 ja 30 § sisältää direktiivin vaatimukset täyttävät säännökset.  

Jäsenvaltioiden on direktiivin 6 artiklan 1 kohdan mukaan edistettävä toimenpiteitä, joilla tuetaan kuluttajille annettavaa valistusta vastuullisesta lainanotosta ja lainanhoidosta erityisesti kiinnitysluottosopimusten yhteydessä. Kuluttajien, varsinkin kiinnitysluottoa ensimmäistä kertaa ottavien henkilöiden, ohjaamiseksi tarvitaan kohdan mukaan selkeää yleisluontoista tietoa luotonantoprosessista. Kohdan täytäntöön panemiseksi ei tarvita lainsäädäntötoimia. Suomessa on tarjolla tällaista aineistoa, esimerkiksi Kilpailu- ja kuluttajaviraston ja Finanssivalvonnan sivustolta liittyen asunnon ostoon, asuntolainoihin ja yleisemmin luotonottoon. Lisäksi työ- ja elinkeinoministeriön (jäljempänä TEM) yhteydessä toimiva taloudenhallinnan neuvottelukunta pyrkii toimenpiteillään edistämään sitä, että talouslukutaidosta tulisi osa jokaisen kansalaistaitoja.  

Direktiivin 7 artiklan 5 kohdan mukaan jäsenvaltio voi kieltää luotonantajaa tai luotonvälittäjää perimästä kuluttajalta maksuja ennen luottosopimuksen tekemistä tai asettaa maksujen perimistä koskevia rajoituksia. Suomessa ei ole tiettävästi esiintynyt ongelmia liittyen ennakkomaksujen perimiseen luottosopimuksen tekemisen yhteydessä. Kohdan mukaista optiota ei pidetä sen vuoksi tarpeellisena käyttää.  

Jäsenvaltioiden on direktiivin 10 artiklan mukaan edellytettävä, että luottosopimuksia koskeva mainonta- ja markkinointiviestintä on asiallista ja selkeää ja että se ei saa olla harhaanjohtavaa. Erityisesti on kiellettävä sellaisten sanamuotojen käyttö, jotka voivat herättää kuluttajassa vääriä odotuksia luoton saatavuudesta ja kustannuksista. Säännökset kuluttajiin kohdistuvasta mainonnasta ja markkinoinnista sisältyvät kuluttajansuojalain 2 lukuun, ja ne perustuvat sopimattomia kaupallisia menettelyjä koskevan Euroopan parlamentin ja neuvoston direktiiviin 2005/29/EY. Säännökset koskevat myös rahoituspalveluja, kuten asuntoluottodirektiivin soveltamisalaan kuuluvia kuluttajaluottoja. Mainontaa ja muuta markkinointia on pidettävä 2 luvun 3 §:n 1 momentissa tarkoitetulla tavalla sopimattomana, jos se ei ole asiallista ja selkeää. Samoin sopimattomana pidetään saman pykälän 2 momentin mukaan totuudenvastaisten tai harhaanjohtavien tietojen antamista markkinoinnissa. Totuudenvastaiset tai harhaanjohtavat tiedot voivat koskea luvun 6 §:n 2 momentin 1 ja 3 kohdan mukaan kulutushyödykkeen saatavuutta tai hintaa. Edellä mainittu huomioon ottaen asuntoluottodirektiivin 10 artiklan täytäntöönpano ei edellytä lainsäädäntömuutoksia, vaan voimassa oleva lainsäädäntö täyttää jo artiklan vaatimukset.  

Jäsenvaltio voi direktiivin 11 artiklan 6 kohdan mukaan edellyttää, että mainoksiin sisällytetään luottosopimuksiin liittyviä erityisiä riskejä koskeva tiivis ja riskeihin oikeassa suhteessa oleva varoitus. Samankaltainen mahdollisuus asettaa luotonantajalle velvollisuus antaa riskivaroitus osana luotosta saatavilla pidettäviä yleisiä tietoja sisältyy direktiivin 13 artiklan 2 kohtaan sekä neuvontapalveluun liittyen 22 artiklan 5 kohtaan. Mainontaan ja yleisiin tietoihin sisältyvät riskivaroitukset, joita ei anneta ottaen huomioon kuluttajan yksilölliset olosuhteet, eivät todennäköisesti merkittävästi vaikuttaisi ylivelkaantumisvaarassa olevien kuluttajien luotonottamispäätökseen. Asuntoluotoista aiheutuu kuluttajille maksuhäiriöitä vähemmän kuin muista kuluttajaluotoista, minkä vuoksi ei myöskään pidetä perusteltuna säätää velvollisuutta antaa riskivaroitusta tällaisiin luottoihin liittyen. Direktiivin 11 artiklan 6 kohdan ja 13 artiklan 2 kohdan mukaista optiota ei ehdoteta edellä mainittujen syiden vuoksi käytettäväksi Suomessa.  

Huolellisesti ja ammattitaitoisesti toimivalla neuvontapalvelun tarjoajalla voidaan katsoa olevan velvollisuus jo suositusta tehdessään ottaa huomioon myös arvioitavista luottosopimuksista kuluttajalle aiheutuvat riskit. Tämän johdosta ei pidetä tarpeellisena panna 22 artiklan 5 kohtaa erikseen täytäntöön.  

Direktiivin 12 artiklan 4 kohdan mukaan jäsenvaltio voi sallia luotonantajien edellyttävän, että kuluttajalla on luottosopimukseen liittyvä asiaankuuluva vakuutussopimus. Tällöin jäsenvaltion on varmistettava, että luotonantaja hyväksyy muun vakuutuksenantajan kuin luotonantajan ensisijaisen yhteistyötahon tarjoaman vakuutussopimuksen, jos kyseisen vakuutuksen sisältämä vakuutusturva on tasoltaan vastaava kuin luotonantajan ehdottamassa vakuutuksessa. Kohdan täytäntöön panemiseksi ei edellytetä nimenomaisia säännöksiä. Esityksessä ehdotettu kytkykaupan kielto ei estä luotonantajaa edellyttämästä, että kuluttajalla on esimerkiksi vakuutus luoton vakuudeksi annettavan omaisuuden palamisesta tai muusta tuhoutumisesta aiheutuvan vahingon korvaamiseksi, jos kuluttajan ei edellytetä tekevän vakuutussopimusta tietyn vakuutuksenantajan kanssa. Kytkykauppakiellon vastaista olisi sitä vastoin, että luottotarjouksen ehtona on, että vakuutussopimus tehdään luotonantajan kanssa samaan konserniin kuuluvan vakuutusyhtiön tai tämän kanssa yhteistoiminnassa toimivan muun vakuutusyhtiön kanssa.  

Jäsenvaltio voi direktiivin 14 artiklan 4 kohdan mukaan säätää ESIS-lomakkeen toimittamisen pakolliseksi ennen luotonantajaa sitovan tarjouksen tekemistä. Riittävänä pidetään, että kuluttaja saa ESIS-lomakkeen 14 artiklan 1 ja 3 kohdan mukaisesti hyvissä ajoin ennen luottosopimuksen tekemistä ja viimeistään luotonantajaa sitovan tarjouksen mukana. Artiklan 4 kohdan mukaista optiota ei pidetä tarpeellisena käyttää Suomessa.  

Jäsenvaltio voi lisäksi kyseisen artiklan 5 kohdan mukaan jatkaa ESIS-lomakkeen sijasta vastaavat tietovaatimukset täyttävän tietosivun käyttämistä, jos tietosivu on otettu käyttöön viimeistään 20 päivänä maaliskuuta 2014. Asuntovakuudellisiin kuluttajaluottoihin ehdotetaan edellä mainitun mukaisesti sovellettavaksi kulutusluottodirektiiviin perustuvia kuluttajansuojalain 7 luvun säännöksiä luotonantajan velvollisuudesta antaa tietoja ennen luottosopimuksen tekemistä. Näiden luottojen osalta jatketaan siten ”Vakiomuotoiset eurooppalaiset kuluttajaluottotiedot” -lomakkeen käyttöä. Asuntoluottojen osalta luotonantajalla ei ole voimassa olevien säännösten mukaan velvollisuutta käyttää mainittua lomaketta, vaan luotonantaja voi antaa tiedot muullakin valitsemallaan tavalla. Komission direktiivin täytäntöönpanosta järjestetyissä kokouksissa antaman tiedon mukaan kyseinen lomake ei myöskään täytä vastaavia tietovaatimuksia kuin ESIS-lomake. Kohdan mukaista optiota ei ole siten asuntoluottojen osalta mahdollista Suomessa käyttää.  

Direktiivin 18 artiklan 4 kohdan mukaan jäsenvaltioiden on varmistettava, että luotonantajan tehtyä luottosopimuksen kuluttajan kanssa luotonantaja ei saa jälkikäteen peruuttaa tai muuttaa luottosopimusta sillä perusteella, että luottokelpoisuuden arviointi olisi suoritettu puutteellisesti. Mainittua kohtaa ei sovelleta, jos osoitetaan, että kuluttaja on tahallaan jättänyt ilmoittamatta tai väärentänyt tietoja. Kohtaa ei ole tarpeen panna Suomessa erikseen täytäntöön, sillä sopimusoikeuden yleisten periaatteiden mukaisesti tehty sopimus sitoo eikä Suomen lainsäädäntöön sisälly erityistä säännöstä, jonka mukaan luotonantaja saisi kohdassa tarkoitetuissa tapauksissa peruuttaa tai muuttaa luottosopimusta.  

Jäsenvaltion on direktiivin 18 artiklan 5 kohdan b alakohdan mukaan varmistettava, että luotonantaja ilmoittaa henkilötietojen suojaa koskevan Euroopan parlamentin ja neuvoston direktiivin 95/46/EY 10 artiklan mukaisesti kuluttajalle etukäteen, että tietoja aiotaan hakea tietokannasta. Alakohtaa ei ole tarpeen erikseen panna täytäntöön Suomessa, sillä luotonantajalla on etukäteinen ilmoitusvelvollisuus jo nykyisin luottotietolain (527/2007) 29 §:n 2 momentin nojalla. Myöskään c alakohdan toista virkettä ei tarvitse panna erikseen täytäntöön, sillä luotonantajalla on luottotietolain mainitun momentin nojalla myös kyseisen virkkeen mukainen ilmoitusvelvollisuus.  

Direktiivin 20 artiklan 3 kohdan toisen alakohdan mukaan jäsenvaltio ei saa sallia sitä, että luotonantaja irtisanoo luottosopimuksen sillä perusteella, että kuluttajan ennen luottosopimuksen tekoa toimittamat tiedot olivat puutteellisia. Estettä ei ole kuitenkaan sille, että jäsenvaltio sallii irtisanomisen, jos osoitetaan, että kuluttaja on tahallaan jättänyt ilmoittamatta tietoja tai antanut vääriä tietoja. Mainittuja direktiivin säännöksiä ei ole tarpeen panna erikseen täytäntöön Suomessa, sillä yleisten periaatteiden mukaisesti tehdyt sopimukset sitovat osapuolia, eikä lainsäädännössä anneta luotonantajalle irtisanomisoikeutta mainitunkaltaisissa tapauksissa.  

Direktiivin 21 artiklan 1 kohdan mukaan kunkin jäsenvaltion on varmistettava, että muiden jäsenvaltioiden luotonantajilla on rajat ylittävien luottojen yhteydessä pääsy kyseisessä jäsenvaltiossa käytettyihin tietokantoihin kuluttajien luottokelpoisuuden arvioimiseksi. Pääsyn edellytysten on oltava syrjimättömiä. Artiklaa ei ole tarpeen erikseen panna täytäntöön Suomessa, sillä luottotietolain 10 §:n 1 momentin mukaan luottotietotoiminnan harjoittaja ei saa kieltäytyä antamasta yleiseen käyttöön perustuvasta luottotietorekisteristä luottotietoja sille, jonka on lain mukaan käytettävä luottotietoja rekisteröityä koskevaa päätöstä tehdessään. Koska 1. lakiehdotuksen 7 a luvun 11 §:n mukaan luotonantajalla on tällainen velvollisuus luottopäätöstä tehdessään, luotonantajalla on siis mainitun luottotietolain pykälän mukaan oikeus saada lainaa hakevan kuluttajan tiedot luottotietorekisteristä, eikä luottotietotoiminnan harjoittaja saa asettaa luovuttamisen edellytykseksi syrjiviä ehtoja. 

Jäsenvaltiolla on direktiivin 26 artiklan 1 kohdan mukaan oltava käytössä asianmukaiset järjestelmät sen varmistamiseksi, että luotonantaja tai sen puolesta toimiva taho voi panna vakuuksia koskevat vaateet täytäntöön. Tämä vaatimus täyttyy, koska pantinhaltijalla on oikeus myydä vakuutena olevat osakkeet kauppakaaren 10 luvun 2 §:n mukaisilla edellytyksillä ja vakuutena oleva kiinteistö voidaan realisoida ulosottokaaren säännösten mukaisesti. Erityisiä täytäntöönpanotoimia ei vaadi myöskään saman artiklan 2 kohta, jonka mukaan jäsenvaltioiden on toteutettava tarvittavat toimenpiteet sen varmistamiseksi, että asunto-omaisuusmarkkinoiden tilastollinen seuranta on asianmukaista. Suomessa tilastokeskus hoitaa tilastointiin liittyviä tehtäviä julkistamalla muun muassa omistusasumisen hintaindeksejä.  

Direktiivin 28 artiklan 1—3 ja 5 kohta sisältää säännöksiä maksuvaikeuksissa olevan kuluttajan suojelemiseksi. Uusia säännöksiä näiden kohtien täytäntöön panemiseksi ei tarvita, sillä Suomessa on jo nykyisin tällaisia säännöksiä kuluttajansuojalaissa, kauppakaaressa, korkolaissa, laissa saatavien perinnästä ja ulosottokaaressa, kuten 3.1.1 jaksossa tarkemmin selvitetään. Täytäntöönpanotoimia ei edellytä myöskään mainitun artiklan 4 kohta, jonka mukaan jäsenvaltio ei saa estää luottosopimuksen osapuolia sopimasta, että vakuuden tai vakuuden myymisestä saatavan tulon palauttaminen tai siirtäminen luotonantajalle riittää luoton takaisinmaksuksi. Lainsäädäntöön ei sisälly esteitä sille, että osapuolet tekisivät edellä mainitun kaltaisen sopimuksen.  

Direktiivin 35 artiklassa edellytetään muiden luotonantajien kuin luottolaitosten hyväksyntää ja valvontaa. Artikla ei edellytä täytäntöönpanotoimia, sillä eräiden luotonantajien rekisteröinnistä annetun lain mukaan kuluttajaluottojen tarjoaminen edellyttää rekisteröintiä Etelä-Suomen aluehallintoviraston ylläpitämään luotonantajarekisteriin, joka edellä mainitun mukaisesti ehdotetaan korvattavaksi luotonantaja- ja vertaislainanvälittäjärekisterillä. Kyseisten luotonantajien toimintaa valvoo paitsi aluehallintovirasto myös kuluttaja-asiamies edellä selvitetyn mukaisesti.  

Jäsenvaltion on direktiivin 39 artiklan mukaan varmistettava, että kuluttajien käytössä on asianmukaiset ja tehokkaat riidanratkaisumenettelyt liittyen luotonantajiin, luotonvälittäjiin ja nimettyihin edustajiin. Artikla ei edellytä täytäntöönpanotoimia, sillä kuluttajalla on jo nykyisin mahdollisuus viedä kuluttajaluottoihin tai luotonvälitykseen liittyvä riita-asia kuluttajariitalautakunnan käsiteltäväksi. Vaihtoehtoisesti kuluttaja voi eräissä tapauksissa viedä riita-asiansa myös Vakuutus- ja rahoitusneuvonnan yhteydessä toimivan Pankkilautakunnan käsiteltäväksi.  

Esityksen vaikutukset

6.1  Valtiontaloudelliset vaikutukset ja vaikutukset viranomaisten toimintaan

Esityksellä on vain vähäisiä vaikutuksia valtiontalouteen. Esityksen 1. lakiehdotuksen 7 a luvun säännökset tulevat aluksi aiheuttamaan valvontaviranomaisille lisätyötä sen johdosta, että valvontaviranomaisten on muun muassa päivitettävä kuluttajaluottoja koskevat ohjeet sekä neuvottava luotonantajia, luotonvälittäjiä ja kuluttajia uusien säännösten sisällöstä. Markkinointia, ennakkotietoja ja sopimusehtoja koskevien säännösten muuttuminen ei sinänsä tuo uusia tehtäviä valvontaviranomaisille, mutta aiheuttaa tarpeen kohdentaa valvontatoimia muutosten voimaan tullessa uusien säännösten soveltamisalaan kuuluvien luotonantajien ja luotonvälittäjien käytäntöihin.  

Finanssivalvontaan tulisi esityksen 2. lakiehdotuksen mukaan perustaa rekisteri asunto-omaisuuteen liittyvien kuluttajaluottojen välittäjistä. Tällä hetkellä Suomen markkinoilla ei tiettävästi toimi välittäjiä, joita rekisteröitymisvelvollisuus koskisi, joten uuden tehtävän arvioidaan perustamisvaiheen jälkeen edellyttävän alle yhden henkilötyövuoden panostusta. Uudesta tehtävästä ei aiheutuisi lisäkustannuksia Finanssivalvonnalle, sillä syntyvät kustannukset perittäisiin hakemus- ja valvontamaksuina välittäjiltä.  

Lisäksi 3. lakiehdotuksen mukaan Etelä-Suomen aluehallintoviraston ylläpitämä luotonantajarekisteri tulisi korvata luotonantaja- ja vertaislainanvälittäjärekisterillä. Valvontatehtävän laajenemisen myös vertaislainanvälittäjiin arvioidaan merkitsevän vain vähäistä työmäärän lisääntymistä, sillä tällaisia toimijoita lienee Suomessa enintään 10—20. Vertaislainanvälittäjien rekisteröinti-ilmoitusten käsittelystä ei aiheudu aluehallintovirastolle lisäkustannuksia, koska niistä aiheutuvat kustannukset perittäisiin toimenpidemaksuina rekisteröintiä hakevilta vertaislainanvälittäjiltä.  

Toisaalta niin asunto-omaisuuteen liittyvien kuluttajaluottojen välittäjien kuin vertaislainanvälittäjien rekisteröitymisvaatimus tulee osaltaan helpottamaan kuluttajaluottojen ja vertaislainojen tarjontaa valvovien viranomaisten valvontatyötä, sillä jatkossa niiden saatavissa olisi luotettavat ja entistäkin kattavammat tiedot luottomarkkinoilla toimivista yrityksistä ja niiden yhteystiedoista. 

6.2  Vaikutukset kuluttajien, luotonantajien ja eräiden luotonvälittäjien asemaan

Nykyistä yhtenäisemmät asunto-omaisuuteen liittyviä kuluttajaluottoja koskevat säännökset Euroopan talousalueella ovat omiaan helpottamaan luotonantajien mahdollisuuksia tarjota luottoja rajan yli ja parantamaan kuluttajien mahdollisuuksia hakea luottoa muusta kuin kotimaastaan. Käytännössä rajat ylittävän niin tarjonnan kuin kysynnän odotetaan kuitenkin myös vastaisuudessa olevan vähäistä. 

Kuluttajaluottoja koskevien säännösten eriytyminen sen mukaan, onko kyseessä asuntoluotto, asuntovakuudellinen kuluttajaluotto vai muu kuluttajaluotto aiheuttaa tarpeen päivittää erityisesti luottolaitosten IT-järjestelmiä sekä luottosopimuksiin liittyviä asiakirjoja ja sisäisiä ohjeistuksia. Luotonantajien, jotka tarjoavat uusien säännösten soveltamisalaan kuuluvia kuluttajaluottoja, on myös huolehdittava siitä, että näiden luottojen myöntämiseen osallistuva henkilöstö saa uusia säännöksiä koskevaa koulutusta.  

Yksittäisistä muutoksista eniten kustannuksia luotonantajille aiheutuu ESIS-lomakkeen käyttöönotosta. FK:n jäseniltä saatujen arvioiden mukaan kustannukset vaihtelevat toimijoittain useasta sadasta tuhannesta eurosta useisiin miljooniin euroihin. Muista yksittäisistä muutoksista, jotka aiheuttavat kustannuksia luotonantajille, on syytä mainita valuuttaluottoja koskevat tiedonantovelvoitteet sopimussuhteen kuluessa sekä todellisen vuosikoron laskemista koskevat muutokset, joiden johdosta luotonantajien on tehtävä muutoksia IT-järjestelmiinsä. Nykyisen henkilöstön ammattitaitotasosta riippuen kustannuksia voi aiheutua luotonantajan velvollisuudesta varmistaa, että asuntovakuudellisten luottojen myöntämiseen osallistuva henkilöstö ja näiden lähiesimiehet sekä asunto-omaisuuden arvioitsijat täyttävät esityksen mukaiset ammattitaitovaatimukset.  

Vertaislainanvälittäjille aiheutuu kustannuksia ehdotetusta velvollisuudesta huolehtia siitä, että niiden kuluttajille välittämissä luotoissa noudatetaan kuluttajansuojalain 7 luvun säännöksiä. Lisäksi välittäjien mahdollisuutta ottaa palkkiota rajoittaisi mainitun luvun 17 a §:ssä säädetty korkokatto. Huomattava on kuitenkin, että ehdotettu sääntely ei rajoittaisi välittäjän mahdollisuutta sopia palkkion saamisesta luoton välittämisestä siltä, joka myöntää luoton kuluttajalle. 

ESIS-lomakkeen käyttöönotto helpottaa kuluttajien mahdollisuuksia vertailla eri tarjoajien asuntoluottoja keskenään. Nykyisin asuntoluottojen tarjoaja on voinut käyttää "Vakiomuotoiset eurooppalaiset kuluttajaluottotiedot" -lomaketta tietojen antamiseen ennen luottosopimuksen tekemistä, mutta velvollisuutta tähän ei ole ollut. Kuluttajan eri luotonantajilta saamat tiedot ovat voineet olla hankalasti vertailtavissa. Peruuttamisoikeuden laajentuminen asuntoluotoissa myös muuhun kuin etämyyntiin parantaa kuluttajansuojaa. Luotonantajiin laajennuksen arvioidaan vaikuttavan vain vähän, sillä oletettavaa on, ettei peruuttamisoikeuden käyttö tule olemaan kovin yleistä. 

Kuluttajien asemaa markkinoilla ja eri tarjoajien välistä kilpailua on omiaan parantamaan ehdotettu luoton kytkykaupan kielto. Samoin kuluttajien asemaa parantaa koron muuttamista koskevan sääntelyn selkeyttäminen siten, että luoton korko voi muuttua vain viitekoron muutosten mukaisesti. Asuntoluottojen tarjoajat ovat tuoneet esiin, että muiden Pohjoismaiden lainsäädännöstä poikkeavat säännökset voivat heikentää luotonantajien kiinnostusta tarjota asuntoluottoja Suomessa. Näin ei kuitenkaan oleteta tapahtuvan, koska käytännössä asuntoluottojen korkoja ei ole muutettu kuin viitekoron muutosten mukaisesti, eikä ehdotetulla selvennyksellä heikennetä siten asuntoluottojen tarjoajien toimintaedellytyksiä nykyisestä. Luotonantajien asemaa on puolestaan omiaan parantamaan se, että luotonantaja saisi negatiivisen viitekoron tapauksessa turvata sopimusehdolla oikeutensa saada luoton marginaalin. 

Luoton myöntämistä koskevat uudet säännökset ovat omiaan ehkäisemään sitä, että kuluttajaluottoja myönnetään ylivelkaantumisriskissä oleville kuluttajille. Myös asunto-omaisuuteen liittyvien luottojen välitystä ja neuvontapalvelujen tarjoamista koskevat säännökset ovat omiaan parantamaan kuluttajien asemaa edesauttamalla sitä, että tarjottu neuvontapalvelu on puolueetonta ja että kuluttaja saa asianmukaiset tiedot tarjottavasta välitys- ja neuvontapalvelusta. Käytännössä vaikutus kuluttajien asemaan on kuitenkin ainakin alkuvaiheessa vähäinen, koska kuluttajat Suomessa hankkivat asuntoluoton tai muun asunto-omaisuuteen liittyvän kuluttajaluoton yleensä suoraan luotonantajalta ilman välitys- tai neuvontapalvelun käyttöä. 

Kuluttajansuojalain 7 luvun säännösten soveltaminen myös kuluttajalle välitettäviin vertaislainoihin parantaa kuluttajien asemaa edesauttamalla sitä, että kuluttaja saa asianmukaiset tiedot tarjottavasta luotosta. Korkokattosääntelyn soveltaminen näihin luottoihin on omiaan edesauttamaan kuluttajien mahdollisuuksia saada kohtuuhintaisia luottoja. Säännökset muun muassa luottokelpoisuuden arvioinnista olisivat omiaan puolestaan parantamaan vertaislainanvälittäjien kautta kuluttajille luottoa myöntävien asemaa. 

Esityksen 2. lakiehdotus edellyttäisi sen soveltamisalaan kuuluvilta asunto-omaisuuteen liittyvien kuluttajaluottojen välittäjiltä rekisteröitymistä Finanssivalvonnan rekisteriin. Näille luotonvälittäjille aiheutuisi kustannuksia muun muassa rekisteröinti-ilmoituksen tekemisestä sekä toiminnan järjestämisestä siten, että rekisteröintiedellytykset täyttyvät. Toisaalta lakiehdotus helpottaisi Suomessa rekisteröidyn välittäjän toiminnan aloittamista toisessa ETA-valtiossa, koska rekisteröintiä ei tarvitsisi tehdä uudestaan vastaanottavassa valtiossa, ja vastaavasti se helpottaisi toisessa ETA-valtiossa rekisteröidyn välittäjän toiminnan aloittamista täällä.  

Esityksen 3. lakiehdotus edellyttäisi sen soveltamisalaan kuuluvilta vertaislainanvälittäjiltä rekisteröitymistä Etelä-Suomen aluehallintoviraston rekisteriin ja aiheuttaisi vertaislainanvälittäjille sen johdosta vastaavanlaisia kustannuksia kuin asunto-omaisuuteen liittyvien kuluttajaluottojen välittäjille. Koska vertaislainanvälittäjiä toimii jo nykyisin Suomen markkinoilla toisin kuin asunto-omaisuuteen liittyvien kuluttajaluottojen välittäjiä, on mahdollista, että jotkut alalla nykyisin toimivat vertaislainanvälittäjät joutuisivat lopettamaan toimintansa. Toisaalta vertaislainanvälittäjien rekisteröitymisvaatimuksen oletetaan lisäävän luottamusta tällaisiin luottomarkkinoihin ja samalla parantavan kuluttajien asemaa, kun vilpillisten toimijoiden pääsyä markkinoille vaikeutetaan. 

Asian valmistelu

Oikeusministeriö asetti 29 päivänä tammikuuta 2015 työryhmän, jonka tehtävänä oli valmistella hallituksen esityksen muotoon laadittu ehdotus direktiivin täytäntöön panemiseksi tarvittavasta lainsäädännöstä. Työryhmän tehtävänä oli myös arvioida luottojen korkoehtoihin, käänteisiin asuntoluottoihin sekä vertaislainoihin liittyvät lainsäädännön muutostarpeet sekä valmistella nämä ja muut luottomarkkinoiden kehittymisen johdosta tarvittavat lainsäädäntömuutokset. Työryhmässä olivat edustettuina oikeusministeriö, valtiovarainministeriö, Etelä-Suomen aluehallintovirasto, Kilpailu- ja kuluttajavirasto/kuluttaja-asiamies (jäljempänä KKV), Finanssivalvonta, FK, Kuluttajaliitto —Konsumentförbundet ry (jäljempänä Kuluttajaliitto) ja Vakuutus- ja rahoitusneuvonta FINE. Työnsä aikana työryhmä kuuli tietosuojavaltuutetun toimistoa, Keskuskauppakamarin Kiinteistöarviointilautakuntaa, Takuu-Säätiötä ja Velkaneuvonta ry:tä. Työryhmän mietintö valmistui 30 päivänä lokakuuta 2015 (OMML 54:2015). 

Oikeusministeriö pyysi mietinnöstä lausuntoa 32 viranomaiselta ja yhteisöltä. Näistä lausunnon antoi 22 tahoa. Lausunnoista on laadittu oikeusministeriössä tiivistelmä (Oikeusministeriön mietintöjä ja lausuntoja 15/2016). Useat lausunnonantajat suhtautuivat myönteisesti työryhmän ehdotuksiin. Osa elinkeinoelämää edustavista tahoista vastusti kuitenkin direktiiviin perustuvien säännösten soveltamista laajemmin kuin mikä direktiivin perusteella olisi välttämätöntä tai muutoin direktiivin vähimmäisvaatimukset ylittävän kansallisen lisäsääntelyn antamista. Ottaen huomioon 1 jaksossa selvitetyt kuluttajien velkaantumisongelmat ei pidetä perusteltuna poiketa mietinnössä esitetyistä peruslinjauksista. Direktiivin vähimmäissääntelyä vastaavat säännökset merkitsisivät eräissä tapauksissa myös nykyisen kuluttajansuojan tason alenemista. 

Yksittäisistä seikoista eniten huomioita esitettiin säännöksistä, jotka koskevat koron muuttamista luottosuhteen kuluessa, ja erityisesti siitä, että luotonantaja ei voisi mietinnön perustelujen mukaan negatiivisen viitekoron tapauksessa aina turvata sopimusehdolla oikeutta saada luoton marginaalia. Viimeksi mainittua ehdotusta vastustivat Finanssivalvonta, FK, Keskuskauppakamari, Suomen Asiakkuusmarkkinointiliitto ry (jäljempänä ASML), Vakuutus- ja rahoitusneuvonta ja S-Pankki. Työryhmän ehdotusta kannattivat valtiovarainministeriö, KKV, Suomen Pankki ja Kuluttajaliitto. Esitetty tulkinta voisi omalta osaltaan johtaa asuntoluottojen marginaalien kohoamiseen ja talletuksiin jälleenrahoituksessaan turvautuvien pienten pankkien aseman heikentymiseen ja sen myötä kilpailun vähentymiseen asuntoluottomarkkinoilla. Vaikka esitetystä tulkinnasta olisi etuja kuluttajille, on arvioitu, että viime kädessä haitalliset vaikutukset asuntoluottomarkkinoiden toiminnalle olisivat kuluttajien yksittäistapauksissa saamia hyötyjä suuremmat. Ehdotusta onkin tältä osin jatkovalmistelussa muutettu siten, että 1. lakiehdotuksen 7 a lukuun on lisätty nimenomainen säännös siitä, että asuntoluottosopimuksessa voidaan sopia, että luotosta kuluttajan maksettavaksi tuleva korko ei muutu, jos viitekoron arvo on pienempi kuin nolla.  

Ehdotus vertaislainanvälittäjien rekisteröintivaatimuksesta ja vertaislainojen rinnastamisesta kuluttajaluottoihin kuluttajansuojalain kuluttajaluottoja koskevia säännöksiä sovellettaessa sai kannatusta, mutta eriäviä näkemyksiä esitettiin siitä, pitäisikö eräiden luotonantajien ja luotonvälittäjien rekisteröinnistä annetun lain mukaisena rekisteri- ja valvontaviranomaisena toimia Etelä-Suomen aluehallintovirasto, kuten mietinnössä esitettiin. Valtiovarainministeriö ja Finanssivalvonta kannattivat mietinnössä esitettyä ratkaisua, kun taas Etelä-Suomen aluehallintovirasto, Velkaneuvonta ry ja eräät vertaislainanvälittäjät katsoivat, että rekisteröinti- ja valvontaviranomaisena tulisi toimia Finanssivalvonta. Edellä 5.3 jaksossa mainituista syistä jatkovalmisteluvaiheessa ei ole katsottu aiheelliseksi poiketa mietinnössä esitetystä. 

Lausunnonantajat olivat erimielisiä myös siitä, tulisiko ilmausten ”neuvonta” ja ”neuvoja” tai muiden samankaltaisten ilmausten käyttö kieltää, jos kuluttajille tarjottuja neuvontapalveluja tarjoavat luotonantajat tai luotonantajien asiamiehinä toimivat luotonvälittäjät, kuten mietinnössä esitettiin, vai tulisiko kiellon sijasta asettaa vähintään asuntoluottodirektiivissä säädetyt edellytykset ilmausten ”riippumaton neuvonta” tai ”riippumaton neuvoja” käytölle. TEM, KKV, Kuluttajaliitto ja Velkaneuvonta ry kannattivat mietinnössä esitettyä sääntelymallia, kun taas Finanssivalvonta, FK ja ASML kannattivat jälkimmäistä sääntelymallia. Edellä 5.2 kohdassa mainituista syistä esityksessä on päädytty esittämään ensiksi mainittua sääntelymallia, jonka mukaisesti oikeus tarjota neuvontapalveluja on vain luotonvälittäjillä edellyttäen, että nämä eivät ole luotonantajan asiamiehiä tai kuulu muutoin luotonantajan lähipiiriin. 

Lausunnonantajien muiden huomioiden johdosta esityksen yksityiskohtia on monilta osin tarkistettu. 

Riippuvuus muista esityksistä

Esityksen 6. lakiehdotuksessa ehdotetaan muutettavaksi muun ohella Finanssivalvonnan valvontamaksusta annetun lain 6 §:n 1 momenttia. Eduskunnan käsiteltäväksi on annettu hallituksen esitys laiksi arvo-osuusjärjestelmästä ja selvitystoiminnasta sekä eräiksi siihen liittyviksi laeiksi (HE 28/2016 vp), jossa niin ikään ehdotetaan muutettavaksi kyseistä momenttia siten, että muutos tulisi voimaan 1 päivänä heinäkuuta 2016.  

Esityksen 7. lakiehdotuksen mukaan muutettaisiin muun ohella rahanpesun ja terrorismin rahoittamisen estämisestä ja selvittämisestä annetun lain 2 §:ää. Eduskunnan käsiteltäväksi on annettu hallituksen esitys joukkorahoituslain muuttamiseksi (HE 46/2016 vp), jossa ehdotetaan muutoksia samaan pykälään. 

Yksityiskohtaiset perustelut

Lakiehdotusten perustelut

1.1  Kuluttajansuojalaki

6 a luku Rahoituspalvelujen ja rahoitusvälineiden etämyynti

11 a §.Asuntoluotot. Pykälä on uusi ja sillä pannaan täytäntöön direktiivin 14 artiklan 7 kohta. Pykälän mukaan luotonantajan katsotaan asuntoluottojen etämyynnissä täyttäneen 5—9 §:ssä säädetyt tiedonantovelvoitteet 11 §:ssä edellytetyllä tavalla toimittaessaan ESIS–lomakkeen kuluttajalle ennen asuntoluottosopimuksen tekemistä. Asuntoluottojen etämyynnissä ei olisi enää siis mahdollista toimittaa ennakkotietoja sopimuksen tekemisen jälkeen 11 §:n 2 momentin mukaisesti siinäkään tapauksessa, että sopimus tehdään kuluttajan pyynnöstä sellaista etäviestintä käyttäen, ettei tietojen ja sopimusehtojen toimittaminen pysyvällä tavalla ole mahdollista ennen sopimuksen tekemistä. Asuntoluottoihin liittyvällä taloudellisella sitoumuksella on kuluttajan kannalta suuri merkitys, joten asianmukaisena ei pidetä sitä, että kuluttajalle ilmoitettaisiin ennakkotiedot vasta sopimuksen tekemisen jälkeen (direktiivin johdanto-osan 21 kappale).  

Toisin kuin direktiivin säännös ehdotettu säännös koskee vain asuntoluottoja, mutta ei muita direktiivin soveltamisalaan kuuluvia luottoja. Asuntovakuudellisten kuluttajaluottojen osalta ehdotetaan yleisperustelujen 5.2 jaksossa selvitetyn mukaisesti käytettäväksi direktiivin 3 artiklan 3 kohdan a alakohdassa jäsenvaltioille varattua mahdollisuutta olla soveltamatta direktiivin 11 ja 14 artiklaa sekä liitettä II. Näiden luottojen etämyynnissä sovellettaisiin kuten nykyisinkin 11 §:n säännöksiä uuden 11 a §:n sijasta, ja ennakkotietojen toimittaminen pysyvällä tavalla sopimuksen tekemisen jälkeen olisi siten edelleen sallittua.  

12 §.Peruuttamisoikeus. Pykälän 2 momenttiin tehdään teknisluonteinen muutos sen johdosta, että kuluttajan oikeudesta peruuttaa kuluttajaluottosopimus ja maksaa kuluttajaluotto ennenaikaisesti säädetään 7 luvun lisäksi uudessa 7 a luvussa.  

7 luku Kuluttajaluotot

Yleiset säännökset 

1 §.Soveltamisala. Pykälän 1 ja 2 momentti vastaavat voimassa olevaa lakia. 

Pykälän 3 momentti on uusi. Momentin mukaan luvun säännöksiä sovellettaessa kuluttajaluottoon rinnastetaan myös muu kuin luotonantajan kuluttajalle myöntämä luotto, jos elinkeinonharjoittaja välittää luoton kuluttajalle. Luoton kuluttajalle välittävän elinkeinonharjoittajan olisi tällöin huolehdittava siitä, että luottosuhteessa noudatetaan luvun säännöksiä. Momentti ei perustu direktiiviin, vaan se on kansallista sääntelyä. 

Momentilla ulotettaisiin tietyt luotonantajaan sovellettavat säännökset koskemaan myös sellaisia luotonvälittäjiä, jotka välittävät niin sanottuja vertaislainoja kuluttajille. Nykyisin kuluttajansuojalain 7 lukua sovelletaan vain sellaiseen luottoon, jonka luotonantaja myöntää kuluttajalle, tai tällaista luottoa välittävään elinkeinonharjoittajaan. Syitä luvun soveltamisalan laajentamiseen selvitetään yleisperustelujen 5.3 jaksossa. 

Luottoa kuluttajalle välittävän elinkeinonharjoittajan tehtävänä olisi siis huolehtia esimerkiksi siitä, että luottosuhteessa noudatetaan luvun 8—11 §:n säännöksiä tiedonantovelvollisuuksista luottoa mainostettaessa ja ennen luottosopimuksen tekemistä, 13 §:n säännöksiä hyvästä luotonantotavasta, 14 §:ää luottokelpoisuuden arvioinnista, 15 ja 16 §:ää lainanhakijan henkilöllisyyden todentamisesta, 17 §:ää luottosopimuksen tekemisestä, 17 a §:ää korkokatosta, 18 §:ää kiellosta ottaa vastaan juokseva sitoumus kuluttajalta sekä 19 §:ää varojen luovuttamisajan rajoituksesta. Kuluttajalla tulisi olla tällaisessa luottosuhteessa myös oikeus peruuttaa luottosopimus 20—22 §:ssä säädetyn mukaisesti ja oikeus saada tietoa luottosopimuksesta 23—25 §:n mukaisesti. Sovellettavaksi tulisivat tilanteen mukaan myös luoton takaisinmaksua ja luottosopimuksen päättymistä koskevat 26—38 §:n säännökset. Korkokattosäännöstä sovellettaessa on syytä huomioida, että luoton todellista vuosikorkoa laskettaessa huomioon otetaan myös vertaislainanvälittäjän kuluttajalta perimä palkkio tai muu maksu. 

Vertaislainanvälittäjiä koskevat elinkeino-oikeudelliset säännökset sisältyvät 3. lakiehdotukseen, joiden mukaisesti vertaislainanvälittäminen edellyttää rekisteröintiä Etelä-Suomen aluehallintoviraston ylläpitämään luotonantaja- ja vertaislainanvälittäjärekisteriin.  

Pykälän 4 momentti vastaa voimassa olevan lain 7 luvun 1 §:n 3 momenttia. 

Pykälän 5 momentti vastaa muutoin voimassa olevan lain 7 luvun 1 §:n 4 momenttia, mutta momenttiin lisättäisiin uusi 5 kohta. Momentin 5 kohdan mukaan luvun säännöksiä ei pääsääntöisesti sovellettaisi 7 a luvun soveltamisalaan kuuluviin asuntoluottoihin tai asuntovakuudellisiin kuluttajaluottoihin. Poikkeuksen muodostaisivat 7 a luvun 31 §:ssä mainitut 7 luvun säännökset, joita sovellettaisiin näihinkin kuluttajaluottoihin. 

3 §.Säännösten soveltamisen rajoitukset eräissä muissa tapauksissa. Ehdotettu 2 momentti vastaa voimassa olevan lain 7 luvun 3 §:n 2 momentin ensimmäistä virkettä, jonka mukaan luvun 15 ja 16 §:ää ei sovelleta hyödykesidonnaisiin luottoihin. Asuntoluottoja koskeva poikkeussäännös ei olisi enää tarpeellinen uusien 7 a luvun säännösten johdosta.  

5 §.Pakottavuus. Pykälän ensimmäinen virke vastaa voimassa olevan lain 7 luvun 5 §:ää. Pykälän toisen virkkeen mukaan myös sellainen 1 §:n 3 momentissa tarkoitetun luottosopimuksen sopimusehto on mitätön, joka poikkeaa luvun säännöksistä kuluttajan vahingoksi. Jos poikkeaminen johtuu siitä, että vertaislainanvälittäjä on laiminlyönyt 1 §:n 3 momentin mukaisen velvollisuutensa huolehtia sopimusehtojen lainmukaisuudesta, voi välittäjä olla velvollinen korvaamaan luoton myöntäneelle taholle aiheutuneen vahingon sopimusvastuuta koskevien periaatteiden mukaisesti.  

7 §.Muut määritelmät. Pykälän 4 kohtaan nykyisin sisältyvä asuntoluoton määritelmä ehdotetaan poistettavaksi, ja se ehdotetaan korvattavaksi henkilöstön määritelmällä. Henkilöstöllä tarkoitetaan luotonantajan tai luotonvälittäjän palveluksessa olevia tai muutoin tämän lukuun toimivia henkilöitä, jotka osallistuvat kuluttajaluottojen myöntämiseen tai välittämiseen. Lisäksi henkilöstön määritelmä kattaa ne henkilöt, joiden välittömän johdon ja valvonnan alaisena ensiksi mainitut henkilöt toimivat. Määritelmällä on merkitystä hyvää luotonantotapaa koskevaa 13 §:ää sovellettaessa, jota sovelletaan ehdotetun 7 a luvun 31 §:n mukaan myös 7 a luvun soveltamisalaan kuuluviin luottoihin. Kohdalla pannaan osaltaan täytäntöön direktiivin 4 artiklan 11 kohta. 

Tiedonantovelvollisuudet 

8 §.Kuluttajaluoton mainonnassa annettavat tiedot. Ehdotettu 2 momentti vastaa muutoin voimassa olevaa lakia, mutta momenttiin lisättäisiin maininta siitä, että todellinen vuosikorko ja muut 1 momentissa mainitut tiedot on ilmoitettava mainonnassa selkeästi, näkyvästi ja tiiviisti. Vaatimus perustuu kulutusluottodirektiivin 4 artiklan 2 kohtaan.  

Vaatimuksella momentissa mainittujen tietojen ilmoittamisesta mainonnassa selkeästi, näkyvästi ja tiiviisti tarkoitetaan sitä, että kuluttajaluoton mainonnassa ilmoitettavat tiedot on esitettävä asianmukaisesti siten, että kuluttajalla on tosiasiallinen mahdollisuus vaivatta nähdä tai kuulla esitetyt tiedot sekä saada tietojen pohjalta kokonaiskuva tarjotusta luotosta. Jo aikaisemmin kuluttaja-asiamiehen valvontakäytännössä ja tuomioistuinkäytännössä (esimerkiksi KKO:2011:65 ja KKO:2006:6) on katsottu, että mainonnassa ei saa esittää tietoja niin sanotulla pikkuprintillä, eikä oikeustilaa ole tarkoitus muuttaa. Selkeyttä ja näkyvyyttä koskevaa vaatimusta ei noudateta esimerkiksi silloin, jos momentissa tarkoitetut tiedot tai joku niistä esitetään tv-kuvan alalaidassa niin pienellä kirjasinkoolla tai niin lyhyen ajan, ettei keskivertokuluttaja kykene niitä vaivatta havaitsemaan. Samoin vaatimuksia ei noudatettaisi, jos lehtimainonnassa tai tienvarsimainonnassa käytettävä kirjasinkoko tai kirjasinkoko yhdistettynä taustan väriin johtaa siihen, ettei keskivertokuluttaja kykene vaivatta näkemään tekstiä. Tiiviyttä koskevalla vaatimuksella on erityistä merkitystä verkkomainonnassa. Vaaditut tiedot eivät saa olla hajautettuna eri puolilla verkkosivustoja siten, ettei kuluttaja saa niitä vaivatta yhtenä kokonaisuutena. Se, millä tavalla tiedot tulee mainonnassa ilmoittaa, jotta vaatimus selkeydestä, näkyvyydestä ja tiiviydestä täyttyy, perustuu kuitenkin aina yksittäisen mainoksen perusteella tehtävään kokonaisarvioon. 

9 §.Ennen luottosopimuksen tekemistä annettavat tiedot. Pykälän 2 momenttiin tehdään teknisluonteinen muutos sen johdosta, että luvun tiedonantovelvollisuutta koskevat säännökset eivät koskisi enää asuntoluottoja, vaan niitä koskevat tiedonantovelvoitteet sisältyisivät uuteen 7 a lukuun.  

11 §.Eräitä ennakkotiedonantovelvollisuutta koskevia muita säännöksiä. Pykälän 1 momenttiin tehdään teknisluonteinen muutos sen johdosta, että luvun tiedonantovelvollisuutta koskevat säännökset eivät koskisi enää asuntoluottoja, vaan niitä koskevat tiedonantovelvoitteet sisältyisivät uuteen 7 a lukuun. 

Luotonantajan velvollisuus menetellä vastuullisesti 

13 §.Hyvä luotonantotapa. Ehdotettu 2 momentti vastaa muilta osin voimassa olevaa lakia, mutta momentin 4 kohtaa täsmennettäisiin direktiivin 16 artiklan 1 kohdan täytäntöön panemiseksi siten, että luottoa koskevien selvitysten lisäksi luotonantajan tulisi antaa kuluttajalle ennen luottosopimuksen tekemistä riittävät ja selkeät selvitykset luoton yhteydessä tarjottavista lisäpalveluista. Luottoa koskevien selvitysten antamisvelvollisuus koskee nykyisin kaikkia kuluttajaluottoja. Tämän johdosta on perusteltua, että myös lisäpalveluita koskeva täsmennys koskee kaikkia kuluttajaluottoja eikä ainoastaan direktiivin soveltamisalaan kuuluvia luottoja. 

Riittävät ja selkeät selvitykset on annettava sen arvioimiseksi, soveltuvatko mahdollisesti tarjotut lisäpalvelut, kuten lainaturvavakuutus, kuluttajan tarpeisiin ja tämän taloudelliseen tilanteeseen. Jotta kuluttaja kykenisi tekemään tällaisen arvion, hän tarvitsee selvityksiä yleensä ainakin tarjotun lisäpalvelun keskeisistä ominaisuuksista ja sen erityisistä vaikutuksista kuluttajaan. Selvitystä tulee antaa kaikista tarjoukseen sisältyvistä palveluista siten, että kuluttajalla on tosiasiallinen mahdollisuus arvioida tarjouksen muodostaman kokonaisuuden sopivuus itselleen.  

Lisäksi kuluttajalle tulisi kohdan mukaan antaa tieto siitä, voiko tämä irtisanoa lisäpalvelua koskevan sopimuksen erikseen ja mitä seuraamuksia irtisanomisesta hänelle aiheutuisi. Selvitysvelvollisuus koskee kaikenlaisia luoton yhteydessä tarjottavia lisäpalveluja siitä riippumatta, onko lisäpalvelun hankkiminen luoton saamisen edellytys vai ei tai vaikuttaako sen hankkiminen luottosopimuksen ehtoihin. Kohdassa tarkoitettu seuraamus voi olla esimerkiksi se, että tarjotun luottosopimuksen ehdot, kuten luoton korko, muuttuvat, jos kuluttaja irtisanoo lisäpalvelua koskevan sopimuksen. Selvyyden vuoksi on syytä mainita, että luoton kytkykauppa on 13 a §:n nojalla kiellettyä. Hyvä luotonantotapa edellyttäisi myös luotonantajan ilmaisevan selvästi sen, että kuluttaja voi tehdä yhdistettyyn tarjotukseen kuuluvan luottosopimuksen ilman lisäpalvelun ostamista.  

Pykälän 4 momentti on uusi. Sen mukaan luotonantajien ja luotonvälittäjien henkilöstön palkitsemista koskevat järjestelmät eivät saa olla sellaisia, että ne estävät menettelemästä luotonannossa, luotonvälityksessä ja neuvontapalvelujen tarjonnassa 1 ja 2 momentissa edellytetyllä tavalla. Momentilla pannaan täytäntöön direktiivin 7 artiklan 2 kohta ja osaltaan saman artiklan 4 kohta. 

13 a §.Kytkykaupan kielto. Pykälä on uusi, ja se perustuu direktiivin 12 artiklaan. Pykälässä kielletään luoton kytkykauppa muiden palveluiden tai rahoitusvälineiden kanssa eli sellaiset luottotarjoukset, joiden ehtojen mukaan kuluttajan tulee luoton saadakseen tehdä sopimus toisesta rahoituspalvelusta tai muusta palvelusta tai rahoitusvälineestä, jonka luotonantaja tai muu elinkeinonharjoittaja luotonantajan kanssa tekemänsä sopimuksen tai muun järjestelyn perusteella tarjoaa. Ehdotettu pykälä koskee paitsi direktiivin soveltamisalaan kuuluvia luottoja myös muita kuluttajaluottoja.  

Kytkykauppa määritellään direktiivin 4 artiklan 26 kohdan mukaan luottosopimuksen tarjoamiseksi tai myynniksi samassa paketissa muiden erillisten finanssituotteiden tai -palvelujen kanssa siten, että kuluttajan ei ole mahdollista tehdä luottosopimusta erillisenä. Ehdotettu pykälä vastaa asiallisesti direktiivin määritelmää muutoin, mutta koskee yleisperustelujen 5.2 jaksossa mainitun mukaisesti luoton kytkemistä myös muihin palveluihin kuin rahoituspalveluihin. Ratkaisevaa olisi se, onko kuluttajalla mahdollisuus tehdä luottosopimus ilman, että hän tekee sopimuksen toisesta rahoituspalvelusta, muusta palvelusta tai rahoitusvälineestä, jonka tarjoaa luotonantaja itse tai muu luotonantajan kanssa yhteistoiminnassa toimiva taho. Rahoituspalveluja ovat esimerkiksi talletus- ja asiakastilit, maksujenvälityspalvelut, luottojen välitys, vakuutukset ja niiden välitys, sijoitusneuvonta sekä muut sijoituspalvelut. Esimerkkinä pykälässä tarkoitetuista muista palveluista voidaan mainita kiinteistönvälityspalvelut. Rahoitusvälineitä ovat arvopaperimarkkinalaissa (746/2012) tarkoitetut arvopaperit ja muut sijoituspalvelulain 1 luvun 10 §:ssä tarkoitetut välineet.  

Yhdistetyt tarjoukset eivät sen sijaan olisi säännöksen nojalla kiellettyjä jatkossakaan. Yhdistetyillä tarjouksilla tarkoitetaan direktiivin 4 artiklan 27 kohdan mukaan luottosopimuksen tarjoamista tai myyntiä samassa paketissa muiden erillisten finanssituotteiden tai -palvelujen kanssa siten, että luottosopimusta tarjotaan kuluttajalle myös erikseen, mutta ei välttämättä samoin ehdoin kuin silloin, kun sitä tarjotaan yhdistettynä lisäpalveluihin. Yhdistetyllä tarjouksella tarkoitetaan esimerkiksi tilannetta, jossa kuluttaja saa luoton edullisemmin ehdoin, jos hän hankkii samassa yhteydessä toisen rahoituspalvelun, kuten tilin. 

Ehdotettu pykälä, kuten muutkin 7 luvun säännökset, koskisi kaikkia luotonantajia, luottolaitokset mukaan lukien. Luottolaitoksiin sovellettaisiin edelleen myös yleisperustelujen 3.1.1 jaksossa mainittuja luottolaitostoiminnasta annetun lain 15 luvun 2 ja 3 §:n säännöksiä. Lisäksi kaikkia luotonantajia koskisivat yhdistettyjä tarjouksia ja kylkiäistarjouksia koskevat kuluttajansuojalain 2 luvun 12 §:n tiedonantovelvollisuussäännökset.  

Luottotarjouksen ehtona voi ehdotetun pykälän estämättä olla, että kuluttajalla on luottosopimukseen liittyvä asiaankuuluva vakuutussopimus esimerkiksi vakuudeksi annettavan omaisuuden palamisen varalta. On kuitenkin huomattava, että tällainen ehto on sallittu vain sillä edellytyksellä, että kuluttajalla on oikeus ja tosiasiallinen mahdollisuus ottaa vaaditun sisältöinen vakuutus miltä tahansa vakuutuksenantajalta. Tällöin ei olisi kyse lain tarkoittamasta kytkykaupasta, koska kuluttajalle jää vapaus valita, mistä vakuutuksen hankkii. Luotonantaja voi pykälän estämättä asettaa luottotarjouksen ehdoksi myös sen, että kuluttajalla on lainan takaisinmaksun turvaamiseksi asiaankuuluva vakuutus, jos asiakkaan riskitilanne sitä perustellusti edellyttää ja asiakkaalla on mahdollisuus itse valita palveluntarjoaja, jolta vakuutuksen hankkii. Tämän kaltaisten ehtojen salliminen on mahdollistettu direktiivin 12 artiklan 4 kohdassa. Jos luotonantaja käyttää tällaista ehtoa, hyvä luotonantotapa edellyttää, että luotonantaja ilmoittaa kuluttajalle selvästi, että tällä on mahdollisuus ottaa vaaditun turvan sisältävä vakuutus miltä tahansa palvelun tarjoajalta.  

16 a §.Luoton myöntäminen. Pykälä on uusi. Pykälän 1 momentti perustuu direktiivin 26 artiklan 1 kohdan toiseen virkkeeseen, mutta on soveltamisalaltaan direktiivin säännöstä laajempi koskien kaikkia kuluttajaluottoja. Momentissa asetetaan luotonantajalle velvollisuus määritellä periaatteet, joiden mukaisesti se myöntää kuluttajaluottoja.  

Luottolaitoksille säännös ei toisi uusia velvoitteita, sillä niillä on vastaava velvollisuus jo nykyisin luottolaitostoiminnasta annetun lain 9 luvun 10 §:n nojalla. Käytännössä luottolaitokset ja muut luotonantajat määrittelevät liiketoimintastrategiansa mukaisesti luoton myöntämistä koskevat periaatteet, ja ne voivat sisältää myös liikesalaisuuden piiriin kuuluvaa informaatiota. Selvyyden vuoksi on syytä mainita, että säännös ei edellytä sitä, että periaatteiden tulisi olla julkisesti kuluttajien saatavilla.  

Pykälän 2 momentin mukaan luotonantaja saa myöntää luoton kuluttajalle ainoastaan, jos kuluttajan luottokelpoisuuden arviointi osoittaa, että luottosopimuksesta johtuvat velvoitteet todennäköisesti täytetään luottosopimuksessa edellytetyllä tavalla. Jos kuluttajien on tarkoitus vastata velasta yhteisvastuullisesti, luottokelpoisuuden arvioinnin tulee osoittaa, että kuluttajat kokonaisuutena todennäköisesti täyttävät luottosopimuksesta johtuvat velvoitteensa luottosopimuksessa edellytetyllä tavalla. Momentilla pannaan täytäntöön direktiivin 18 artiklan 5 kohdan a alakohta.  

Momentin tarkoituksena on turvata luotonantajan luotonmyöntämisprosessin asianmukaisuus yksittäisen kuluttajan kannalta ja ennaltaehkäistä sitä, että luottoa myönnetään ylivelkaantumisriskissä olevalle kuluttajalle. Jos luotonantaja on luottolaitos, luoton myöntämistä rajoittavat myös säännökset luottolaitosten riskienhallinnasta. Luottokelpoisuuden arvioinnista ja sen toteuttamisesta säädetään erikseen 14 §:ssä sekä uudessa 7 a luvun 11 §:ssä.  

Ehdotettu säännös ei estäisi luotonantajaa myöntämästä luottoa esimerkiksi erilaisissa luoton järjestelytilanteissa, joissa kuluttajan maksukyky on alentunut verrattuna alkuperäiseen luotonmyöntötilanteeseen, mutta luoton myöntämistä voidaan kokonaisarvioinnissa pitää kuluttajan edun mukaisena. Tällaisesta luoton järjestelystä voi olla kyse esimerkiksi luottojen yhdistelyssä yhdeksi luotoksi luottokustannusten alentamiseksi sekä asunnonvaihtoon liittyvässä lyhytaikaiseksi tarkoitetussa väliaikaisrahoituksessa. Säännöksellä ei ole tarkoitus estää lisäluoton myöntämistä myöskään esimerkiksi sellaisissa rakennushankkeissa, joissa budjetti ylittyy ja velanhoitokulut muodostuvat liian suuriksi kuluttajalle, mutta lisäluoton myöntäminen arvioidaan välttämättömäksi talon valmiiksi rakennuttamiseksi ja velan takaisin maksamiseksi saatavalla kauppahinnalla. Tällaisissa tilanteissa voi olla sekä kuluttajan että luotonantajan etu, että lisäluottoa myönnetään, jos on todennäköistä, että talo saadaan myytyä ja luotto siten takaisinmaksetuksi.  

Kuluttajan oikeus saada tietoja luottosopimuksen kuluessa 

23 §.Kuluttajan oikeus saada pyynnöstä lyhennystaulukko. Pykälän 1 momentista ehdotetaan poistettavaksi säännös, jonka mukaan luotonantajalla on oikeus saada kohtuullinen korvaus asuntoluottoa koskevan lyhennystaulukon antamisesta aiheutuvista kohtuullisista kustannuksista, jos kuluttaja pyytää lyhennystaulukkoa useammin kuin kerran vuodessa. Direktiivin 8 artiklan mukaan jäsenvaltioiden on varmistettava, että kun kuluttajille annetaan tietoja direktiivin vaatimusten mukaisesti, tiedot annetaan heille maksutta. Direktiivi ei kuitenkaan sisällä säännöstä lyhennystaulukon antamisvelvollisuudesta. Sääntelyn johdonmukaisuus puoltaa kuitenkin maksuttomuusvaatimuksen ulottamista myös lyhennystaulukon antamiseen myös tapauksissa, joissa kuluttaja pyytää sitä useammin kuin kerran vuodessa. Selvyyden vuoksi todetaan, ettei luotonantajalla ole velvollisuutta antaa lyhennystaulukkoa, jos asiakas on saanut taulukon jo aikaisemmin, eikä lyhennystaulukossa ole tapahtunut sen jälkeen muutoksia. 

24 §.Koron ja maksujen muutokset. Pykälän 1 momenttia muutetaan ensinnäkin sen selkeyttämiseksi, että luotosta kuluttajan maksettavaksi tuleva korko saa luottosopimuksen kuluessa muuttua vain viitekoron muutosten mukaisesti. Muilla perusteilla luotonantajalla ei ole oikeutta muuttaa luoton korkoa luottosopimuksen kuluessa. Syitä sääntelyratkaisuun selvitetään yleisperustelujen 5.3 jaksossa.  

Erityisesti asuntoluottosopimuksissa ja muissa pidempikestoissa luotoissa on yleistä, että luoton korko sidotaan sopimuksessa yksilöityyn viitekorkoon. Markkinoilla on käytössä myös korkokattosopimuksia ja korkoputkisopimuksia. Korkokattosopimuksessa viitekoron liikkuvuutta rajoitetaan ylöspäin siten, että viitekoron määrälle asetetaan yläraja, jonka yli korko ei nouse. Korkoputkessa puolestaan lainan viitekorkoon on lisätty viitekoron alaraja ja yläraja, joiden sisällä viitekorko liikkuu. Sekä korkokattoehto että korkoputkiehto ovat erillisiä asiakkaan korkosuojauksia koron nousua vastaan. Korkokaton tuoma suojaus maksetaan yleensä sopimusta tehtäessä pankin hinnoittelemalla summalla etukäteen, kun taas korkoputkessa suojaus maksetaan asettamalla viitekorolle pankin määrittelemä alaraja, jonka alle korko ei laske. 

Säännös ei estä korkokattoehdon käyttöä luottosopimuksissa, koska sillä rajoitetaan viitekoron liikkuvuutta vain ylöspäin eli aina kuluttajan eduksi. Tällaista sopimusehtoa voidaan siten käyttää 5 §:n pakottavuutta koskevan sääntelyn estämättä. Säännös ei myöskään estä korkoputkiehdon käyttöä, koska sen tarkoitus on niin ikään olla suojaus koron nousua vastaan. Edellytyksenä kuitenkin on, että korkoputken lattia- ja kattoraja on asetettu objektiivisesti arvioituna tasapuoliselle tasolle. Pelkkä niin sanottu korkolattia eli luottosopimuksen ehto, jonka mukaan viitekoron alenemista ei oteta huomioon tietyn rajan jälkeen, ei sitä vastoin olisi sallittu, jollei muuta johdu 7 a luvun 31 §:n 2 momentista.  

Säännöksen tarkoituksena ei ole myöskään estää sitä, että yhdistettyyn tarjoukseen voisi ottaa koron muuttumista koskevan ehdon. Luoton korko saisi siten muuttua yhdistetyssä tarjouksessa yksilöidyllä tavalla siinä tapauksessa, että asiakas irtisanoo yhdistettyyn tarjoukseen kuuluvan toista palvelua koskevan sopimuksen.  

Henkilökuntalainoissa on tavallista, että työntekijä saa työsuhteen johdosta luoton esimerkiksi alemmalla marginaalilla kuin muut asiakkaat. Ehdotettu säännös ei estäisi sitä, että alennusperusteen, työsuhteen päätyttyä, luoton korko nousisi sopimuksessa yksilöidyllä tavalla.  

Toiseksi momentti sisältää uuden säännöksen, jonka mukaan luotonantajan on säilytettävä viitekoron suuruutta koskevat tiedot. Säännöksellä pannaan täytäntöön direktiivin 24 artiklan b alakohta. Direktiivistä poiketen velvollisuus säilyttää viitekorkoa koskevat tiedot asetetaan luotonantajalle, kun direktiivin mukaan velvollisuus on joko luotonantajalla tai viitekoron tarjoajalla. Luotonantaja on sopimussuhteessa kuluttajaan ja kuluttaja voi vaivatta kääntyä tämän puoleen tietojen saamiseksi, kun taas viitekoron, kuten Euriborin, tarjoaja voi olla ulkomainen yhteisö. Paremman kuluttajansuojan ja oikeusvarmuuden vuoksi onkin perusteltua, että säilyttämisvelvollisuus asetetaan yksiselitteisesti luotonantajalle. Säilyttämisaika vastaisi 7 a luvun 11 §:n 3 momentissa säädettyä aikaa.  

Pykälän 2 momenttiin siirrettäisiin aikaisemmin 1 momenttiin sisältynyt vaatimus koron muutosten toteuttamisesta tasapuolisesti ja kuluttajia syrjimättömällä tavalla. Vaatimuksella pannaan osaltaan täytäntöön maksupalveluja sisämarkkinoilla koskevan Euroopan parlamentin ja neuvoston direktiivin 2007/64/EY 44 artiklan 3 kohta.  

Momenttiin siirretään myös aikaisemmin 3 momenttiin sisältynyt vaatimus siitä, että tiedot on annettava kuluttajalle ennen muutoksen voimaantuloa. Lisäksi momenttiin tehdään teknisluonteinen muutos sen johdosta, että asuntoluottoja koskeva virke ei ole enää tarpeellinen uusien 7 a luvun säännösten johdosta. 

Pykälän 3 momentti vastaa muilta osin asiasisällöltään voimassa olevan 7 luvun 24 §:n 3 momenttia, mutta edellä todetun mukaisesti vaatimus 2 momentissa tarkoitettujen tietojen antamisesta kuluttajalle ennen muutoksen voimaantuloa siirretään lakiteknisistä syistä 2 momenttiin. 

Pykälän 4 momentti vastaa muilta osin voimassa olevan 7 luvun 24 §:n 4 momenttia, mutta momenttiin ehdotetaan lisättäväksi maksun korotuksen määrää rajoittava uusi säännös. Säännös rajoittaisi luottosopimuksen johdosta perittävien maksujen korottamista siten, että kuluttajalta saisi periä ainoastaan luotonantajalle aiheutuneen tosiasiallisen lisäyksen kustannuksissa, joiden johdosta maksua luottosopimuksen mukaan peritään. Maksun perusteen ja korotuksen perusteen välillä on siis oltava syy-yhteys. On kuitenkin riittävää, että maksun muutos vastaa likimääräisesti tosiasiallisten kustannusten määrän lisäyksiä. Täydellistä vastaavuutta tosiasiallisten kustannusten kanssa ei edellytetä. 

51 §.Valvontaviranomaiset. Pykälän 1 momentti vastaa asiasisällöltään voimassa olevaa lakia. Momenttiin tehdään teknisluonteinen tarkistus sen selventämiseksi, että Finanssivalvonta valvoo myös ulkomaisten ETA-valvottavien Suomessa olevien sivuliikkeiden toimintaa sekä sellaista ulkomaisten valvottavien palvelujen tarjoamista Suomessa, jota harjoitetaan sivuliikettä perustamatta. 

Pykälän 2 ja 3 momentti vastaavat voimassa olevaa lakia. 

7 a luku Asunto-omaisuuteen liittyvät kuluttajaluotot

Yleiset säännökset 

1 §.Soveltamisala. Pykälän 1 momentin mukaan luvussa säädetään asuntoluotoista ja asuntovakuudellisista kuluttajaluotoista. Asuntoluotto ja asuntovakuudellinen kuluttajaluotto määritellään luvun 3 §:n 1 momentin 2 ja 3 kohdassa. 

Pykälän 2 momentissa säädetään soveltamisalaa koskevista poikkeuksista. Momentin 1 kohdan mukaan asunto-omaisuuteen liittyviä kuluttajaluottoja koskevia säännöksiä ei sovelleta luottoon, josta ei peritä korkoa eikä muita maksuja. Edellytyksenä siis on, että luotto on täysin maksuton kuluttajalle. Soveltamisalapoikkeus perustuu direktiivin 3 artiklan 2 kohdan c alakohtaan. 

Momentin 2 kohdan mukaan luvun soveltamisalasta on suljettu pois tietynlaiset käänteiset asuntoluottosopimukset. Edellytyksenä poissuljennalle on, että luotto luottosopimuksen mukaan myönnetään tai luvataan myöntää vastineena varoille, jotka saadaan asunto-omaisuuden myynnistä, ja että luotonantajalla on oikeus vaatia luoton takaisinmaksua vasta, kun lainanottaja täyttää luottosopimuksessa määritellyn iän tai kuolee. Suomessa ei tiettävästi ole tarjolla kohdassa tarkoitettuja käänteisiä asuntoluottoja. Soveltamisalapoikkeus perustuu direktiivin 3 artiklan 2 kohdan a alakohtaan. 

Momentin 3 kohdan mukaan luvun soveltamisalasta on suljettu pois panttilainauslaitoksen myöntämät luotot, jotka kuluttaja käyttää enintään vuoden pituisena väliaikaisratkaisuna ollessaan siirtymässä toiseen asunto-omaisuutta koskevaan rahoitusjärjestelyyn. Soveltamisalapoikkeus perustuu direktiiviin 3 artiklan 3 kohdan d alakohtaan, mutta on suppeampi kuin direktiivin mukainen soveltamisalapoikkeus koskien vain panttilainauslaitosten myöntämiä luottoja. Syitä soveltamisalapoikkeukseen selvitetään yleisperustelujen 5.2 jaksossa.  

2 §.Pakottavuus. Pykälän mukaan sopimusehto, joka poikkeaa luvun säännöksistä kuluttajan vahingoksi, on mitätön. Ehdon mitättömyyteen ei vaikuttaisi se, että kuluttajan asema muiden sopimusehtojen mukaan mahdollisesti on parempi kuin lain mukaan. Pykälällä pannaan täytäntöön direktiivin 41 artiklan a kohta. 

3 §.Määritelmät. Pykälän 1 momentin 1 kohta sisältää asunto-omaisuuden määritelmän. Sillä tarkoitetaan asuinkiinteistöä, asuinhuoneiston hallintaan oikeuttavia yhteisöosuuksia sekä asuinrakennusta, joka sijaitsee kiinteistöä koskevan käyttöoikeuden nojalla hallitulla alueella. Merkitystä ei ole sillä, onko kiinteistö tai huoneisto tarkoitettu vakituiseen käyttöön vai vapaa-ajan asunnoksi. Samoin kohdassa tarkoitettu asunto-omaisuus voisi olla sijoitusasunto. Kohdassa tarkoitettuna asunto-omaisuutena olisi pidettävä myös asumisoikeusasuntoa tai osaomistusasuntoa. 

Momentin 2 kohta sisältää asuntoluoton määritelmän. Asuntoluoton määritelmä poikkeaa kahdessa keskeisessä suhteessa nykyisestä 7 luvun 7 §:n 4 kohtaan sisältyvästä asuntoluoton määritelmästä. Määritelmää on tarpeen muuttaa direktiivin 3 artiklan 1 kohdan b alakohdan täytäntöön panemiseksi. Määritelmällä pannaan täytäntöön myös 4 artiklan 2 ja 3 kohta. 

Ensinnäkin asuntoluottona pidettäisiin luottoa, jonka elinkeinonharjoittaja eli luotonantaja myöntää tai lupaa myöntää kuluttajalle lainana, maksunlykkäyksenä tai muun vastaavana taloudellisena järjestelynä asunto-omaisuuden hankkimiseksi. Uutta on, että kyse olisi tällaisissa tapauksissa asuntoluotosta siitä riippumatta, annetaanko hankittava kohde taikka muuta asunto-omaisuutta luoton vakuudeksi. Olennaista on, että luoton käyttötarkoituksena on asunto-omaisuuden hankkiminen tai sen omistusoikeuden säilyttäminen. Omistusoikeuden säilyttämisestä voi olla kyse esimerkiksi aviopuolisoiden erotilanteessa, jossa asunnon omistava osapuoli joutuu tasingonmaksuvelvollisuuden vuoksi ottamaan lainaa säilyttääkseen omistusoikeutensa asuntoon. Myös yhtiölainan poismaksamiseksi otettavaa luottoa on pidettävä kohdassa tarkoitettuna asuntoluottona. Toinen keskeinen ero verrattuna nykyiseen asuntoluoton määritelmään on, että asuinhuoneiston, asuinkiinteistön tai asuinrakennuksen peruskorjauksen tekemiseksi myönnettäviä luottoja ei pidettäisi asuntoluottoina.  

Momentin 3 kohta sisältää asuntovakuudellisen kuluttajaluoton määritelmän. Kohdalla pannaan täytäntöön direktiivin 3 artiklan 1 kohdan a alakohta sekä osaltaan myös 4 artiklan 2 ja 3 kohta. Olennaista määritelmässä on, että luoton vakuudeksi annetaan asuinhuoneiston hallintaan oikeuttavat yhteisöosuudet, asuinkiinteistö tai kiinteistöä koskeva käyttöoikeus, mutta luotto myönnetään tai luvataan myöntää johonkin muuhun tarkoitukseen kuin tällaisen kohteen hankintaan tai sen omistusoikeuden säilyttämiseen. Jos luoton vakuudeksi annetaan muuta kiinteää omaisuutta, kuten metsäkiinteistö tai liikehuoneisto, luottoa ei pidettäisi asuntovakuudellisena kuluttajaluottona, vaan siihen sovellettaisiin 7 luvun säännöksiä edellyttäen, että kyse on elinkeinonharjoittajan kuluttajalle myöntämästä luotosta. 

Momentin 4 kohta sisältää valuuttaluoton määritelmän. Kohdalla pannaan täytäntöön direktiivin 4 artiklan 28 kohta. Valuuttaluotosta olisi kyse ensinnäkin silloin, kun luotto myönnetään tai se luvataan myöntää muun kuin sen EU- tai ETA-jäsenvaltion valuutassa, jossa kuluttaja asuu. Luottoa pidettäisiin valuuttaluottona esimerkiksi, jos Suomessa asuva kuluttaja ottaa luoton Ruotsin kruunuissa. Samoin kyse olisi kohdassa tarkoitetusta valuuttaluotosta, jos Ruotsissa asuva kuluttaja ottaa euromääräisen luoton. Näin olisi siinäkin tapauksessa, että luoton myöntäisi suomalainen luotonantaja. Ratkaisevaa olisi se, mikä kuluttajan asuinpaikka on luoton myöntöhetkellä.  

Toiseksi valuuttaluotosta olisi määritelmän mukaan kyse silloin, kun luotto myönnetään muun kuin sen valtion valuutassa, jossa kuluttaja saa tulonsa tai jossa hänellä on varoja, joista luotto on tarkoitus maksaa takaisin. Valuuttaluottona pidettäisiin siten esimerkiksi sellaista luottoa, jonka Suomessa asuva kuluttaja ottaa euromääräisenä, jos hän saa tulonsa Ruotsin kruunuina. Ratkaisevaa arvioinnissa on se, missä valuutassa kuluttaja saa pääosan tuloista, joihin kuluttajan luottokelpoisuuden arviointi perustuu, tai vastaavasti missä valuutassa on pääosa varoista, joiden myyntituloista luotto on luottokelpoisuusarvioinnin perusteella tarkoitus maksaa. 

Selvyyden vuoksi on syytä todeta, että luotto ei luoton myöntöhetken jälkeen voi muuttua valuuttaluotoksi esimerkiksi sen johdosta, että kuluttajan asuinvaltio muuttuu.  

Momentin 5 kohta sisältää neuvontapalvelun määritelmän. Kohdalla pannaan täytäntöön direktiivin 4 artiklan 21 kohta. Olennaista määritelmässä on kuluttajalle annettava henkilökohtainen, luottosopimukseen liittyvää päätöksentekoa koskeva suositus. Neuvontapalvelulla ei sen sijaan tarkoiteta tavanomaisena pidettävää luotonantajan tuotteiden esittelyä, asiakkaiden tarpeiden kartoittamista, markkinointia tai laissa säädettyjen tiedonantovelvoitteiden tai selvitysvelvollisuuden täyttämistä.  

Momentin 6 kohta sisältää luotonvälittäjän määritelmän. Kohdalla pannaan täytäntöön direktiivin 4 artiklan 5 kohta. Määritelmä vastaa 7 luvun 7 §:n 6 kohdan määritelmää, mutta koskee vain asuntoluottojen ja asuntovakuudellisten kuluttajaluottojen välittäjiä. Luotonvälittäjänä ei pidettäisi sellaista henkilöä, joka pelkästään tutustuttaa kuluttajaa luotonantajaan tai luotonvälittäjään, kuten kiinteistönvälittäjää, joka antaa asunnon ostoa harkitseville henkilöille tietyn luottolaitoksen yhteystiedot luottotarjouksen saamiseksi.  

Momentin 7 kohta sisältää henkilöstön määritelmän. Henkilöstöllä tarkoitetaan luotonantajan tai luotonvälittäjän palveluksessa olevia tai muutoin tämän lukuun toimivia henkilöitä, jotka osallistuvat asunto-omaisuuteen liittyvien kuluttajaluottojen myöntämiseen tai niiden välittämiseen. Lisäksi henkilöstön määritelmä kattaa ne henkilöt, joiden välittömän johdon ja valvonnan alaisena ensiksi mainitut henkilöt toimivat. Kohdalla pannaan osaltaan täytäntöön direktiivin 4 artiklan 11 kohta. 

Momentin 8 kohdassa määritellään tietojen antaminen pysyvällä tavalla. Määritelmä perustuu direktiivin 4 artiklan 18 kohtaan sisältyvän viittaussäännöksen nojalla kulutusluottodirektiivin 3 artiklan m kohtaan. Määritelmä vastaa 7 luvun 7 §:n 7 kohdan määritelmää. 

Pykälän 2 momentilla pannaan täytäntöön direktiivin 4 artiklan 13 kohta. Momentin mukainen luottokustannusten määritelmä on 7 luvun 6 §:n vastaavaa määritelmää laajempi. 

Luottokustannuksiin luettaisiin jatkossa myös asuntoluottojen osalta 7 luvun 6 §:n 2 momentista poiketen vakuuden arvon turvaamiseksi vaaditun vakuutuksen kustannukset. Direktiivin määritelmän mukaisesti luottokustannuksiin luettaisiin mukaan myös omaisuuden arviointikustannukset, jos luoton saaminen edellyttää tällaista arviointia. Tätä ei ole kuitenkaan tarpeen erikseen mainita kansallisessa säännöksessä, sillä kyse on tällöin luottosuhteen johdosta perittävästä kustannuksesta. Direktiivin määritelmän mukaisesti kiinteän omaisuuden omistusoikeuden siirrosta maksettavia rekisteröintikustannuksia ei sitä vastoin pidettäisi luottokustannuksina. Tällaisiakaan kustannuksia ei ole tarpeen erikseen luottokustannusten määritelmässä mainita, sillä kyse ei ole luottosuhteen johdosta perittävistä kustannuksista. Muilta osin luottokustannusten määritelmä vastaa voimassa olevaa 7 luvun 6 §:n mukaista määritelmää.  

Pykälän 3 momentti sisältämä todellisen vuosikoron määritelmä vastaa 7 luvun 6 §:n 3 momentin määritelmää. Määritelmä perustuu direktiivin 4 artiklan 15 kohtaan. 

Todellisen vuosikoron laskemistavasta ja sen laskemisessa käytettävistä oletuksista säädettäisiin oikeusministeriön asetuksella, ja momentti sisältäisikin tätä koskevan valtuuden. 

Tiedonantovelvollisuudet 

4 §.Yleinen tiedonantovelvollisuus. Pykälä on uusi, ja sillä pannaan täytäntöön direktiivin 13 artiklan 1 kohta. Pykälässä säädetään tiedoista, jotka luotonantajan ja luotonantajan asiamiesten on pidettävä yleisesti saatavilla tarjoamistaan luotoista. Tiedot on pidettävä saatavilla paperilla esimerkiksi luotonantajan toimipisteissä tai sähköisesti esimerkiksi luotonantajan verkkosivuilla.  

Tietojen on oltava selkeät ja kattavat. Tiedoissa on mainittava ainakin pykälässä mainitut seikat, mutta tarvittaessa myös muut olennaiset seikat asianmukaisen yleiskuvan antamiseksi tarjotuista luotoista.  

Yleisesti saatavilla olisi pidettävä muun muassa tiedot luotonantajan tai asiamiehen nimestä ja käyntiosoitteesta, luoton käyttötarkoituksesta, luotonantajan hyväksymistä vakuusmuodoista ja luottosopimusten kestosta. Käyntiosoitteen ilmoittamisen osalta riittävää on esimerkiksi se, että luotonantajan verkkosivuilta löytyy listaus luotonantajan konttoreista. Tiedonantovelvollisuus koskee myös tarjolla olevia lainakorkotyyppejä, valuuttaluottojen merkitystä kuluttajalle, lisäpalveluita, luoton takaisinmaksuvaihtoehtoja ja sopimusrikkomuksen seurauksia. Valuuttaluottojen osalta tietoja olisi annettava valuuttakurssin muutoksesta kuluttajalle aiheutuvasta riskistä. Lisäksi saatavilla olisi pidettävä edustava esimerkki luoton määrästä tai luottorajasta, luottokustannuksista, kuluttajan maksettavaksi tulevan luoton ja luottokustannusten yhteismäärästä ja luoton todellisesta vuosikorosta sekä tiedot luottosopimuksen yhteydessä kuluttajan maksettavista mahdollisista lisäkustannuksista, jotka eivät sisälly luottokustannuksiin. 

Selvyyden vuoksi on syytä mainita, että yleistiedoissa mainituista seikoista voidaan tietysti sopia toisin yksittäisen kuluttajan kanssa. Esimerkiksi luottosopimuksen kesto, lainan marginaali sekä tarve omaisuuden arviointiin ovat tyypillisesti seikkoja, jotka vaihtelevat asiakaskohtaisesti.  

Pykälä täydentää muualla laissa säädettyjä tiedonantovelvoitteita. Tällaisia tiedonantovelvoitteita sisältyy muun muassa tietoyhteiskuntakaaren (917/2014) 177 §:ään. 

5 §.Asuntoluoton mainonnassa annettavat tiedot. Pykälässä säädetään tiedonantovelvollisuuksista asuntoluoton mainonnassa. Toisin kuin direktiivin 11 artikla, pykälä koskee vain asuntoluottoja. Asuntovakuudellisia kuluttajaluottoja koskevassa mainonnassa annettaviin tietoihin sovelletaan 7 luvun 8 §:ää 7 a luvun 9 §:ään sisältyvän viittaussäännöksen perusteella. 

Pykälän 1 momentissa säädetään mainonnassa annettavista tiedoista silloin, kun mainonnasta ilmenee luoton korko, muu luotosta perittäviä kustannuksia kuvaava luku, esimerkiksi luoton käsittelykulut tai toimituskulut, tai muu luottosopimuksen ehtoja koskeva tieto, esimerkiksi luottoaika. Momentilla pannaan täytäntöön direktiivin 11 artiklan 1 ja 2 kohta. Momentin mukainen tiedonantovelvollisuus olisi kuitenkin laajempi kuin mitä direktiivissä edellytetään, sillä tiedonantovelvollisuus koskee direktiivin 11 artiklan 1 kohdan mukaan vain sellaista mainontaa, josta ilmenee luoton korko tai muu luotosta perittäviä kustannuksia kuvaava luku. Ehdotetun momentin mukaan tiedonantovelvollisuus koskee myös mainontaa, josta ilmenee luottosopimuksen ehtoja koskeva muu tieto, ja vastaisi siten muita kuluttajaluottoja koskevaa 7 luvun 8 §:n 1 momentin säännöstä. Syitä säännöksen laajempaan soveltamisalaan selvitetään yleisperusteluissa 5.2 jaksossa. 

Jos mainonnasta ilmenee jokin edellä mainituista seikoista, mainonnassa on ilmoitettava myös luoton todellinen vuosikorko. Lisäksi mainonnasta on käytävä ilmi luotonantajan tai mahdollisen luotonvälittäjän nimi, tarvittaessa maininta edellytetystä luottosopimuksen vakuudesta, luoton korko ja muut luottokustannukset sekä luoton määrä tai luottoraja. Mainittava on myös luottosopimuksen kesto eli se, onko kyse määräaikaisesta vai toistaiseksi voimassa olevasta luottosopimuksesta sekä mikä on mahdollisen määräajan pituus. Lisäksi on ilmoitettava maksuerien suuruus ja lukumäärä, luoton ja luottokustannusten yhteismäärä sekä tarvittaessa varoitus siitä, että valuuttakurssien muutokset voivat vaikuttaa kuluttajan maksettavaksi tulevien summien määrään.  

Pykälän 2 momentin mukaan luoton todellinen vuosikorko ja muut 1 momentissa tarkoitetut tiedot on annettava selkeästi, tiiviisti ja näkyvästi edustavan esimerkin avulla. Selkeyttä, tiiviyttä ja näkyvyyttä koskevan vaatimuksen sisältöä selvitetään edellä 7 luvun 8 §:n 2 momentin yhteydessä. Finanssivalvonnan tehtävänä olisi antaa tarkemmat määräykset edustavan esimerkin määräytymisen perusteista. Esimerkin tulisi kuvastaa markkinoilla tyypillisesti tarjolla olevia asuntoluottoja. Jos luotonantaja ei ollenkaan tarjoa tällaista luottoa, tällöin esimerkin tulisi olla edustava suhteessa kyseessä olevan luotonantajan tarjoamiin luottoihin. Lisäksi momentissa säädetään, että todellinen vuosikorko on ilmoitettava mainonnassa vähintään yhtä näkyvästi kuin muut luoton kustannuksia kuvaavat luvut. Momentilla pannaan täytäntöön direktiivin 11 artiklan 2, 3 ja 5 kohta. 

Pykälän 3 momentin mukaan mainonnassa on yhdessä luoton todellisen vuosikoron kanssa ilmoitettava kuluttajalle velvollisuudesta tehdä vakuutusta tai muuta lisäpalvelua koskeva sopimus, jos tällaisen sopimuksen tekeminen on edellytyksenä luoton saamiselle mainostetuin ehdoin, mutta lisäpalvelun kustannukset eivät ole ennakolta määriteltävissä, jolloin niitä ei siis voi ottaa huomioon todellista vuosikorkoa laskettaessa. Vastaava ilmoitusvelvollisuus sisältyy 7 luvun 8 §:n 3 momenttiin. Momentilla pannaan täytäntöön direktiivin 11 artiklan 4 kohta. 

6 §.Ennen asuntoluottosopimuksen tekemistä annettavat tiedot. Pykälän 1 momentissa säädetään ennen asuntoluottosopimuksen tekemistä annettavista tiedoista. Vastaavasti kuin 5 § käsiteltävä pykälä ei koskisi asuntovakuudellisia kuluttajaluottoja, vaan niitä koskevista ennakkotiedonantovelvoitteista säädettäisiin 9 §:ssä. 

Luotonantajan ja luotonvälittäjän on annettava kuluttajalle tiedot momentissa mainituista seikoista ilman aiheetonta viivytystä sen jälkeen, kun kuluttaja on antanut tietoja luottoon liittyvistä odotuksistaan ja tarpeistaan sekä taloudellisista olosuhteistaan, ja hyvissä ajoin ennen asuntoluottosopimuksen tekemistä. Kyse ei olisi mistä tahansa kuluttajan antamista tämän olosuhteita koskevista tiedoista, vaan säännöksellä on liityntä 12 §:n mukaiseen luotonantajan pyyntöön kuluttajalle tietojen toimittamiseksi tämän luottokelpoisuuden arvioimiseksi. Tarkoituksena on, että annettavissa ennakkotiedoissa otetaan näin huomioon kuluttajan henkilökohtaiset olosuhteet sekä odotukset ja tarpeet toisin kuin 4 §:n nojalla saatavilla pidettävissä yleisissä tiedoissa.  

Ennakkotiedot on annettava pysyvällä tavalla ESIS-lomaketta käyttäen. Tietojen antaminen pysyvällä tavalla on määritelty 3 §:n 1 momentin 8 kohdassa.  

Momentissa todetaan lisäksi selvyyden vuoksi, että jos muualla laissa säädetään tiedonantovelvoitteista, luotonantajan on annettava myös näissä muissa laeissa edellytetyt tiedot kuluttajalle. Tapauksesta riippuen sovellettavaksi voivat tulla esimerkiksi 6 a luvun säännökset rahoituspalvelujen ja rahoitusvälineiden etämyynnistä sekä tietoyhteiskuntakaaren 177 §:n säännökset. 

Ennakkotiedoista ja ESIS-lomakkeesta on tarkoitus säätää tarkemmin valtioneuvoston asetuksella, ja pykälän 2 momentti sisältäisikin tätä koskevan valtuuden. 

Pykälällä ja siihen liittyvällä asetuksella pannaan täytäntöön direktiivin 14 artiklan 1 ja 2 kohta. 

7 §.Asuntoluoton tarjoaminen puhelimitse. Pykälässä säädetään vähimmäistiedoista, jotka kuluttajalle on annettava asuntoluottojen puhelinmyynnissä. Vastaavasti kuin 5 ja 6 §:n mukainen tiedonantovelvollisuus pykälä ei koskisi asuntovakuudellisia kuluttajaluottoja, vaan niitä koskevista ennakkotiedonantovelvoitteista säädettäisiin 9 §:ssä. 

Puhelinmyynnillä tarkoitetaan perinteistä puhelinmyyntiä, jossa luotonantaja tarjoaa luottoa suullisesti, eikä siis asiointia esimerkiksi tekstiviestillä. Säännöstä sovelletaan siitä riippumatta, tapahtuuko yhteydenotto kuluttajan vai luotonantajan aloitteesta, ja sitä sovelletaan paitsi etämyyntitilanteissa myös silloin, kun luottoa tarjotaan puhelimessa, vaikka itse sopimus tehtäisiinkin lopulta esimerkiksi elinkeinonharjoittajan toimitiloissa. Jos kyse on etämyynnistä, sovellettavaksi tulevat myös 6 a luvun säännökset etämyynnissä annettavista ennakkotiedoista.  

Tiedonantovelvoitteet puhelinmyynnissä ovat suppeammat kuin muissa tapauksissa. Ehdotuksen mukaan puhelinmyynnissä luotonantajan tai luotonvälittäjän on annettava kuluttajalle tiedot tarjottavasta luotosta, korosta ja muista kustannuksista ja luoton takaisinmaksusta. Ennakkotiedoista säädettäisiin tarkemmin valtioneuvoston asetuksella. 

Pykälällä ja siihen liittyvällä asetuksella pannaan täytäntöön direktiivin 14 artiklan 10 kohta. 

8 §.Tietojen maksuttomuus. Pykälässä kielletään maksujen periminen kuluttajalta luvussa edellytettyjen tietojen antamisesta. Lähtökohtana on muutoinkin, että elinkeinonharjoittajan lakisääteisten tiedonantovelvollisuuksien täyttämisestä ei saa periä kuluttajalta erillistä maksua, mutta oikeusvarmuuden vuoksi pidetään perusteltuna, että direktiivin 8 artikla tietojen maksuttomuudesta pannaan täytäntöön nimenomaisella säännöksellä.  

9 §.Asuntovakuudellisia kuluttajaluottoja koskevat tiedonantovelvoitteet. Pykälässä säädetään asuntovakuudellisia kuluttajaluottoja koskevista tiedonantovelvoitteista. Asuntovakuudellisen kuluttajaluoton mainontaan sovelletaan 7 luvun 8 §:n säännöksiä ja tiedonantovelvollisuuteen ennen luottosopimuksen tekemistä mainitun luvun 9—12 §:n säännöksiä. Pykälä perustuu direktiivin 3 artiklan 3 kohdan a alakohdassa jäsenvaltioille varattuun mahdollisuuteen soveltaa asuntovakuudellisiin kuluttajaluottoihin tiettyjä kulutusluottodirektiivin tiedonantovelvoitteita koskevia säännöksiä. Syitä jäsenvaltio-option käyttöön selvitetään yleisperustelujen 5.2 jaksossa.  

Luotonantajan ja luotonvälittäjän on lisäksi antaessaan kuluttajalle 7 luvun 9 ja 10 §:ssä tarkoitettuja tietoja ilmoitettava, tarjoaako luotonantaja tai luotonvälittäjä neuvontapalveluja. Säännöksellä pannaan osaltaan täytäntöön direktiivin 22 artiklan 1 kohta. On kuitenkin huomattava, että 2. lakiehdotuksen 4 §:stä johtuu, ettei luotonantajalla ole oikeutta tarjota neuvontapalveluja.  

Luotonantajan velvollisuus menetellä vastuullisesti luottoa myönnettäessä 

10 §.Kuluttajien luottokelpoisuuden arvioinnissa käytettävät menettelytavat ja tiedot. Pykälän 1 momentissa säädetään luotonantajan velvollisuudesta määritellä tiedot, joiden perusteella kuluttajien luottokelpoisuus arvioidaan, sekä luottokelpoisuuden arvioinnissa käytettävät menettelytavat. Luottokelpoisuuden arvioinnissa käytettävillä menettelytavoilla tarkoitetaan paitsi niitä konkreettisia toimia, joilla kuluttajan luottokelpoisuus arvioidaan, myös tapoja, joilla luottokelpoisuuden arvioinnissa käytettävien tietojen oikeellisuus varmistetaan. Momentti perustuu direktiivin 18 artiklan 2 kohtaan. 

Selvyyden vuoksi on syytä todeta, että säännöksessä ei edellytetä siinä mainittujen tietojen pitämistä julkisesti luotonantajan asiakkaiden saatavilla. Kyseiset tiedot ja menettelytavat saattavat sisältää luotonantajan liikesalaisuuden piiriin kuuluvia seikkoja.  

Pykälän 2 momentti koskee sellaisen luotonantajan henkilöstön palkitsemista, jotka vastaavat luottokelpoisuuden arvioinnista. Momentin säännöksiä sovelletaan sekä niihin henkilöihin, jotka käytännössä vastaavat yksittäisten kuluttajien luottokelpoisuuden arvioinnoista, että niihin, jotka määrittelevät 1 momentissa tarkoitetut tiedot ja menettelytavat.  

Luotonantajan on momentin mukaan laatiessaan ja soveltaessaan edellä tarkoitettujen henkilöiden palkitsemista koskevia linjauksia varmistettava, että linjaukset ehkäisevät eturistiriitojen syntymistä. Momentissa mainittaisiin erikseen, ettei henkilöstön palkkion määrä saa olla riippuvainen hyväksyttyjen luottohakemusten määrästä tai osuudesta. Momentin säännökset täydentävät luottolaitosten osalta luottolaitostoiminnasta annetun lain 8 luvun säännöksiä, ja sillä pannaan osaltaan täytäntöön direktiivin 7 artiklan 3 kohdan b alakohta. 

Pykälän 3 momentissa asetetaan lisäkriteerejä palkitsemista koskeville linjauksille, ja sillä pannaan täytäntöön direktiivin 7 artiklan 3 kohta. 

11 §.Velvollisuus arvioida kuluttajan luottokelpoisuus. Pykälässä säädetään kuluttajan luottokelpoisuuden arvioinnista. Pykälän 1 momentissa luotonantajalle asetetaan velvollisuus arvioida kuluttajan luottokelpoisuus huolellisesti ennen luottosopimuksen tekemistä. Luottokelpoisuuden arviointi on suoritettava kuluttajan tuloja ja menoja sekä muita taloudellisia olosuhteita koskevien tarpeellisten, riittävien ja oikeasuhtaisten tietojen perusteella. Momentti vastaa periaatteiltaan muita kuluttajaluottoja koskevaa 7 luvun 14 §:ää, mutta on yksityiskohtaisempi. Momentilla pannaan täytäntöön direktiivin 18 artiklan 1 kohta ja 20 artiklan 1 kohta. 

Luottokelpoisuuden arvioinnissa on otettava huomioon kaikki tarpeelliset ja merkitykselliset tekijät, jotka voivat vaikuttaa kuluttajan kykyyn maksaa luotto takaisin luottoaikana. Pelkkien luottotietojen tarkistaminen ei olisi riittävää kuluttajan luottokelpoisuuden arvioimiseksi, vaan luotonantajan tulisi hankkia myös muita tietoja kuluttajan taloudellisesta asemasta kuluttajalta itseltään ja muista käytettävissä olevista tarkoituksenmukaisista sisäisistä tai ulkoisista lähteistä. Tarpeellisia tietoja kuluttajan luottokelpoisuuden arvioimiseksi ovat esimerkiksi kuluttajan tulot, varallisuus, menot, velat ja mahdolliset takausvastuut. Maksuvaran selvittämisessä tulisi ottaa huomioon myös mahdollinen luoton korkomenojen nouseminen. Samoin tulisi ottaa huomioon tulojen jatkuvuuteen vaikuttavat seikat, kuten työ- tai virkasuhteen laatu. Mitä suuremmasta lainasta on kyse, sitä seikkaperäisemmät selvitykset ovat tarpeen. Tietojen tulee samanaikaisesti olla oikeasuhtaisia, eli luottokelpoisuuden arvioimiseksi käytettävät tiedot eivät saa olla suhteettoman laajoja tavoiteltuun päämäärään nähden. Tietojen tulee myös olla sellaisia, että luotonantajalla on henkilötietojen suojaa koskevien säännösten mukaan oikeus tallettaa ja käyttää sellaisia tietoja. 

Käytettävien tietojen tulee olla luotettavia, minkä vuoksi luotonantajan olisikin varmistettava tietojen paikkansapitävyys asianmukaisesti. Esimerkiksi tulotietojen varmistamiseksi kuluttajaa tulisi tilanteen mukaan pyytää toimittamaan esimerkiksi palkka- tai eläketodistus taikka maanviljelijöiden viimeisin verotuspäätös ja erittelyosa. Riittävää ei siis ole, että kuluttajaa pyydetään vain lainahakemuksessa vahvistamaan esimerkiksi allekirjoituksellaan annettujen tulotietojen oikeellisuus. Kuluttajan ilmoittamien menoja koskevien tietojen paikkaansa pitävyyttä luotonantajan tulisi arvioida esimerkiksi vertaamalla niitä samankaltaisten kuluttajien keskimääräisiin elinkustannuksiin. Tarvittaessa luotonantaja voi myös edellyttää asiakkaalta lisäselvitystä ja dokumentaatiota annettujen menotietojen paikkansa pitävyyden varmistamiseksi.  

Luotonantajan on edellä tarkoitettujen tietojen perusteella, joiden luotettavuus on asianmukaisesti varmistettu, arvioitava, kykeneekö kuluttaja täyttämään luottosopimuksen mukaiset velvoitteensa. Kuten direktiivin 18 artiklan 3 kohdassa todetaan, kuluttajan luottokelpoisuuden arviointi ei saa pääasiallisesti perustua siihen, että luoton vakuudeksi annettavan omaisuuden arvo ylittää luoton määrän tai että sen arvon odotetaan vastaisuudessa ylittävän luoton määrän. Poikkeuksen muodostavat ne tilanteet, jolloin kuluttajan tarkoituksena on alun perin, että velka suoritetaan luottoajan päätyttyä omaisuuden myynnistä saatavalla kauppahinnalla, eikä tavanomaiseen tapaan luottosuhteen aikana saatavilla tuloilla. 

Pykälän 2 momentti koskee tilanteita, joissa luoton määrää tai luottorajaa myöhemmin korotetaan. Momentin mukaan luotonantajalla on tällöin velvollisuus varmistaa kuluttajaa koskevien tietojen ajantasaisuus. Jos korotus on merkittävä, kuluttajan luottokelpoisuus olisi arvioitava uudelleen ennen korotuksesta sopimista. Säännös perustuu direktiiviin 18 artiklan 6 kohtaan ja vastaa 7 luvun 14 §:n 2 momenttia. 

Pykälän 3 momentissa säädetään luotonantajan velvollisuudesta säilyttää tiedot kuluttajan luottokelpoisuuden arviointia koskevista toimista. Säilyttämisvelvollisuus kestäisi viiden vuoden ajan siitä, kun luotto on kokonaisuudessaan erääntynyt maksettavaksi. Jos luottosopimuksesta syntyy erimielisyyksiä, tiedot olisi kuitenkin säilytettävä siihen saakka, kunnes asia on sovittu tai ratkaistu. Tietojen säilyttäminen voisi tapahtua joko paperilla tai sähköisesti luotonantajan tietojärjestelmissä. Säännös perustuu direktiivin 18 artiklan 2 kohtaan, mutta oikeusvarmuuden vuoksi pidetään perusteltuna säätää myös tietojen säilyttämisajasta. Säilyttämisaika vastaa henkilöllisyyden todentamista koskevien tietojen 7 luvun 16 §:ssä säädettyä säilyttämisaikaa.  

12 §.Tietojen pyytäminen kuluttajalta. Pykälässä säädetään tietojen pyytämisestä kuluttajalta luottokelpoisuuden arviointia varten. Pykälän 1 momentin ensimmäisen virkkeen mukaan luotonantajan tulee ilmoittaa kuluttajalle, mitä tietoja tämän on toimitettava luotonantajalle luottokelpoisuuden arviointia varten sekä tietojen toimittamisen määräaika. Luotonantajan tulee eritellä selkeästi ja yksinkertaisesti tarvittavat tiedot. Luotonantajan voi olla tarpeen pyytää myös todistuksia ja muita asiakirjoja sen varmistamiseksi, että annettavat tiedot pitävät paikkansa. Kuten luottokelpoisuutta arvioitaessa muutoinkin, tietoja koskevan pyynnön on oltava oikeasuhtainen ja rajoituttava siihen, mikä on tarpeen luottokelpoisuuden arvioimiseksi asianmukaisesti. Luotonantajalla on mahdollisuus pyytää lisäselvitystä kuluttajalta, jos sen ei kuluttajan toimittamien tietojen perusteella ole mahdollista suorittaa luottokelpoisuuden arviointia. Säännöksellä pannaan täytäntöön direktiivin 20 artiklan 3 kohta. 

Momentin toisen virkkeen mukaan kuluttajalle tulee kyseisten tietojen pyytämisen yhteydessä mainita, että tietojen toimittamatta jättäminen voi johtaa siihen, että luottoa ei myönnetä. Jos tietopyynnön tekee luotonantajan sijasta luotonvälittäjä, tulee tämän mainita asiasta. Kyseinen varoitus voidaan esittää kuluttajalle myös vakiomuotoisena. Säännöksellä pannaan täytäntöön direktiivin 20 artiklan 4 kohta. 

Pykälän 2 momentin mukaan luotonvälittäjän on toimitettava kuluttajalta saadut tiedot asianmukaisesti luotonantajalle, jos kuluttaja on toimittanut 1 momentissa tarkoitetut tiedot luotonvälittäjälle. Momentilla pannaan täytäntöön direktiivin 20 artiklan 2 kohta. 

13 §.Vakuusmuodot ja vakuudeksi hyväksyttävän omaisuuden arviointi. Pykälässä säädetään luoton vakuuksiin liittyvistä seikoista. Pykälän säännökset täydentävät periaatteiltaan sitä, mitä luottolaitoksilta on edellytetty jo aikaisemmin niiden riskienhallintaa koskevassa lainsäädännössä ja sen nojalla annetuissa Finanssivalvonnan määräyksissä ja ohjeissa (Standardi 4.4a, Luottoriskien hallinta, erityisesti 28 kohta).  

Pykälän 1 momentin mukaan luotonantajan on määriteltävä vakuusmuodot, jotka se hyväksyy luottosopimuksen vakuudeksi. Luotonantajan on määriteltävä, hyväksyykö se esinevakuuksien ohella myös henkilövakuudet ja minkälaista omaisuutta se hyväksyy esinevakuutena. 

Pykälän 2 momentti koskee omaisuuden arvioitsijoita ja arviointistandardeja, ja sillä pannaan osaltaan täytäntöön direktiivin 19 artiklan 1 ja 2 kohta. Momentissa asetetaan luotonantajalle ensinnäkin velvollisuus varmistaa, että luottosopimuksen vakuudeksi annettavan asunto-omaisuuden arvioitsija on riittävän riippumaton luoton myöntämisestä. Arvioitsijaa ei olisi pidettävä riittävän riippumattomana, jos hän paitsi arvioi vakuudeksi annettavan omaisuuden myös yksin päättää luoton myöntämisestä.  

Lisäksi momentissa edellytetään, että omaisuuden arvioinnissa käytetään luotettavia, standardeihin perustuvia arviointimenettelyjä. Säännös ei edellytä sitä, että standardien tulisi olla julkisesti kuluttajien saatavilla. Standardeihin perustuvia arviointimenetelmiä voidaan pitää luotettavina, jos niissä otetaan huomioon kansainvälisesti tunnustetut arvonmääritysstandardit. Tällaisina kansainvälisesti tunnustettuina standardeina pidetään direktiivin johdanto-osan 26 kappaleen mukaan erityisesti kansainvälisiä arvonmääritysstandardeja antavan komitean, Euroopan arviointiyhdistysten kattojärjestön tai Royal Institution of Chartered Surveyors -organisaation kehittämiä arvonmääritysstandardeja.  

Pykälän 3 momentissa säädetään tehdyn arvion säilyttämisestä. Momentti perustuu direktiivin 19 artiklan 2 kohtaan, mutta oikeusvarmuussyistä ehdotetaan säädettäväksi myös säilyttämisajasta. Arvio olisi säilytettävä viiden vuoden ajan siitä, kun luotto on kokonaisuudessaan erääntynyt maksettavaksi. Jos luottosopimuksesta syntyy erimielisyys, tulee arvio kuitenkin säilyttää siihen saakka, kunnes asia on sovittu tai ratkaistu. Arvio voidaan säilyttää paperilla tai sähköisesti esimerkiksi luotonantajan tietojärjestelmissä. Säilytysaika vastaa 11 §:n mukaista luottotietojen arviointia koskevien tietojen säilyttämisaikaa. Säilytettävä on paitsi arvion lopputulos myös sen perusteet ja maininta arvioitsijasta.  

Luottosopimuksen tekeminen 

14 §.Luottotarjous. Pykälässä säädetään luottotarjouksen tekemisestä, ja sillä pannaan täytäntöön direktiivin 14 artiklan 3 ja 11 kohta. Jos luotonantaja tekee tarjouksen, hänen on tehtävä se 1 momentin mukaan pysyvällä tavalla. Toisin kuin direktiivin 14 artiklan 3 kohdassa, momentissa ei nimenomaisesti mainita, että pysyvää tapaa koskeva vaatimus koskee niitä tilanteita, joissa tarjous sitoo luotonantajaa. Lähtökohtana on varallisuusoikeudellisista oikeustoimista annetun lain (228/1929) mukaan, että tarjous sitoo tekijäänsä, eikä sitovuutta ole sen johdosta tarpeen momentissa nimenomaisesti mainita. Säännös ei siten koske esimerkiksi alustavien, ei-sitovien tietojen antamista asiakkaalle tarjottavista luottoehdoista. Säännös ei koske myöskään tapauksia, joissa kuluttaja tekee luotonantajalle tarjouksen sopimuksen tekemisestä.  

Luottotarjouksessa on momentin mukaan oltava kaikki luottosopimusta koskevat ehdot. Luottotarjous ehtoineen vastaa sisällöllisesti luottosopimusluonnosta, minkä johdosta ei ole tarvetta panna erikseen täytäntöön direktiivin 14 artiklan 11 kohtaa, jonka mukaan kuluttajalle on tarjouduttava antamaan kopio luottosopimuksen luonnoksesta samalla, kun luotonantajaa sitova tarjous tehdään. 

Pykälän 2 momentin mukaan tarjouksen mukana on annettava ESIS-lomake, jos kuluttaja ei ole saanut kyseistä lomaketta aiemmin tai jos tarjous poikkeaa sisällöltään lomakkeella aikaisemmin annetuista tiedoista.  

15 §.Luottosopimus. Luottosopimuksen tekemistä koskeva säännös ei pääosin perustu direktiiviin, vaan se on kansallista sääntelyä. Pykälä vastaa sisällöltään 7 luvun 17 §:ää.  

Pykälän 1 momentin mukaan luottosopimus on tehtävä kirjallisesti, ja kuluttajalle on annettava kappale sopimusta. Selvyyden vuoksi momentissa mainitaan erikseen, että sopimus voidaan tehdä myös sähköisesti siten, että kuluttaja voi tallentaa ja toisintaa sopimuksen muuttumattomana.  

Pykälän 2 momentissa säädetään luottosopimuksessa mainittavista tiedoista, joita ovat ennen sopimuksen tekemistä annettavien tietojen lisäksi muun muassa tiedot luottosopimuksen osapuolista, valuuttaluottoihin liittyvistä riskeistä ja kuluttajan mahdollisuudesta rajoittaa niitä, peruuttamisoikeuden käyttämisen edellytyksistä, luottosopimuksen irtisanomisesta tai muusta päättämisestä sekä oikeussuojakeinoista ja valvontaviranomaisista. Lisäksi luottosopimuksessa olisi mainittava kaikki sopimusehdot. Valuuttaluottoja koskevalla säännöksellä pannaan osaltaan täytäntöön direktiivin 23 artiklan 6 kohta.  

Pykälän 3 momentti sisältää valtuussäännöksen säätää sopimuksessa mainittavista tiedoista tarkemmin valtioneuvoston asetuksella.  

Pykälän 4 momentin mukaan kuluttajalta ei saa luottosuhteen perusteella periä korkoa tai maksuja, joista ei ole sovittu luottosopimuksessa.  

16 §.Luottohakemuksen hylkääminen. Pykälän 1 momentin mukaan luottoa hakeneelle kuluttajalle on viipymättä ilmoitettava luottohakemuksen hylkäämisestä. Pykälällä pannaan täytäntöön direktiivin 18 artiklan 5 kohdan c alakohta. Luotonmyöntöprosessin läpinäkyvyyden lisäämiseksi momentissa ehdotetaan myös, että kuluttajalle on pyynnöstä ilmoitettava hylkäysperuste kirjallisesti. Tätä velvollisuutta ei kuitenkaan ole silloin, kun hylkäys perustuu rahanpesun ja terrorismin rahoittamisen estämisestä ja selvittämisestä annetun lain (503/2008) 26 §:ään.  

Luotonantajalta ei edellytettäisi yksityiskohtaisen selvityksen antamista hylkäysperusteesta jo siitä syystä, että hylkäysperusteeseen voi liittyä esimerkiksi liikesalaisuuden piiriin kuuluvaa informaatiota. Ilmoitusvelvollisuuden täyttämiseksi riittävää olisi, että kuluttajalle ilmoitetaan pääasiallinen syy tai pääasialliset syyt luottohakemuksen hylkäämiseen. Ilmoituksen on kuitenkin oltava yksilöllinen ja siinä määrin informatiivinen, että syy kuluttajan luottohakemuksen hylkäämiseen käy siitä selkeästi ilmi. 

Pykälän 2 momentissa viitataan luottotietolakiin, jossa säädetään tiedoista, jotka kuluttajalle on annettava, jos hylkääminen perustuu luottotietorekisteristä saatuihin henkilöluottotietoihin.  

Luottosopimuksen peruuttaminen 

17 §.Peruuttamisoikeus. Pykälässä säädetään kuluttajan oikeudesta peruuttaa luottosopimus. Jo nykyisin kuluttajalla on oikeus peruuttaa kuluttajaluottosopimus, mutta 7 luvun 3 §:n 2 momentin mukaan peruuttamisoikeutta ei ole asuntoluotoissa lukuun ottamatta tapauksia, joissa asuntoluottoa tarjotaan koti- tai etämyynnissä. Pykälän mukainen peruuttamisoikeus koskisi sekä asuntoluottoja että asuntovakuudellisia kuluttajaluottoja.  

Pykälällä pannaan täytäntöön direktiivin 14 artiklan 6 kohta, jossa jäsenvaltioiden edellytetään määrittelevän vähintään seitsemän päivän pituinen määräaika kuluttajan päätöksenteolle. Tämä määräaika voi olla joko luottosopimuksen tekemistä edeltävä harkinta-aika, sopimuksen tekemistä seuraava peruuttamisaika taikka näiden yhdistelmä. Syitä peruuttamisoikeuden valitsemiselle selvitetään yleisperustelujen 5.2 jaksossa.  

Kuluttajalla on 1 momentin mukaan oikeus peruuttaa luottosopimus 14 päivän kuluessa sopimuksen tekemisestä tai siitä myöhäisemmästä ajankohdasta, jona kuluttaja on saanut laissa edellytetyt tiedot sisältävän kappaleen luottosopimuksesta. Peruuttamisesta olisi ilmoitettava luotonantajalle pysyvällä tavalla eli esimerkiksi kirjeellä tai sähköpostilla. Kuluttajan ei tarvitsisi perustella peruuttamisoikeuden käyttämistä. Jos kuluttajat ovat ottaneet luoton yhteisvastuullisesti vastattavakseen, yhden velallisen käyttäessä peruuttamisoikeuttaan luottosopimus peruuntuu samanaikaisesti muiden velallisten osalta. 

Pykälän 2 momentissa säädetään luotonantajan oikeudesta vaatia kuluttajalta korvausta peruuttamisesta. Momentin mukaan luotonantajalla on oikeus vaatia luoton korko ajalta, jonka luotto on ollut kuluttajan käytettävissä. Lisäksi luotonantajalla olisi oikeus saada kuluttajalta korvaus viranomaismaksuista, jos niitä ei peruuttamistapauksessa palauteta. Muita kuluja, esimerkiksi luottotietojen tarkistamisesta aiheutuneita kuluja, ei saisi kuluttajalta peruuttamistilanteessa periä. Jos kuluttajalle ei ole ilmoitettu ennakolta maksuvelvollisuudesta tai koron ja maksujen määrästä taikka, jos koron määrää ei ole mahdollista antaa, sen määräytymisen perusteista, edes korkoa tai viranomaismaksuja ei saisi periä kuluttajalta.  

Pykälän 3 momentin mukaan kuluttajan on palautettava varat ja suoritettava mahdolliset 2 momentissa tarkoitetut korvaukset viivytyksettä ja viimeistään 30 päivän kuluttua peruuttamisilmoituksen lähettämisestä. Jos kuluttaja laiminlyö palautusvelvollisuutensa, peruuttaminen raukeaa ja luottosopimus jää voimaan. Maksuvelvollisuuden täyttämisestä saa kuitenkin pidättäytyä niin kauan kunnes luotonantaja täyttää oman vastaavan velvollisuutensa eli palauttaa kuluttajan luottosopimukseen liittyen tekemät suoritukset vähennettynä niillä suorituksilla, jotka luotonantaja saa pitää 2 momentin mukaisesti. Jos peruutettavalle luotolle on annettu vakuus, se on palautettava kuluttajan palauttaessa luottosopimuksen nojalla saamansa varat luotonantajalle.  

18 §.Liitännäissopimuksen sitomattomuus. Pykälässä säädettäisiin liitännäissopimuksen sitomattomuudesta kuluttajan peruuttaessa luottosopimuksen. Säännös ei perustu direktiiviin, vaan on kansallista sääntelyä. Vastaava säännös sisältyy 7 luvun 21 §:ään. Usein luottosopimukseen liittyvä muu sopimus, esimerkiksi lainaturvavakuutus, on niin vahvasti sidoksissa itse luottoon, ettei sen voimassa pitäminen olisi mielekästä luottosopimuksen peruuntuessa. Ehdotetun 1 momentin mukaan liitännäissopimus ei peruuttamistilanteissa sido kuluttajaa silloin, kun liitännäispalvelun tarjoaa luotonantaja tai kolmas tämän ja luotonantajan välisen sopimuksen tai muun järjestelyn perusteella. Pykälässä tarkoitettu liitännäispalvelu voi olla palvelu, joka on tarjottu osana yhdistettyä tarjousta luoton kanssa, tai muutoin kuluttajalle luoton yhteydessä. Selvyyden vuoksi on syytä mainita, että pykälässä tarkoitetulla luottosopimukseen liittyvällä muulla sopimuksella ei tarkoiteta luoton vakuuksia koskevia sitoumuksia, jotka raukeavat sitten, kun luotto on maksettu takaisin. 

Vaikka liitännäissopimus ei sidokaan kuluttajaa, on kuitenkin mahdollista, että kuluttajan edun mukaista olisi pitää luottosopimukseen liittyvä muu sopimus voimassa luottosopimuksen peruuttamisesta huolimatta. Tämän vuoksi 2 momentissa säädettäisiin kuluttajan oikeudesta pitää halutessaan liitännäissopimus voimassa luottosopimuksen peruuttamisesta huolimatta. Oikeusvarmuussyistä edellytetään, että kuluttaja ilmoittaa tästä luotonantajalle 30 päivän kuluessa peruuttamisilmoituksen lähettämisestä. Jos kuluttaja haluaa pitää liitännäissopimuksen voimassa, voi sillä olla vaikutusta liitännäispalvelua koskevan sopimuksen ehtoihin, jos liitännäispalvelua on tarjottu osana yhdistettyä tarjousta. Esimerkkinä voidaan mainita yhdistetyn tarjouksen mukaisesti tehty asuntoluottosopimus, jossa asuntoluoton yhteydessä otettu kotivakuutus voi jäädä voimaan kuluttajan peruuttaessa luottosopimuksen, mutta mahdollisesti erilaisin ehdoin kuin silloin, jos kuluttaja ei olisi peruuttanut asuntoluottosopimusta.  

Luoton maksaminen ennen eräpäivää 

19 §.Kuluttajan oikeus maksaa asunto-omaisuuteen liittyvä kuluttajaluotto ennen sen erääntymistä. Pykälä vastaa 7 luvun 27 §:ää. Pykälän 1 momentissa säädetään kuluttajan oikeudesta maksaa asunto-omaisuuteen liittyvä kuluttajaluotto kokonaan tai osittain ennen sen erääntymistä. Momentti perustuu direktiivin 25 artiklan 1 kohtaan. 

Pykälän 2 momentissa säädetään luotonantajan saatavasta vähennettävistä luottokustannuksista ja luotonantajalle luoton perustamisesta aiheutuneiden kulujen perimisoikeudesta. Momentti perustuu direktiivin 25 artiklan 1 ja 3 kohtaan.  

20 §.Korvausoikeus asuntoluotoissa. Pykälässä säädetään luotonantajan oikeudesta saada korvaus kuluttajan maksaessa asuntoluoton tai sen osan ennenaikaisesti. Pykälän 1 momentin ensimmäinen virke vastaa muilta osin voimassa olevan 7 luvun 29 §:n 1 momentin ensimmäistä virkettä, mutta selvyyden vuoksi siinä todettaisiin, että luotonantajalla on korvausoikeus myös silloin, kun kuluttaja maksaa asuntoluoton osan ennenaikaisesti.  

Uutta on momentin toinen virke, jonka mukaan luotonantajan on toimitettava kuluttajalle tämän takaisinmaksupyynnön vastaanotettuaan pysyvällä tavalla laskelma, josta käy ilmi vaaditun korvauksen määrä ja sen laskennassa käytetyt perusteet ja oletukset. Käytettyjen perusteiden ja oletusten on oltava asianmukaisia ja perusteltuja. Laskelman toimittamista edellytetään jo nykyisin Finanssivalvonnan antamissa asuntoluoton ennenaikaisesta takaisinmaksusta perittävän enimmäiskorvauksen laskentaan käytettäviä menetelmiä koskevissa määräyksissä ja ohjeissa (Määräykset ja ohjeet 4/2011). Säännöksen myötä velvollisuus laajenisi koskemaan myös muita luotonantajia kuin luottolaitoksia.  

Pykälän 2 momentissa säädetään korvauksen enimmäismäärästä. Momenttiin sisältyvä valtuussäännös Finanssivalvonnalle korvaisi voimassa olevan lain 7 luvun 29 §:ään sisältyvän säännöksen, jonka nojalla Finanssivalvonta on antanut edellä mainitut Määräykset ja ohjeet 4/2011.  

Pykälällä ja siihen liittyvillä Finanssivalvonnan määräyksillä pannaan täytäntöön direktiivin 25 artiklan 3 ja 4 kohta. 

21 §.Korvausoikeus asuntovakuudellisissa kuluttajaluotoissa. Pykälässä säädetään edellytyksistä, joiden täyttyessä luotonantajalla on oikeus saada korvausta kuluttajan maksaessa asuntovakuudellisen kuluttajaluoton ennenaikaisesti takaisin. Lisäksi pykälässä säädetään mahdollisen korvauksen enimmäismäärästä. Säännös perustuu direktiivin 25 artiklan 3 kohtaan ja vastaa asiallisesti 7 luvun 28 §:n säännöksiä.  

Pykälän 1 momentin mukaan luotonantajalla on oikeus saada korvaus luoton ennenaikaisesta takaisinmaksusta, jos luoton korko on kiinteä eli jos luoton korkoa ei ole sidottu viitekorkoon. Jos luoton korko on osan aikaa kiinteä ja osan aikaa sidoksissa viitekorkoon, luotonantajalla on oikeus saada korvaus ennenaikaisesta takaisinmaksusta vain siinä tapauksessa, että luotto maksetaan ennenaikaisesti takaisin jaksolla, jonka osalta on sovittu kiinteästä lainakorosta.  

Pykälän 2 momentin mukaan luotonantajan korvaus ei saa ylittää määrältään yhtä prosenttia ennenaikaisesti takaisinmaksetun luoton määrästä, jos luotto maksetaan takaisin vähintään vuotta ennen luottosopimuksen päättymistä. Jos luottosopimuksen päättymiseen sen sijaan on alle vuosi, korvaus saa olla enintään puoli prosenttia ennenaikaisesti takaisinmaksetun luoton määrästä. Korvaus ei saa kuitenkaan ylittää koron määrää ennenaikaisen takaisinmaksun ja luottosopimuksen päättymisen väliseltä ajanjaksolta.  

Pykälän 3 momentissa säädetään tilanteista, joissa oikeutta korvaukseen ei ole edes silloin, kun luoton korko on kiinteä. Korvausta ei saa vaatia ensinnäkään silloin, kun luottoa on maksettu takaisin ennenaikaisesti viimeksi kuluneen vuoden aikana enintään 10 000 euroa. Kynnysarvon ylittymistä arvioidaan ennenaikaisen suorituksen maksupäivästä vuosi taaksepäin, ja jos ennenaikaiset suoritukset tänä aikana ylittävät 10 000 euroa, luotonantajalla on oikeus periä korvausta kynnysarvon ylittävältä osalta. Korvausta ei saa vaatia myöskään silloin, kun takaisinmaksu suoritetaan lainaturvavakuutuksen nojalla tai kun takaisinmaksettava luotto perustuu käyttelytiliin liittyvään luottosopimukseen.  

Valuuttaluotot 

22 §.Valuuttakurssiriskien rajoittaminen. Pykälän tarkoituksena on suojata kuluttajaa valuuttaluottoihin liittyviltä riskeiltä, jotka aiheutuvat valuuttakurssien muutoksista. Valuuttaluotot määritellään 3 §:n 1 momentin 4 kohdassa. Pykälällä pannaan täytäntöön direktiivin 23 artiklan 1 kohta.  

Pykälän 1 momentissa säädetään luotonantajan velvollisuudesta varoittaa kuluttajaa hyvissä ajoin ennen luottosopimuksen tekemistä luottosopimukseen liittyvistä riskeistä sekä velvollisuudesta antaa tietoa käytettävissä olevista järjestelyistä valuuttakurssimuutoksista aiheutuvien riskien vähentämiseksi. Tällainen järjestely voi olla esimerkiksi kuluttajan oikeus saada luottosopimus milloin tahansa muunnetuksi euromääräiseksi, vakuutus valuuttakurssiriskiltä suojautumiseksi tai luottoa koskeva valuuttasuojaus. Kyseiset tiedot voidaan antaa esimerkiksi ESIS-lomakkeella. Vakuutusten ja muiden vastaavien tuotteiden osalta olisi riittävää, että kuluttajalle annetaan tietoa tarjolla olevista vaihtoehdoista. Säännöksessä ei edellytetä, että luotonantajan tai tämän yhteistyötahon tulisi tarjota kyseisiä vakuutuksia tai muita tuotteita, joilla kuluttaja voi suojautua valuuttakurssiriskiltä.  

Pykälän 2 momentissa säädetään kuluttajan oikeudesta saada luottosopimus milloin tahansa muunnettua euromääräiseksi, jos valuuttaluotto tarjotaan muussa valuutassa kuin eurossa. Muunto on tällöin toteutettava sen päivän virallisen vaihtokurssin mukaisena, joka on kolmas pankkipäivä siitä, kun kuluttajan ilmoitus muuntamisesta on saapunut luotonantajalle. Virallisena vaihtokurssina pidetään Suomen Pankin päivittäin verkkosivuillaan julkaisemia Euroopan keskuspankin vahvistamia valuuttakursseja. 

23 §.Tiedonantovelvollisuus valuuttaluottosopimuksen kuluessa. Pykälässä säädetään luotonantajan tiedonantovelvollisuudesta valuuttaluottosopimuksen kuluessa. Jos jäljellä oleva valuuttaluoton luottomäärä tai maksuerien suuruus poikkeaa yli 20 prosentilla siitä, mikä se olisi, jos sovellettaisiin luottosopimusta tehtäessä voimassa ollutta valuutanvaihtokurssia, luotonantajan on ehdotuksen mukaan ilmoitettava tästä viipymättä kuluttajalle. Tämän jälkeen kuluttajalle tulisi ilmoittaa poikkeamasta säännöllisesti niin kauan, kuin poikkeama säilyy yli 20 prosentin suuruisena. Säännöllisyysvaatimuksen täyttämiseksi riittävää olisi, että ilmoitus tehdään kerran vuodessa. Jos luotto myönnetään eri valuutassa kuin kuluttajan asuinvaltion valuutassa, tehdään vertailu kuluttajan asuinvaltion valuutan ja sen valuutan välillä, jossa luotto on myönnetty. Jos taas kuluttaja saa tulonsa eri valuutassa kuin siinä, jossa luotto on myönnetty, vertailu tehtäisiin luoton myöntövaluutan ja sen valuutan välillä, jossa kuluttaja saa tulonsa, joista luotto on luottokelpoisuuden arvioinnin pohjana olleiden tietojen mukaan ollut tarkoitus maksaa takaisin.  

Ilmoitus olisi annettava pysyvällä tavalla. Ilmoituksessa tulisi kertoa kuluttajan oikeudesta saada luottosopimus muunnetuksi toisen valuutan määräiseksi, muuntamisen ehdoista ja valuuttakurssimuutoksista aiheutuvaa riskiä rajoittavista mahdollisista muista järjestelyistä. Pykälällä pannaan täytäntöön direktiivin 23 artiklan 4 kohta.  

Eräitä luotonvälittäjän velvollisuuksia 

24 §.Tiedonantovelvollisuus ennen luotonvälitystä. Pykälässä säädetään luotonvälittäjän tiedonantovelvollisuuksista.  

Pykälän 1 momentissa säädetään tiedoista, jotka luotonvälittäjän on annettava kuluttajalle hyvissä ajoin ennen asunto-omaisuuteen liittyvien kuluttajaluottojen välitystä pysyvällä tavalla. Annettavia tietoja ovat muun muassa luotonvälittäjän nimi ja käyntiosoite sekä rekisteri, johon välittäjä on merkitty. Kuluttajalle on annettava tieto siitä, toimiiko luotonvälittäjä tietyn tai tiettyjen luotonantajien asiamiehenä ja jos toimii, niiden luotonantajien nimet, joiden puolesta välittäjä toimii. Kuluttajalle on myös kerrottava välityspalvelun sisällöstä, jos välittäjä ei toimi luotonantajan asiamiehenä. Kerrottava on myös siitä, tarjoaako luotonvälittäjä neuvontapalveluja. Lisäksi luotonvälittäjän tulee antaa kuluttajalle tieto luotonvälityksestä perittävistä maksuista, menettelyistä, joiden mukaisesti kuluttaja tai muu taho voi tehdä valituksen välittäjän toiminnasta tai viedä asian tuomioistuimen ulkopuolisen riitojenratkaisuelimen käsiteltäväksi, sekä luotonantajan tai kolmansien osapuolten luottosopimukseen liittyen välittäjälle maksamista maksuista tai muista kannustimista. Maksuja ja muita kannustimia koskevien tiedonantovelvoitteiden tavoitteena on avoimuuden varmistaminen ja mahdollisista eturistiriidoista johtuvien väärinkäytösten estäminen. Momentilla pannaan osaltaan täytäntöön direktiivin 15 artiklan 1 kohta. 

Pykälän 2 momentissa säädetään luotonvälittäjälle maksettavien palkkioiden tai kannustimien ilmoittamisesta. Luotonvälittäjän on ilmoitettava kuluttajalle, jos sille maksettavien palkkioiden tai kannustimien määrä vaihtelee sen mukaan, minkä luotonantajan kanssa kuluttaja tekee luottosopimuksen. Lisäksi kuluttajalle tulee ilmoittaa, että tällä on mahdollisuus saada pyynnöstä lisätietoja välittäjälle maksettavien palkkioiden tai kannustimien määrien vaihtelusta kuluttajalle tarjottujen luottosopimusten osalta. Momentilla pannaan täytäntöön direktiivin 15 artiklan 2 kohta. Koska riippumaton luotonvälittäjä saa 25 §:n mukaan ottaa korvauksen luotonvälityksen johdosta vain kuluttajalta, ei momentti käytännössä koske tällaisia luotonvälittäjiä. Momentin säännöksellä ei käytännössä olisi merkitystä myöskään yhden luotonantajan asiamiehenä toimivan luotonvälittäjän osalta, koska tällöin luotonvälittäjän saama palkkio tai muu kannustin ei voi vaihdella momentissa tarkoitetulla tavalla.  

Pykälän 3 momentin mukaan luotonvälittäjän on tietojen antamisen yhteydessä ilmoitettava myös sille mahdollisesti maksettavien kannustimien tai muiden palkkioiden huomioimisesta kuluttajalta perittävää maksua määritettäessä. Momentilla pannaan täytäntöön 15 artiklan 3 kohta. 

25 §.Riippumaton luotonvälittäjä. Pykälän mukaan luotonvälittäjä saa ilmoittaa toimivansa riippumattomana luotonvälittäjänä vain siinä tapauksessa, että se välittää riittävän suurta määrää markkinoilla tarjolla olevia luottosopimuksia. Kyse on siis oltava kuluttajan tarpeet ja henkilökohtaiset olosuhteet huomioon ottaen edustavasta otoksesta markkinoilla tarjolla olevia luottosopimuksia. Vaatimuksen täyttämiseksi riittävää ei ole, että luotonvälittäjä välittää vain yhden luotonantajan tai konsernin tarjoamia luottoja. Riippumattomana luotonvälittäjänä toimiminen edellyttää lisäksi, että luotonvälittäjä ei vastaanota korvausta luotonvälityksestä muulta kuin kuluttajalta. Momentilla pannaan täytäntöön direktiivin 15 artiklan 1 kohdan c alakohta ja osaltaan 22 artiklan 4 kohta. 

26 §.Kuluttajalta luotonvälityksestä perittävä maksu. Pykälän 1 momentissa säädetään luotonvälittäjän oikeudesta saada kuluttajalta maksu luotonvälityksestä. Maksun saamisen edellytyksenä on, että maksusta on ilmoitettu kuluttajalle laissa edellytetyllä tavalla ja että siitä on sovittu kuluttajan kanssa pysyvällä tavalla. Säännös vastaa 7 luvun 49 §:n 2 momentin säännöstä. 

Pykälän 2 momentissa säädetään luotonvälittäjän velvollisuudesta ilmoittaa tämän kuluttajalta perimän maksun määrä luotonantajalle luoton todellisen vuosikoron laskentaa varten. Momentilla pannaan täytäntöön direktiivin 15 artiklan 4 kohta. 

27 §.Kuluttajan olosuhteiden huomioiminen. Pykälän mukaan luotonvälityksen ja mahdollisten lisäpalvelujen tarjoamisen on perustuttava kuluttajan taloudellista tilannetta koskeviin tietoihin, kuluttajan ilmoittamiin luottoa koskeviin tarpeisiin ja odotuksiin sekä asianmukaisiin oletuksiin kuluttajan riskeistä luottosopimuksen voimassaoloaikana. Tiedot vastaavat pääpiirteissään niitä tietoja, joita luotonantaja käyttää kuluttajan luottokelpoisuuden arvioinnissa. Taloudellista tilannetta koskevat tiedot kattavat myös tiedot kuluttajan henkilökohtaisista olosuhteista, jotka vaikuttavat tämän taloudelliseen tilanteeseen. Pykälällä pannaan osaltaan täytäntöön direktiivin 7 artiklan 1 kohta.  

Neuvontapalvelut 

28 §.Kuluttajalle annettavat ennakkotiedot. Pykälässä säädetään neuvontapalvelua koskevasta tiedonantovelvollisuudesta. Oikeudesta neuvontapalvelujen tarjoamiseen säädetään 2. lakiehdotuksen 4 §:ssä.  

Neuvontapalvelun tarjoajan on annettava pykälässä säädetyt tiedot kuluttajalle ennen neuvontapalvelun aloittamista tai neuvontapalvelua koskevan sopimuksen tekemistä. Pykälän mukaan kuluttajalle olisi ensinnäkin ilmoitettava ne luotonantajat, joiden tarjoamien luottojen arviointiin annettava suositus perustuu. Myös kuluttajalta neuvontapalvelusta perittävien maksujen yhteismäärä tai maksujen määräytymisperusteet on ilmoitettava. Tiedot on annettava pysyvällä tavalla. Pykälällä pannaan täytäntöön direktiivin 22 artiklan 2 kohdan a ja b alakohta. 

29 §.Oikeus saada maksu neuvontapalvelusta. Pykälän 1 momentin mukaan neuvontapalvelun tarjoajalla on oikeus saada korvaus neuvontapalvelusta tai suosittelemansa luottosopimuksen johdosta kuluttajalta vain, jos kuluttajalle on ilmoitettu maksusta laissa edellytetyllä tavalla ja siitä on sovittu kuluttajan kanssa pysyvällä tavalla. Säännös ei perustu direktiiviin. Asianmukaisena pidetään, että neuvontapalveluja koskeva sääntely vastaa maksujen osalta luotonvälitystä koskevaa 26 §:n säännöstä. 

Pykälän 2 momentin mukaan neuvontapalvelun tarjoaja ei saa vastaanottaa korvausta neuvontapalvelusta tai suosittelemansa luottosopimuksen johdosta muulta kuin kuluttajalta. 

30 §.Neuvontapalvelun suorittaminen. Pykälässä säädettäisiin neuvontapalvelun tarjoajan velvollisuuksista neuvontapalvelun suorittamisessa, ja sillä pannaan osaltaan täytäntöön 22 artiklan 3 kohta.  

Pykälän 1 momentin mukaan neuvontapalvelun tulee perustua kuluttajan taloudellista tilannetta koskeviin tietoihin, kuluttajan ilmoittamiin luottoa koskeviin tarpeisiin ja odotuksiin sekä asianmukaisiin oletuksiin kuluttajan riskeistä luottosopimuksen voimassaoloaikana. Tiedot vastaavat pääpiirteissään niitä tietoja, joita luotonantaja käyttää kuluttajan luottokelpoisuuden arvioinnissa. Taloudellista tilannetta koskevat tiedot kattavat myös tiedot kuluttajan henkilökohtaisista olosuhteista, jotka vaikuttavat tämän taloudelliseen tilanteeseen. 

Pykälän 2 momentin mukaan neuvontapalvelun tarjoajan on arvioitava riittävän suuri määrä markkinoilla tarjolla olevia luottosopimuksia. Neuvontapalvelun tarjoajan on tekemänsä arvioinnin perusteella suositeltava kuluttajan tarpeisiin ja odotuksiin sekä tämän taloudelliseen tilanteeseen sopivaa tai sopivia luottosopimuksia. Lisäksi edellytetään, että kuluttajalle annetaan kappale tehdystä suosituksesta pysyvällä tavalla.  

Pykälän 3 momentin mukaan neuvontapalvelun tarjoajan on säilytettävä tehty suositus viiden vuoden ajan sen antamisesta. Neuvontapalvelua koskevan erimielisyyden synnyttyä suositus on kuitenkin säilytettävä siihen saakka, kunnes asia on sovittu tai ratkaistu. Momentin mukainen säilytysaika vastaa 11 §:n 3 momentin ja 13 §:n 3 momentin mukaista säilyttämisaikaa. 

Asunto-omaisuuteen liittyviä kuluttajaluottoja koskevat muut säännökset 

31 §.Kuluttajaluottoja koskevien säännösten soveltaminen. Pykälän 1 momentissa säädetään asuntoluottoihin ja asuntovakuudellisiin kuluttajaluottoihin sovellettavista 7 luvun säännöksistä. 

Pykälän 2 momentti sisältäisi poikkeuksen 7 luvun 24 §:n 1 momentista ilmenevään pääsääntöön, jonka mukaan kuluttajan maksettavaksi tuleva korko saa muuttua luottosopimuksen kuluessa vain sopimuksessa yksilöidyn viitekoron muutosten mukaisesti, sekä mainitun pykälän 2 momentista ilmenevään periaatteeseen, jonka mukaan koron muutokset on toteutettava tasapuolisesti ja kuluttajia syrjimättömällä tavalla. Näiden säännösten estämättä asuntoluottosopimuksessa voitaisiin momentin mukaan sopia, että kuluttajan maksettavaksi tuleva korko ei muutu sen johdosta, että sovitun viitekoron arvo on pienempi kuin nolla. Luotonantajalla olisi siis myös negatiivisen viitekoron tapauksessa mahdollisuus periä kuluttajalta luoton marginaali kokonaisuudessaan.  

Valvonta 

32 §.Seuraamukset. Pykälässä säädetään 7 a luvun säännösten rikkomisen seuraamuksista. Pykälän 1 momentin alkuosa vastaa 7 luvun 50 §:ää.  

Momentti sisältää uuden säännöksen noudatettavasta menettelystä, kun 7 a luvun säännöksiä rikkoo 2. lakiehdotuksessa tarkoitettu ulkomainen luotonvälittäjä. Kyse voi olla välittäjästä, jolla on sivuliike Suomessa, tai välittäjästä, joka toimii Suomessa palvelujen tarjoamisen vapauden perusteella. Tällöin noudatetaan asuntoluottodirektiivin 34 artiklan 2 ja 4 kohdan säännöksiä. Tältä osin pykälällä pannaan osaltaan täytäntöön mainitut direktiivin kohdat.  

Pykälän 2 momentti sisältää viittaussäännöksen Finanssivalvonnasta annettuun lakiin ja 2. lakiehdotukseen siltä osin kuin niissä säädetään Finanssivalvonnan oikeudesta määrätä seuraamuksia. 

33 §.Valvontaviranomaiset. Pykälässä säädetään 7 a luvun säännösten noudattamista valvovista viranomaisista ja näiden oikeudesta saada valvonnan kannalta tarpeellisia tietoja ja asiakirjoja. Pykälä vastaa 3 momenttia lukuun ottamatta asiallisesti pääosin 7 luvun 51 §:ää. Valvontaviranomaisten toimivaltuuksista säädetään lisäksi Finanssivalvonnasta annetussa laissa, Kilpailu- ja kuluttajavirastosta annetussa laissa (661/2012) sekä 2. ja 3. lakiehdotuksessa.  

Pykälän 3 momentissa säädetään valvontaviranomaisten yhteistyöstä ulkomaisten ETA-valvontaviranomaisten kanssa asunto-omaisuuteen liittyviä kuluttajaluottoja koskevissa asioissa. Momentissa säädetään myös, että direktiivin 36 artiklassa tarkoitettuna yhteysviranomaisena toimii Finanssivalvonta. Momentilla pannaan täytäntöön direktiivin 36 ja 37 artikla. 

Pykälän 4 momentti vastaa asiasisällöltään aiempaa 3 momenttia. 

1.2  Laki asunto-omaisuuteen liittyvien kuluttajaluottojen välittäjistä

1 §.Soveltamisala. Pykälässä säädetään lain soveltamisalasta. Lakia sovellettaisiin 1. lakiehdotuksen 7 a luvun soveltamisalaan kuuluvien asunto-omaisuuteen liittyvien kuluttajaluottojen välitykseen sekä kyseisiin luottoihin liittyvien neuvontapalvelujen tarjoamiseen. Mainitun luvun 1 §:n 2 momentin mukaan luvun säännöksiä ei sovelleta luottoon, josta ei peritä korkoa tai muita maksuja, sellaiseen käänteiseen asuntoluottoon, joka täyttää momentin 2 kohdassa säädetyt tarkemmat edellytykset, eikä tiettyihin panttilainauslaitosten myöntämiin luottoihin. Näiden luottojen välitys ei kuuluisi siten myöskään käsiteltävän lakiehdotuksen soveltamisalaan.  

Asunto-omaisuuteen liittyvien kuluttajaluottojen välitys määritellään 2 §:n 1 momentin 1 kohdassa ja neuvontapalvelu kyseisen momentin 2 kohdassa. Asunto-omaisuuteen liittyviä kuluttajaluottoja ovat asuntoluotot ja asuntovakuudelliset kuluttajaluotot. Asuntoluotolla tarkoitetaan 1. lakiehdotuksen 7 a luvussa luottoa, jonka luotonantaja sopimuksen mukaan myöntää tai lupaa myöntää kuluttajalle lainana, maksunlykkäyksenä tai muuna vastaavana taloudellisena järjestelynä asunto-omaisuuden hankkimiseksi tai siihen kohdistuvan omistusoikeuden säilyttämiseksi (3 §:n 1 momentin 2 kohta). Asuntovakuudellisella kuluttajaluotolla tarkoitetaan luvussa luottoa, jonka luotonantaja sopimuksen mukaan myöntää tai lupaa myöntää kuluttajalle lainana, maksunlykkäyksenä tai muuna vastaavana taloudellisena järjestelynä muuhun kuin edellä mainittuun tarkoitukseen ja jonka vakuudeksi annetaan asunto-omaisuutta (3 §:n 1 momentin 3 kohta). Asunto-omaisuudella tarkoitetaan puolestaan asuinkiinteistöä, asuinhuoneiston hallintaan oikeuttavia yhteisöosuuksia sekä asuinrakennusta, joka sijaitsee kiinteistöä koskevan käyttöoikeuden nojalla hallitulla alueella (3 §:n 1 momentin 1 kohta). 

2 §.Määritelmät. Pykälän 1 momentin 1 kohta sisältää asunto-omaisuuteen liittyvien kuluttajaluottojen välitystä koskevan määritelmän. Kohdalla pannaan täytäntöön direktiivin 4 artiklan 5 kohta. Asunto-omaisuuteen liittyvien kuluttajaluottojen välityksellä tarkoitetaan asunto-omaisuuteen liittyvien luottosopimusten esittelemistä tai tarjoamista kuluttajille ja kuluttajien avustamista muutoin kyseisten luottosopimusten tekemisessä korvausta vastaan ja muun kuin luotonantajan itsensä toimesta. Määritelmä kattaa myös tällaisten luottosopimusten tekemisen kuluttajien kanssa luotonantajan puolesta.  

Direktiivin johdanto-osan 74 kappaleen mukaan luotonvälityksenä ei pidettäisi toimintaa, jonka tarkoituksena on ainoastaan tutustuttaa kuluttajia luotonantajiin tai luotonvälittäjiin. Luotonvälityksenä ei pidettäisi siten esimerkiksi sitä, että kiinteistönvälittäjä antaa asiakkaalleen tietyn luotonantajan yhteystiedot tai kertoo jonkin luotonantajan tarjoamasta luottotyypistä ilman, että kiinteistönvälittäjä osallistuu luottosopimuksen tarkempaan esittelyyn, muuhun tarjoamiseen, valmisteluun tai tekemiseen.  

Momentin 2 kohta sisältää neuvontapalvelun määritelmän. Kohdalla pannaan täytäntöön direktiivin 4 artiklan 21 kohta. Neuvontapalvelulla tarkoitetaan asunto-omaisuuteen liittyvää luottosopimusta koskevan henkilökohtaisen suosituksen antamista kuluttajalle. Olennaista määritelmässä on kuluttajalle annettava henkilökohtainen suositus. Neuvontapalvelulla ei sen sijaan tarkoiteta tavanomaisena pidettävää luotonantajan tuotteiden esittelyä, asiakkaiden tarpeiden kartoittamista, markkinointia tai laissa edellytettyjen tietojen taikka selvitysten antamista.  

Momentin 3 kohta sisältää henkilöstön määritelmän. Henkilöstöllä tarkoitetaan luotonvälittäjän palveluksessa olevia tai muutoin tämän lukuun toimivia henkilöitä, jotka osallistuvat asunto-omaisuuteen liittyvien kuluttajaluottojen välitykseen. Lisäksi henkilöstön määritelmä kattaa ne henkilöt, joiden välittömän johdon ja valvonnan alaisena ensiksi mainitut henkilöt toimivat. Kohdalla pannaan osaltaan täytäntöön direktiivin 4 artiklan 11 kohta. 

Momentin 4 kohta sisältää asuntoluottodirektiivin määritelmän. Momentin 5—7 kohdassa määriteltäisiin puolestaan suomalainen ja ulkomainen luotonvälittäjä sekä luotonvälittäjä. Osa lain säännöksistä koskee yksinomaan suomalaisia ja osa ulkomaisia luotonvälittäjiä, ja osa säännöksistä koskee puolestaan sekä ulkomaisia että suomalaisia luotonvälittäjiä. Momentin 8 kohta sisältää luotonantajan asiamiehen määritelmän. Luotonantajan asiamiehen määritelmä poikkeaa direktiivin 4 artiklan 7 kohdan mukaisesta sidonnaisasiamiehen määritelmästä siinä, että merkitystä ei ole sillä, minkä suuruinen osuus luotonvälittäjän edustamilla luotonantajilla markkinoilla on. 

Pykälän 2 momentti sisältää kotivaltion määritelmän. Jos luotonvälittäjä on luonnollinen henkilö, tarkoitetaan kotivaltiolla sellaista Euroopan talousalueeseen kuuluvaa valtiota, jossa luotonvälittäjän päätoimipaikka sijaitsee. Jos luotonvälittäjä taas on oikeushenkilö, kotivaltio on lähtökohtaisesti se ETA-valtio, jossa luotonvälittäjän sääntömääräinen kotipaikka sijaitsee. Esimerkiksi Suomen lain mukaan rekisteröityjen oikeushenkilöiden sääntömääräinen kotipaikka on Suomessa. Vastaavasti toisessa ETA-valtiossa rekisteröidyn oikeushenkilön sääntömääräinen kotipaikka on yleensä kyseisessä ETA-valtiossa. Jos luotonvälittäjällä ei kuitenkaan siihen sovellettavan lain mukaan ole sääntömääräistä kotipaikkaa, on tämän kotivaltio se ETA-valtio, jossa luotonvälittäjän päätoimipaikka sijaitsee. Kohdalla pannaan täytäntöön direktiivin 4 artiklan 19 kohta. 

3 §.Oikeus välittää asunto-omaisuuteen liittyviä kuluttajaluottoja. Pykälässä säädetään oikeudesta välittää asunto-omaisuuteen liittyviä kuluttajaluottoja. Pykälän 1 momentin mukaan elinkeinonharjoittajalla on oikeus välittää tällaisia kuluttajaluottoja ainoastaan, jos se on rekisteröity asunto-omaisuuteen liittyvien luottojen välittäjäksi tämän lain mukaisesti. Momentilla pannaan täytäntöön direktiivin 29 artiklan 1 kohta. 

Pykälän 2 momentissa säädetään poikkeuksista rekisteröitymisvelvollisuuteen. Momentin 1 kohdan mukaan rekisteröitymisvelvollisuus ei koskisi luottolaitostoiminnasta annetussa laissa tarkoitettua luottolaitosta ja ulkomaista ETA-luottolaitosta. Kohdalla pannaan täytäntöön direktiivin 29 artiklan 9 kohta. On syytä huomata, että poikkeus ei koskisi sitä vastoin 3. lakiehdotuksen soveltamisalaan kuuluvia luotonantajia tai vertaislainanvälittäjiä. Asunto-omaisuuteen liittyvien kuluttajaluottojen välittäminen poikkeaa luottojen myöntämisestä ja vertaislainanvälittämisestä muun muassa vaadittavan ammattitaidon osalta. Lisäksi mainitun lakiehdotuksen mukaiset rekisteröintiedellytykset ovat keveämmät siinä suhteessa, että asiakkaiden etujen turvaamiseksi toiminnanharjoittajalta ei edellytetä vastuuvakuutusta. Näiden syiden vuoksi ei pidetä perusteltuna laajentaa poikkeusta koskemaan tällaisia toimijoita.  

Momentin 2 kohdan mukaan rekisteröitymisvelvollisuus ei koskisi ulkomaista luotonvälittäjää. Ulkomainen luotonvälittäjä on määritelty 2 §:n 1 momentin 6 kohdassa, ja sillä tarkoitetaan luonnollista henkilöä tai oikeushenkilöä, jolle sen kotivaltion toimivaltainen viranomainen on asuntoluottodirektiivin 29 artiklan mukaisesti myöntänyt oikeuden välittää asunto-omaisuuteen liittyviä kuluttajaluottoja. Momentilla pannaan täytäntöön direktiivin 32 artiklan 1 kohta. 

Momentin 3 kohdan mukaan sellaisen elinkeinonharjoittajan, joka välittää asunto-omaisuuteen liittyviä kuluttajaluottoja satunnaisesti muun toimilupaa, rekisteröintiä tai ennakollista hyväksyntää edellyttävän ammattitoiminnan yhteydessä, ei tarvitse rekisteröityä tämän lain mukaisesti. Säännöksessä käytetään direktiivin 29 artiklan 8 kohdassa jäsenvaltioille varattua mahdollisuutta olla soveltamatta mainittua artiklaa muun ammattitoiminnan yhteydessä satunnaisesti harjoitettavaan välitystoimintaan edellyttäen, että kyseistä ammattitoimintaa koskevissa laeissa tai eettisissä säännöissä ei kielletä välitystoiminnan harjoittamista. Kohdassa tarkoitettu elinkeinonharjoittaja voi olla esimerkiksi asianajaja tai muu henkilö, joka on saanut luvan saaneista oikeudenkäyntiavustajista annetun lain (715/2011) mukaisen luvan toimia oikeudenkäyntiasiamiehenä tai -avustajana.  

Momentin mukainen poikkeus koskisi vain rekisteröitymisvelvollisuutta koskevia 5—9 §:n säännöksiä. Poikkeuksen piirissä olevien toimijoiden olisi noudatettava 11—14 §:ssä säädettyjä velvoitteita, kun ne välittävät asunto-omaisuuteen liittyviä kuluttajaluottoja tai tarjoavat näihin luottoihin liittyviä neuvontapalveluja.  

Pykälän 3 momentissa säädetään lain 6 §:n 1 momentin 4 kohtaan sisältyvien tietämystä ja pätevyyttä koskevien vaatimusten ulottamisesta ulkomaisen luotonvälittäjän Suomessa sijaitsevan sivuliikkeen henkilöstöön sekä edellä 2 momentin 3 kohdassa tarkoitetun elinkeinonharjoittajan henkilöstöön. Tietämystä ja pätevyyttä koskevia vaatimuksia sovellettaisiin lisäksi tietyiltä osin ulkomaisen luotonvälittäjän sellaiseen henkilöstöön, joka välittää palvelujen vapaan tarjonnan nojalla Suomessa asunto-omaisuuteen liittyviä kuluttajaluottoja.  

Momentilla pannaan täytäntöön direktiivin 9 artiklan 3 kohta. Siinä käytettäisiin hyväksi mainitun kohdan ii alakohdan toisessa virkkeessä vastaanottavalle jäsenvaltiolle varattua mahdollisuutta vahvistaa henkilöstön tietämystä ja pätevyyttä koskevat vähimmäisvaatimukset tiettyjen direktiivin liitteeseen III sisältyvien vaatimusten osalta silloin, kun välittämistä tehdään palvelujen vapaan tarjonnan perusteella toisesta valtiosta. Perusteltua on, että kaikilla täällä toimivilla välittäjillä on perustiedot muun muassa luottosopimuksiin liittyvästä suomalaisesta lainsäädännöstä ja asunnon ostamisprosessista Suomessa. 

4 §.Oikeus tarjota neuvontapalveluja. Pykälässä säädettäisiin oikeudesta tarjota asunto-omaisuuteen liittyviä kuluttajaluottoja koskevia neuvontapalveluja. Kyseisiä neuvontapalveluja saisi tarjota vain luotonvälittäjä. Vaikka elinkeinonharjoittajan tarkoituksena olisi siis toimia yksinomaan asunto-omaisuuteen liittyviä kuluttajaluottoja koskevien neuvontapalvelujen tarjoajana, hänen tulisi rekisteröityä luotonvälittäjäksi luotonvälittäjiä koskevaan rekisteriin, jollei ehdotetusta 3 §:stä muuta johdu.  

Pykälässä asetettaisiin myös lisäedellytyksiä neuvontapalvelujen tarjoajalle. Neuvontapalvelujen puolueettomuuden edistämiseksi oikeutta neuvontapalvelujen tarjoamiseen ei olisi jonkin luotonantajan asiamiehenä toimivalla tai sen kanssa samaan konserniin kuuluvalla luotonvälittäjällä. Samaan konserniin kuuluminen määräytyisi kirjanpitolain (1336/1997) 6 §:n mukaisesti. Oikeutta neuvontapalvelujen tarjoamiseen ei olisi myöskään luotonvälittäjällä, joka on kirjanpitolain 7 tai 8 §:ssä tarkoitetussa omistusyhteysyritys- tai osakkuusyrityssuhteessa luotonantajaan. Pykälässä säädetyt lisäedellytykset neuvontapalvelujen tarjoajalle koskisivat myös 3 §:n 2 momentin 3 kohdassa tarkoitettuja elinkeinonharjoittajia.  

Pykälässä käytetään direktiivin 22 artiklan 4 kohdassa jäsenvaltioille varattua mahdollisuutta kieltää ilmausten ”neuvonta” ja ”neuvoja” tai muiden samankaltaisten ilmausten käyttö, jos kuluttajille tarkoitettuja neuvontapalveluja tarjoavat luotonantajat tai sidoksissa olevat luotonvälittäjät. Syitä option käyttöön selvitetään yleisperustelujen 5.2 jaksossa. 

5 §.Välittäjärekisteri ja rekisteri-ilmoitus. Pykälän 1 momentissa säädetään Finanssivalvonnan velvollisuudesta pitää rekisteriä suomalaisista luotonvälittäjistä. Momentilla pannaan osaltaan täytäntöön direktiivin 29 artiklan 4 kohdan ensimmäinen alakohta. 

Pykälän 2 momentissa säädetään rekisteri-ilmoituksen tekemisestä ja rekisteri-ilmoitukseen sisällytettävistä tiedoista. Asunto-omaisuuteen liittyvien kuluttajaluottojen välittämistä suunnittelevan on tehtävä Finanssivalvonnalle ilmoitus välittäjärekisteriin merkitsemistä varten. Välittäminen kattaa myös asunto-omaisuuteen liittyvien neuvontapalvelujen tarjoamisen, eli myös asunto-omaisuuteen liittyviä kuluttajaluottoja koskevien neuvontapalvelujen tarjoamista suunnittelevien olisi tehtävä pykälässä tarkoitettu ilmoitus. 

Momentin 1 kohdan mukaan rekisteri-ilmoituksessa on mainittava yksityisen elinkeinonharjoittajan täydellinen nimi ja henkilötunnus. Jos yksityisellä elinkeinonharjoittajalla ei ole henkilötunnusta, hänen on ilmoitettava syntymäaikansa. Lisäksi on ilmoitettava toiminimi, mahdollinen aputoiminimi, yritys- ja yhteisötunnus tai muu vastaava tunniste, päätoimipaikka ja jokaisen toimipaikan käyntiosoite, josta toimintaa harjoitetaan. Jos välittäjä on oikeushenkilö, rekisteri-ilmoituksessa on puolestaan mainittava oikeushenkilön toiminimi, mahdollinen aputoiminimi, yritys- ja yhteisötunnus tai muu vastaava tunniste, päätoimipaikka ja jokaisen toimipaikan käyntiosoite, josta toimintaa harjoitetaan. Momentin 1 kohdan mukaan rekisteri-ilmoituksessa on mainittava myös, mikäli ilmoituksentekijä toimii tietyn tai tiettyjen luotonantajien asiamiehenä samoin kuin tieto näistä luotonantajista. Niin ikään rekisteri-ilmoituksessa olisi annettava tieto siitä, mikäli ilmoituksen tekijä tarjoaa asunto-omaisuuteen liittyvä kuluttajaluottoja koskevia neuvontapalveluja. 

Momentin 2 kohdan mukaan ilmoituksessa on tarvittaessa esitettävä selvitys myös 6 §:n 1 momentin 1 kohdassa mainituista seikoista. Yleensä kohdan mukaiset tiedot ilmenevät muista rekisteriin merkittävistä tiedoista. Joissakin tapauksissa voi kuitenkin olla tarpeen saada selvitystä esimerkiksi ilmoituksen tekijän kotivaltiosta tai siitä, että ilmoituksen tekijä tosiasiassa pääasiallisesti toimii Suomessa, ja säännös onkin tarpeen tällaisia tilanteita silmällä pitäen. 

Jos ilmoituksen tekijä on oikeushenkilö, ilmoituksessa on momentin 3 kohdan mukaan annettava selvitys niistä 7 §:n 2 momentissa tarkoitetuista henkilöistä, joiden luotettavuus tulee arvioitavaksi. Rekisteri-ilmoituksesta on siis käytävä ilmi esimerkiksi oikeushenkilön toimitusjohtaja ja hänen sijaisensa, hallituksen jäsenet ja varajäsenet sekä ne, joilla on suoraan tai välillisesti vähintään kymmenesosa osakeyhtiön osakkeista tai osakkeiden tuottamasta äänivallasta taikka vastaava omistus- tai määräämisvalta muussa yhteisössä. 

Momentin 4 kohdan mukaan ilmoitukseen olisi lisäksi sisällytettävä selvitys ilmoituksen tekijän ja sen henkilöstön koulutuksesta ja työkokemuksesta. Jos ilmoituksen tekijä on oikeushenkilö, vastaava selvitys on annettava myös 6 §:n 2 momentissa tarkoitetuista oikeushenkilön ylimpään johtoon kuuluvista henkilöistä. Toisin kuin 3 kohdan mukaan selvitystä ei olisi siis toimitettava yhteisön omistajista muutoin kuin henkilöyhtiöissä. Tarpeellisia selvityksiä voivat olla esimerkiksi ansioluettelo, tutkinto- ja työtodistukset sekä todistukset osallistumisesta merkittäviin koulutusohjelmiin tai ammatillisille kursseille. 

Ilmoituksen tekijän tulee lisäksi momentin 5 kohdan mukaan antaa selvitys siitä, että sillä on 8 §:ssä tarkoitettu vastuuvakuutus tai muu vakuus. Jos kyse on vakuutuksesta, ilmoituksen tekijän on toimitettava Finanssivalvonnalle vakuutuskirja ja vakuutusehdot. Jos kyse on muusta vakuudesta, ilmoituksen tekijän on toimitettava tarpeellinen selvitys sen arvioimiseksi, täyttääkö vakuus 8 §:n mukaiset edellytykset, eli esimerkiksi tiedot vakuuden antajasta, määrästä ja muista ehdoista.  

Pykälän 3 momentissa säädetään Finanssivalvonnan oikeudesta saada ilmoituksen tekijältä lisätietoja. Tietojen on oltava tarpeen rekisteröinnin edellytysten täyttymisen arvioimiseksi. Lisätietojen pyytäminen voi olla tarpeen esimerkiksi silloin, kun Finanssivalvonta ei saa ilmoituksen tekijän luotettavuuden selvittämiseksi tarpeellisia tietoja suoraan rikosrekisteristä. 

6 §.Rekisteröinnin edellytykset. Pykälän 1 momentissa säädetään edellytyksistä, joiden täyttyessä Finanssivalvonnan on rekisteröitävä ilmoituksen tekijä asunto-omaisuuteen liittyvien kuluttajaluottojen välittäjäksi. Momentin 1 kohdan mukaan ilmoituksen tekijän kotivaltion tulee olla Suomi. Kotivaltio määritellään 2 §:n 2 momentissa. Jos ilmoituksen tekijä on luonnollinen henkilö taikka oikeushenkilö, jolla ei siihen sovellettavan lain mukaan ole sääntömääräistä kotipaikkaa, sen tulee myös tosiasiassa pääasiallisesti toimia Suomessa. Jos ilmoituksen tekijä on oikeushenkilö, jonka sääntömääräinen kotipaikka on Suomessa, myös sen päätoimipaikan tulee olla Suomessa. Kohdalla pannaan täytäntöön direktiivin 29 artiklan 5 kohta.  

Momentin 2 kohdassa edellytetään, että ilmoituksen tekijä ei ole konkurssissa. Jos ilmoituksen tekijä on luonnollinen henkilö, hänen on oltava täysi-ikäinen eikä hänen toimintakelpoisuutensa saa olla rajoitettu. 

Ilmoituksen tekijän tulee momentin 3 kohdan mukaan olla luotettava. Lain 7 §:ssä säädetään tarkemmin luotettavuudesta. 

Momentin 4 kohdassa edellytetään, että ilmoituksen tekijällä ja sen henkilöstöllä tulee olla luottotoimintaa koskeva riittävä tietämys ja pätevyys. Luottotoimintaa koskevan tietämyksen ja pätevyyden arvioinnissa otetaan huomioon ne tietämystä ja pätevyyttä koskevat vähimmäisvaatimukset, jotka sisältyvät asuntoluottodirektiivin liitteeseen III. Jos ilmoituksen tekijä on oikeushenkilö, koskee vaatimus myös sen ylimpään johtoon kuuluvia henkilöitä. Ylimpään johtoon kuuluvat henkilöt määritellään pykälän 2 momentissa ja henkilöstön määritelmä sisältyy 2 §:n 1 momentin 3 kohtaan. Säännöksellä pannaan täytäntöön direktiivin 29 artiklan 2 kohdan c alakohta. 

Ilmoituksen tekijällä on momentin 5 kohdan mukaan oltava myös 8 §:ssä tarkoitettu vastuuvakuus tai muu vakuus. Vaatimus perustuu direktiivin 29 artiklan 2 kohdan a alakohtaan. 

Pykälän 2 momentissa määritellään 1 momentin 4 kohdassa tarkoitetut oikeushenkilön ylimpään johtoon kuuluvat henkilöt, joita ovat toimitusjohtaja ja hänen sijaisensa, hallituksen jäsenet ja varajäsenet sekä siihen rinnastettavan toimielimen jäsenet ja varajäsenet sekä vastuunalaiset yhtiömiehet. Ylimmältä johdolta ja henkilöstöltä edellytettävästä luottotoimintaa koskevasta asiantuntemuksesta säädettäisiin valtioneuvoston asetuksella, ja momentti sisältäisi tätä koskevan valtuuden.  

Pykälän 3 momentissa säädetään rekisteröinnin epäämisestä. Jos olosuhteet huomioon ottaen on ilmeistä, että ilmoituksen tekijä aikoo harjoittaa asunto-omaisuuteen liittyvien kuluttajaluottojen välitystä toisen välikätenä, Finanssivalvonta voi evätä rekisteröinnin. Säännöksen tarkoituksena on estää tässä laissa tarkoitetun toiminnan harjoittaminen sellaisilta henkilöiltä, jotka esimerkiksi epäilyttävän taustansa takia eivät luultavasti tulisi täyttämään rekisteröimisen edellytyksiä, mutta jotka pyrkivät alalle välikäden avulla. 

7 §.Luotettavuus. Pykälän 1 momentissa määritellään 6 §:n 1 momentin 3 kohdassa tarkoitettu luotettavuus. Ilmoituksen tekijää ei pidetä luotettavana, jos hänet on lainvoiman saaneella tuomiolla viiden arviota edeltäneen vuoden aikana tuomittu vankeusrangaistukseen tai kolmen arviota edeltäneen vuoden aikana sakkorangaistukseen rikoksesta, jonka voidaan katsoa osoittavan hänen olevan ilmeisen sopimaton välittämään lain soveltamisalaan kuuluvia kuluttajaluottoja. Näissä tapauksissa henkilöä ei pidetä luotettavana myöskään omistamaan tällaista toimintaa harjoittavaa yhteisöä tai toimimaan sen hallituksen jäsenenä tai varajäsenenä, toimitusjohtajana tai toimitusjohtajan sijaisena tai muussa ylimmässä johdossa. Momentissa tarkoitetun lainvoimaisen tuomion perustana voi olla esimerkiksi 26 §:ssä rangaistavaksi ehdotettu asunto-omaisuuteen liittyvien kuluttajaluottojen välitysrikos, 3. lakiehdotuksen 19 §:ssä rangaistavaksi ehdotettu vertaislainanvälittäjärikos tai luotonantajarikos, rahanpesu- tai kirjanpitorikos, veropetos taikka muu taloudelliseen toimintaan liittyvä rikos. 

Ilmoituksen tekijää ei pidetä luotettavana myöskään silloin, jos hän on muutoin aikaisemmalla toiminnallaan osoittanut olevansa ilmeisen sopimaton toimimaan mainitunlaisessa tehtävässä. Vastaavanlainen säännös sisältyy esimerkiksi 3. lakiehdotuksen 5 §:ään ja luottolaitostoiminnasta annetun lain 7 luvun 4 §:ään. Esimerkiksi lainvoimaa vailla oleva tuomio momentissa tarkoitetusta rikoksesta voisi osoittaa henkilön olevan ilmeisen sopimaton toimimaan kyseisessä tehtävässä. Myös liiketoimintakiellosta annetun lain (1059/1985) nojalla ilmoituksen tekijälle määrätty, jo päättynyt liiketoimintakielto voi vaikuttaa luotettavuuden arviointiin.  

Pykälän 2 momentissa säädetään henkilöistä, joita 6 §:n 1 momentin 3 kohdassa tarkoitettu luotettavuusvaatimus koskee, jos ilmoituksen tekijä on oikeushenkilö. Jotta luotettavuusvaatimus oikeushenkilön kohdalla täyttyy, kaikkien säännöksessä lueteltujen tahojen on oltava luotettavia. 

8 §.Vastuuvakuutus tai muu vakuus. Pykälän 1 momentissa säädetään ilmoituksen tekijältä edellytetystä vastuuvakuutuksesta tai muusta vakuudesta asunto-omaisuuteen liittyvien kuluttajaluottojen välityksestä ja tällaisiin kuluttajaluottoihin liittyvistä neuvontapalveluista aiheutuvien vahinkojen korvaamiseksi. Momentilla pannaan täytäntöön direktiivin 29 artiklan 2 kohdan a alakohta.  

Ilmoituksen tekijällä edellytetään olevan voimassa oleva vastuuvakuutus, pankkitakaus tai Finanssivalvonnan hyväksymä muu vastaava vakuus. Määrältään vakuutuksen tai muun vakuuden on oltava vähintään sen suuruinen kuin direktiivin 29 artiklan 2 kohdan a alakohdan nojalla annetuissa sääntelystandardeissa edellytetään. Kyseisen kohdan nojalla annetun komission delegoidun asetuksen (EU) N:o 1125/2014 1 artiklan mukaan luotonvälittäjiltä vaadittavan ammatillisen vastuuvakuutuksen tai muun vastaavan vakuuden rahallinen vähimmäismäärä on 460 000 euroa jokaista yksittäistä vahinkoa kohden ja yhteensä 750 000 euroa kaikkien vahinkojen osalta kalenterivuotta kohden. 

Lisäksi momentissa edellytetään, että vakuutus tai muu vakuus on voimassa niiden ETA-valtioiden alueilla, joissa ilmoituksen tekijä harjoittaa kyseisten kuluttajaluottojen välitystä tai niihin liittyvien neuvontapalvelujen tarjoamista. Momentissa edellytetään myös, että vakuutuksenantajan tai muun vakuuden antajan kotipaikka on Euroopan talousalueeseen kuuluvassa valtiossa, ellei Finanssivalvonta hakemuksesta myönnä tästä poikkeusta. Viimeksi mainittu edellytys on kansallista sääntelyä, eikä perustu direktiiviin. 

Pykälän 2 momentissa säädetään vastuuvakuutukselle asetettavista lisäehdoista vahinkoa kärsineen etujen turvaamiseksi. Ehdot ovat kansallista sääntelyä eivätkä perustu direktiiviin. Vastaavan kaltaisia ehtoja asetetaan muun muassa vakuutusmeklareilta vaadittavalle vastuuvakuutukselle, josta säädetään vakuutusedustuksesta annetun lain (570/2005) 28 §:ssä.  

Momentin 1 kohdan mukaan vakuutuksenantajan on suoritettava vakuutuskorvaus vahingon kärsineelle omavastuuta vähentämättä siinäkin tapauksessa, että vakuutukseen sisältyy omavastuu. Momentin 2 kohdan mukaan vakuutuksesta korvataan vahinko, joka on syntynyt vakuutuskauden aikana tapahtuneen teon tai laiminlyönnin seurauksena ja jonka korvaamisesta on esitetty kirjallinen vaatimus ilmoituksen tekijälle eli välittäjälle taikka vakuutuksenantajalle vakuutuksen voimassaoloaikana tai kolmen vuoden kuluessa vakuutuksen päättymisestä.  

9 §.Rekisteriin merkittävät tiedot ja muutoksista ilmoittaminen. Pykälässä säädetään rekisteriin merkittävistä tiedoista ja muutoksista ilmoittamisesta, ja se vastaa pääpiirteissään 3. lakiehdotuksen 7 §:ää. Pykälän 1 momentin 1 kohdan mukaan rekisteriin merkitään yksityisen elinkeinonharjoittajan täydellinen nimi ja henkilötunnus. Jos yksityisellä elinkeinonharjoittajalla ei ole henkilötunnusta, rekisteriin merkitään hänen syntymäaikansa. Lisäksi rekisteriin merkitään toiminimi, mahdollinen aputoiminimi, yritys- ja yhteisötunnus tai muu vastaava tunniste, päätoimipaikka ja jokaisen toimipaikan käyntiosoite, josta toimintaa harjoitetaan. Jos välittäjä on oikeushenkilö, merkitään rekisteriin momentin 2 kohdan mukaan oikeushenkilön toiminimi, mahdollinen aputoiminimi, yritys- ja yhteisötunnus tai muu vastaava tunniste, päätoimipaikka ja jokaisen toimipaikan käyntiosoite, josta toimintaa harjoitetaan. 

Momentin 3 kohdan mukaan rekisteriin merkitään niiden henkilöiden täydellinen nimi ja henkilötunnus, joiden luotettavuus on rekisteri-ilmoitusta käsiteltäessä selvitetty. Jos tällaisella henkilöllä ei ole henkilötunnusta, rekisteriin merkitään hänen syntymäaikansa. Momentin 4 kohdan mukaan rekisteriin merkitään myös niiden ylimpään johtoon kuuluvien henkilöiden täydellinen nimi ja henkilötunnus, joiden luottotoimintaa koskeva asiantuntemus on rekisteri-ilmoitusta käsiteltäessä selvitetty. Jos tällaisella henkilöllä ei ole henkilötunnusta, rekisteriin merkitään hänen syntymäaikansa.  

Momentin 5 kohdan mukaan rekisteriin merkitään 8 §:ssä tarkoitetun vastuuvakuutuksen antaja ja vakuutusmäärä tai muun vakuuden laatu, antaja ja määrä. 

Rekisteriin merkitään momentin 6 kohdan mukaan myös rekisteröinnin päivämäärä.  

Momentin 7 kohdan mukaan rekisteriin on merkittävä tieto siitä, mikäli välittäjä toimii tietyn tai tiettyjen luotonantajien asiamiehenä. Jos välittäjä toimii asiamiehenä, tulee rekisteriin merkitä myös tieto niistä luotonantajista, joiden asiamiehenä välittäjä toimii. Jos rekisteriin merkittävä välittäjä ei toimi asiamiehenä, ei rekisteriin merkittäisi mitään tältä osin. Kohdalla pannaan täytäntöön direktiivin 29 artiklan 4 kohdan toisen alakohdan c alakohta.  

Momentin 8 kohdan mukaan rekisteriin on merkittävä tieto siitä, mikäli ilmoituksen tekijä tarjoaa asunto-omaisuuteen liittyviä kuluttajaluottoja koskevia neuvontapalveluja. Ehdotetun 4 §:n mukaan neuvontapalvelun tarjoajan tulee olla välittäjä, mutta välittäjien ei luonnollisesti tarvitse toimia neuvontapalvelujen tarjoajina. 

Rekisteriin tulee momentin 9 kohdan mukaan merkitä myös ne ETA-valtiot, joissa ilmoituksen tekijä harjoittaa asunto-omaisuuteen liittyvien kuluttajaluottojen välitystä tai tällaisiin luottoihin liittyvien neuvontapalvelujen tarjoamista. Kohdalla pannaan täytäntöön direktiivin 29 artiklan 4 kohdan toisen alakohdan b alakohta.  

Momentin 10 kohdan mukaan rekisteriin on merkittävä ilmoituksen tehneelle määrätyt julkiset varoitukset sekä sellaiset kiellot, joiden tehosteeksi on asetettu uhkasakko. Lisäksi rekisteriin merkitään 11 kohdan mukaan rekisteristä poistamisen syy ja ajankohta. Rekisteristä poistamisesta säädettäisiin 20 §:ssä. 

Pykälän 2 momentin mukaan rekisteriin merkitään myös tiedot niistä, joille Finanssivalvonta on määrännyt kiellon harjoittaa asunto-omaisuuteen liittyvien kuluttajaluottojen välitystä ilman rekisteröintiä tai niihin liittyvien neuvontapalvelujen tarjoamista ehdotetun 4 §:n vastaisesti. Kieltoa koskeva tieto sekä tieto pykälän 1 momentin 10 kohdassa tarkoitetuista seuraamuksista tulee poistaa rekisteristä viiden vuoden kuluttua sen vuoden päättymisestä, jona kielto tai muu seuraamus on määrätty.  

Pykälän 3 momentissa säädetään suomalaisen luotonvälittäjän velvollisuudesta tehdä Finanssivalvonnalle viipymättä ilmoitus, jos rekisteriin merkittyihin tietoihin tulee muutoksia. Selvää on, että jos muutos koskee tietoa, joka on rekisteröinti-ilmoitusta tehtäessä edellyttänyt selvityksen toimittamista Finanssivalvonnalle, vastaava selvitys on tarpeen toimittaa myös muutoksesta ilmoitettaessa. 

Lisäksi välittäjän tulee ilmoittaa Finanssivalvonnalle, jos se ei ole harjoittanut asunto-omaisuuteen liittyvien kuluttajaluottojen välitystä tai tällaisiin luottoihin liittyvien neuvontapalvelujen tarjoamista edeltävän kuuden kuukauden aikana tai jos se on lopettanut toimintansa. Velvollisuuksien laiminlyönnin seuraamuksista säädettäisiin 21 §:ssä.  

10 §.Tietojen saatavilla pitäminen. Viranomaisten toiminnan julkisuudesta annetun lain (621/1999) 16 §:n 3 momentin mukaan viranomaisen henkilörekisteristä saa luovuttaa tietoja tulosteena tai sähköisesti vain, jos luovutuksensaajalla on henkilötietolain (523/1999) mukaan oikeus käsitellä pyydettyjä henkilötietoja. Tällaista ehtoa ei voida soveltaa pidettäessä tietoja yleisesti saatavilla sähköisen tietoverkon kautta. Pykälän 1 momentissa säädetään Finanssivalvonnan oikeudesta luovuttaa henkilötietoja tulosteena taikka saattaa ne yleisesti saataville sähköisen tietoverkon kautta tai luovuttaa muutoin sähköisessä muodossa mainitun 16 §:n 3 momentin estämättä. Henkilötunnuksen saisi kuitenkin luovuttaa vain annettaessa tietoja tulosteena tai teknisenä tallenteena. Luovuttamisen edellytyksenä olisi tällöin se, että luovutuksensaajalla on henkilötietolain 13 §:n tai muun lain mukaan oikeus käsitellä henkilötunnuksia koskevia tietoja. 

Kun ehdotettu 1 momentti koskee Finanssivalvonnan oikeutta luovuttaa henkilötietoja ja saattaa ne yleisesti saataville sähköisen tietoverkon kautta tai luovuttaa muutoin sähköisessä muodossa, pykälän 2 momentissa säädetään puolestaan tiedoista, jotka Finanssivalvonnan olisi pidettävä yleisesti saatavilla sähköisen tietoverkon kautta. Säännös perustuu osaltaan direktiivin 29 artiklan 4 kohdan ensimmäiseen alakohtaan. Velvollisuus tietojen pitämiseen yleisesti saatavilla sähköisen tietoverkon avulla koskee vain osaa rekisteriin merkittävistä tiedoista, kuten elinkeinonharjoittajan nimeä sekä tietoa ylimmästä johdosta. Lisäksi kuluttajien oikeusturvan kannalta tärkeänä pidetään, että Finanssivalvonta pitää yleisesti saatavilla sähköisen tietoverkon avulla myös tietoa ilmoituksen tekijälle määrätyistä julkisista varoituksista sekä sellaisista kieloista, joiden tehosteeksi on asetettu uhkasakko. Viimeksi mainitulta osin sääntely olisi puhtaasti kansallista.  

11 §.Johdon velvoitteet. Pykälän mukaan luotonvälittäjän on huolehdittava siitä, että toiminnassa noudatetaan hyvää luotonantotapaa, josta säädetään kuluttajansuojalain 7 luvun 13 §:ssä, ja että toimintaa harjoitetaan muutoinkin lainmukaisesti. Vastaava säännös sisältyy 3. lakiehdotuksen 9 §:ään. Luotonvälitystä koskevia säännöksiä on muun muassa 1. lakiehdotuksen 7 a luvun 24—27 §:ssä. Jos luotonvälittäjä tarjoaa neuvontapalveluja, niihin liittyen on noudatettava mainitun luvun 28—30 §:n säännöksiä. Jos luotonvälittäjä on oikeushenkilö, koskee huolehtimisvaatimus sen ylintä johtoa, johon kuuluvat tämän lain 6 §:n 2 momentissa tarkoitetut henkilöt.  

Asunto-omaisuuteen liittyvien kuluttajaluottojen välityksen tai tällaisiin luottoihin liittyvien neuvontapalvelujen tarjoamisen harjoittaminen laissa edellytetyllä tavalla on tärkeää kuluttajan oikeusturvan kannalta. Välittäjän tulee aktiivisesti valvonnalla ja ohjeita antamalla huolehtia siitä, että yrityksen koko henkilökunta noudattaa toiminnassaan lain säännöksiä. Jos toimintaa harjoitetaan useassa eri toimipaikassa, välittäjän on huolehdittava toiminnan lainmukaisuudesta kunkin toimipaikan osalta.  

12 §.Asiakasvarat. Pykälässä säädetään kiellosta vastaanottaa, pitää hallussa taikka välittää asiakkaalle kuuluvia varoja. Varoilla tarkoitetaan rahan lisäksi esimerkiksi asunto-osakkeita tai muita arvopapereita. Syitä kieltoon selostetaan yleisperustelujen 5.2 jaksossa.  

13 §.Luotonvälitykseen tai neuvontapalveluihin liittyvien asiakirjojen ja tietojen säilyttäminen. Pykälän mukaan luotonvälittäjän tulee säilyttää luotonvälitykseen ja neuvontapalveluihin liittyvät asiakirjat ja tiedot viiden vuoden ajan siitä, kun asiakassuhde on päättynyt. Jos palvelusta, luotonvälityksestä tai neuvontapalvelusta, on syntynyt erimielisyys, asiakirjat ja tiedot olisi joka tapauksessa säilytettävä siihen saakka, kunnes asia on sovittu tai ratkaistu. Samoin välittäjän olisi noudatettava mahdollisesta muusta lainsäädännöstä johtuvaa velvollisuutta säilyttää pidempään asiakirjoja ja tietoja.  

Pykälä ei perustu direktiiviin, vaan se on kansallista sääntelyä. Vastaavanlainen säännös sisältyy 3. lakiehdotuksen 12 §:ään. 

Säännös täydentää muualla lainsäädännössä, kuten kuluttajansuojalaissa, rahanpesun ja terrorismin rahoittamisen estämisestä ja selvittämisestä annetussa laissa ja kirjanpitolaissa olevia säilyttämisvelvoitteita. Säännöksen tarkoituksena on turvata Finanssivalvonnan tiedonsaantioikeuksien toteutuminen sen valvoessa välittäjiä.  

Säännös kattaa kaikki asiakassuhteet vaiheet ja koskee kaikkea välittäjän toimintaa markkinoinnista mahdollisten ongelmien selvittämiseen. Luotonvälitykseen ja neuvontapalveluihin liittyvillä asiakirjoilla ja tiedoilla tarkoitetaan esimerkiksi palvelua koskevaa sopimusta ja kuluttajaa koskevaa aineistoa.  

14 §.Vaitiolovelvollisuus. Pykälässä säädetään vaitiolovelvollisuudesta soveltuvin osin yhdenmukaisesti muun muassa vakuutusedustuksesta annetun lain 44 §:n kanssa. Vaitiolovelvollisuus koskisi kaikkia tahoja, jotka asunto-omaisuuteen liittyvien kuluttajaluottojen välitystä harjoitettaessa tai tällaisiin luottoihin liittyviä neuvontapalveluja tarjottaessa ovat saaneet tietoonsa asiakkaan tai jonkun muun taloudellista asemaa tai henkilökohtaisia oloja, kuten terveydentilaa, koskevia seikkoja taikka liike- tai ammattisalaisuuksia. Vaitiolovelvollisuus sisältää sekä asiakirjojen salassapitovelvollisuuden että kiellon ilmaista muussa kuin kirjallisessa muodossa oleva tieto. Poikkeuksen muodostavat tilanteet, joissa se, jonka hyväksi vaitiolovelvollisuus on säädetty, antaa suostumuksen tietojen ilmaisemiseen taikka joissa laissa säädetään asiasta toisin. Vaitiolovelvollisuuden rikkominen voi tulla arvioitavaksi esimerkiksi rikoslain (39/1889) 38 luvun 1 §:n mukaisena salassapitorikoksena tai 2 §:n mukaisena salassapitorikkomuksena. 

15 §.Sivuliikkeen perustaminen ja palvelujen tarjoaminen ulkomailla. Pykälässä säädetään asunto-omaisuuteen liittyvien kuluttajaluottojen tai niihin liittyvien neuvontapalvelujen tarjoamisesta toisissa ETA-valtioissa. Pykälän 1 momentin mukaan Finanssivalvonnan rekisteriin rekisteröidyn suomalaisen luotonvälittäjän on ilmoitettava Finanssivalvonnalle, jos välittäjä aikoo aloittaa asunto-omaisuuteen liittyvien kuluttajaluottojen välityksen tai niihin liittyvien neuvontapalvelujen tarjoamisen yhdessä tai useammassa toisessa ETA-valtiossa. Ilmoitus on tehtävä Finanssivalvonnalle hyvissä ajoin ennen toiminnan aloittamista. Ilmoituksessa on mainittava, mitä palveluja välittäjä aikoo tarjota, missä valtiossa tai valtioissa niitä tarjotaan sekä perustaako välittäjä sivuliikkeen palvelujen tarjoamista varten. Momentti sisältää myös määräyksenantovaltuuden, jonka mukaan Finanssivalvonnalla on oikeus antaa tarkempia määräyksiä tietojen toimittamistavasta ja siitä, mitä tietoja ilmoituksen tulee sisältää. Momentilla pannaan täytäntöön direktiivin 32 artiklan 3 kohdan ensimmäinen alakohta. 

Pykälän 2 momentissa säädetään Finanssivalvonnan velvollisuudesta toimittaa välittäjän sille ilmoittamat tiedot vastaanottavien valtioiden toimivaltaisille viranomaisille. Tiedot on toimitettava kuukauden kuluessa siitä, kun Finanssivalvonta on vastaanottanut välittäjän sille tekemän ilmoituksen. Näiden tietojen lisäksi Finanssivalvonnan on ilmoitettava viranomaisille ne luotonantajat, joiden asiamiehenä välittäjä toimii, sekä se, että luotonantaja vastaa asiamiehensä toiminnasta. Välittäjälle on viipymättä ilmoitettava siitä, että kyseiset tiedot on toimitettu vastaanottavien valtioiden viranomaisille. Momentilla pannaan täytäntöön direktiivin 32 artiklan 3 kohdan toinen alakohta. 

Pykälän 3 momentin mukaan välittäjällä on kuukauden kuluttua edellä mainitun Finanssivalvonnan ilmoituksen vastaanottamisesta oikeus aloittaa palvelujen tarjoaminen toisessa ETA-valtiossa. Säännöksellä pannaan täytäntöön direktiivin 32 artiklan 3 kohdan kolmas alakohta. 

16 §.Ulkomaisen luotonvälittäjän toiminnan aloittaminen Suomessa. Pykälässä säädetään ulkomaisen luotonvälittäjän toiminnan aloittamisesta Suomessa. Pykälän 1 momentin mukaan ulkomainen luotonvälittäjä, jolle sen kotivaltion toimivaltainen viranomainen on direktiivin mukaisesti myöntänyt oikeuden välittää asunto-omaisuuteen liittyviä kuluttajaluottoja, saa aloittaa vastaavan toiminnan Suomessa kuukauden kuluttua siitä, kun se on saanut kotivaltionsa toimivaltaiselta viranomaiselta ilmoituksen Finanssivalvonnalle tehdystä toiminnan aloittamista koskevasta ilmoituksesta. Jos välittäjä on kotivaltionsa viranomaisen myöntämän toimiluvan tai rekisteröinnin mukaan oikeutettu välittämään vain esimerkiksi luottolaitosten tarjoamia luottoja, vastaava rajoitus olisi voimassa myös Suomessa. Momentti koskee sekä sivuliikkeitä että palvelujen vapaan tarjonnan nojalla toimintaa harjoittavia, ja se perustuu direktiivin 32 artiklan 3 kohtaan.  

Momentissa säädetyt edellytykset soveltuisivat myös ulkomaisiin luotonvälittäjiin, jotka ovat aikeissa aloittaa asunto-omaisuuteen liittyviä kuluttajaluottoja koskevien neuvontapalvelujen tarjoamisen Suomessa. Tämän lisäksi olisi kuitenkin huomioitava, mitä ehdotetussa 4 §:ssä säädetään oikeudesta tarjota neuvontapalveluja.  

Pykälän 2 momentissa säädetään tilanteista, joissa 1 momentissa tarkoitettu ulkomainen välittäjä perustaa sivuliikkeen Suomeen. Sivuliikkeellä tarkoitetaan elinkeinon harjoittamisen oikeudesta annetun lain (122/1919) 2 §:n mukaan ulkomaisen yhteisön tai säätiön osaa, joka harjoittaa Suomessa sijaitsevasta kiinteästä toimipaikasta käsin jatkuvaa liike- tai ammattitoimintaa ulkomaisen yhteisön tai säätiön nimiin ja lukuun. 

Finanssivalvonnan on ilmoitettava tällaiselle välittäjälle edellytykset, joiden mukaisesti sen on harjoitettava toimintaansa Suomessa niissä asioissa, joita koskevia säännöksiä ei ole yhdenmukaistettu Euroopan unionin oikeudessa. Finanssivalvonnan on tehtävä ilmoitus ennen sivuliikkeen toiminnan aloittamista tai kahden kuukauden kuluessa 1 momentissa tarkoitetun ilmoituksen saamisesta välittäjän kotivaltion toimivaltaiselta viranomaiselta. Momentilla pannaan täytäntöön direktiivin 32 artiklan 4 kohta. 

Pykälän 3 momentti koskee tietoja, jotka Finanssivalvonnan on merkittävä rekisteriin ulkomaisista luotonvälittäjistä, jotka harjoittavat toimintaa Suomessa. Momentti koskee sekä sivuliikkeitä että palvelujen vapaan tarjonnan nojalla toimintaa harjoittavia, ja se perustuu direktiivin 32 artiklan 3 kohtaan. Momentin 1 kohdan mukaan rekisteriin on merkittävä luotonvälittäjän nimi ja tämän rekisterinumero tai muu vastaava tunniste, ja jos luotonvälittäjä on luonnollinen henkilö, myös tämän syntymäaika. Rekisterinumerolla tarkoitetaan suomalaista yritys- ja yhteisötunnusta vastaavaa yrityksen yksilöivää tunnistetta. Momentin 2 kohdan mukaan rekisteriin on merkittävä myös luotonvälittäjän päätoimipaikan osoite ja mahdolliset muut Finanssivalvonnalle ilmoitetut yhteystiedot, kuten sähköpostiosoite ja puhelinnumero. Jos kyse on sivuliikkeestä, vastaavat tiedot tulee merkitä myös siitä edellyttäen, että yhteystiedot ovat tiedossa ilmoituksen tekemisen hetkellä. Momentin 3 kohdan mukaan sivuliikkeiden osalta tulisi merkitä myös ehdotetun sivuliikkeen johtamisesta vastaavien henkilöiden nimet. Tämä on mahdollista luonnollisesti vain silloin, kun henkilöt ovat tiedossa ilmoituksen tekemishetkellä. Lisäksi rekisteriin tulee merkitä ehdotetun 4 kohdan mukaan luotonvälittäjän kotivaltion toimivaltaisen viranomaisen nimi sekä sen luotonvälittäjärekisterin internetosoite, johon luotonvälittäjä on merkitty. Ehdotetun 5 kohdan mukaan rekisteriin merkitään myös palvelut, joita luotonvälittäjä aikoo tarjota Suomessa siinä laajuudessa kuin ne ilmenevät kotivaltion toimivaltaisen viranomaisen Finanssivalvonnalle toimittamasta ilmoituksesta. Ehdotetun 6 kohdan mukaan rekisteriin on merkittävä yhden tai useamman sellaisen luotonantajan nimi ja rekisterinumero tai muu vastaava tunniste, johon luotonvälittäjä on sidoksissa tai jonka puolesta luotonvälittäjä yksinomaan toimii. Jos tällaisia luotonantajia on, tulee niiden myös vahvistaa ottavansa täysi ja ehdoton vastuu luotonvälittäjän toiminnasta. Selvää on, ettei kohta koske tapauksia, joissa luotonvälittäjällä ei ole sidonnaisuuksia luotonantajiin. Ehdotetun 7 kohdan mukaan rekisteriin tulee merkitä päivämäärä, jona kotivaltion toimivaltainen viranomainen on ilmoituksensa mukaan antanut luotonvälittäjälle 1 momentissa tarkoitetun ilmoituksen eli ilmoituksen siitä, että Finanssivalvonnalle on ilmoitettu toiminnan aloittamisesta Suomessa. 

17 §.Valvonta. Pykälässä säädetään lain valvonnasta. Ehdotuksen mukaan Finanssivalvonta valvoisi lain noudattamista. 

18 §.Oikeus saada tietoja sakko- ja rikosrekisteristä. Pykälässä säädetään Finanssivalvonnan oikeudesta saada tietoja sakko- ja rikosrekisteristä. Jotta Finanssivalvonta voisi arvioida välittäjän luotettavuutta, sillä on oltava oikeus saada tätä varten tarpeelliset tiedot sakon täytäntöönpanosta annetun lain (672/2002) 46 §:ssä tarkoitetusta sakkorekisteristä. Sen sijaan rikosrekisteritiedot välittäjän luotettavuuden selvittämiseksi Finanssivalvonnalle voidaan luovuttaa rikosrekisterilain (770/1993) 4 a §:n nojalla. 

19 §.Luotonvälitys ilman rekisteröintiä ja neuvontapalvelujen tarjoaminen lainvastaisesti. Pykälän 1 momentin mukaan Finanssivalvonnan on kiellettävä asunto-omaisuuteen liittyvien kuluttajaluottojen välitys tai tällaisiin luottoihin liittyvien neuvontapalvelujen tarjoaminen, jos toimintaa harjoitetaan lainvastaisesti ilman rekisteröintiä tai ennen kuin 15 §:n 3 momentissa tai 16 §:n 1 momentissa tarkoitettu aika ilmoituksen saamisesta on kulunut umpeen. Sama koskee myös tapauksia, joissa välittäjä ei ole ylipäätään vastaanottanut mainituissa säännöksissä tarkoitettua ilmoitusta. Samoin Finanssivalvonnan on kiellettävä neuvontapalvelujen tarjoaminen, jos neuvontapalvelu ei täytä 4 §:ssä säädettyjä edellytyksiä eli jos esimerkiksi neuvontapalvelun tarjoaja kuuluu jonkin luotonantajan kanssa samaan konserniin.  

Yleensä kielto kohdistetaan välittäjänä toimivaan yhteisöön tai elinkeinonharjoittajaan. Erityisestä syystä Finanssivalvonta voisi kohdistaa kiellon myös asunto-omaisuuteen liittyvien kuluttajaluottojen välitystä tai tällaisiin luottoihin liittyvien neuvontapalvelujen tarjoamista harjoittavan palveluksessa olevaan henkilöön tai muuhun, joka toimii hänen lukuunsa. Henkilöön kohdistettu kielto voi olla perusteltu esimerkiksi silloin, kun on ilmeistä, että kyseinen yhteisö ei tule noudattamaan kieltoa eikä kykene suoriutumaan kieltopäätökseen liitettävästä uhkasakosta. Samalla tavoin voidaan arvioida tilannetta, jossa on syytä uskoa, että välittäjälle määrättyä kieltoa aiotaan kiertää jatkamalla kiellettyä toimintaa uudessa yrityksessä. 

Koska kiellon tarkoituksena on keskeyttää lain säännösten vastaisesti harjoitettu asunto-omaisuuteen liittyvien kuluttajaluottojen välitys tai tällaisiin luottoihin liittyvien neuvontapalvelujen tarjoaminen, on myös perusteltua, että kiellon noudattamiselle asetetaan mahdollisimman lyhyt määräaika. Yleensä voitaneen lähteä siitä, että luvattomasti tällaista toimintaa harjoittavan sallitaan tehdä kiellon antamisen jälkeen ainoastaan toiminnan lopettamiseksi välttämättömät toimenpiteet. 

Finanssivalvonnalla on Finanssivalvonnasta annetun lain 33 a §:n mukaan toimivalta asettaa kiellon tehosteeksi uhkasakko. Mainitusta pykälästä poiketen 2 momentissa säädetään, että Finanssivalvonnalla on velvollisuus asettaa uhkasakko 1 momentissa tarkoitetun kiellon tehosteeksi, jollei se erityisestä syystä ole tarpeetonta.  

Finanssivalvonnasta annetun lain 10 §:n mukaan uhkasakon tuomitsee maksettavaksi Finanssivalvonnan johtokunta. Lisäksi siltä osin kuin mainitusta laista ei muuta seuraa, sovelletaan uhkasakkolain (1113/1990) säännöksiä. 

Pykälän 2 momentissa viitataan myös Finanssivalvonnan oikeuteen määrätä julkinen varoitus, josta säädetään Finanssivalvonnasta annetussa laissa. 

20 §.Rekisteristä poistaminen. Pykälän 1 momentin 1 kohdan mukaan Finanssivalvonnan on poistettava rekisteristä ilman aiheetonta viivytystä suomalainen luotonvälittäjä, joka ei ole harjoittanut asunto-omaisuuteen liittyvien kuluttajaluottojen välitystä tai tällaisiin luottoihin liittyvien neuvontapalvelujen tarjoamista edeltävän kuuden kuukauden aikana tai on lopettanut toimintansa. Kohdalla pannaan täytäntöön direktiivin 33 artiklan 1 kohdan a alakohta. Vaatimus siitä, että rekisteristä poistamisen on tapahduttava ilman aiheetonta viivytystä, perustuu direktiivin 33 artiklan 3 kohtaan. 

Momentin 2 kohdan mukaan rekisteristä on poistettava välittäjä, joka on hyväksytty rekisteriin tämän antamien virheellisten tai harhaanjohtavien tietojen vuoksi. Kohdalla pannaan täytäntöön direktiivin 33 artiklan 1 kohdan b alakohta. Annettujen virheellisten tai harhaanjohtavien tietojen on tullut olla laadultaan sellaisia, että ilmoituksen tekijää ei olisi hyväksytty rekisteriin siinä tapauksessa, että Finanssivalvonnalla olisi kyseisten tietojen sijaan ollut käytössään oikeasisältöiset tiedot.  

Myös sellainen välittäjä on momentin 3 kohdan mukaan poistettava rekisteristä, joka ei enää täytä 6 §:n 1 momentin 1—3 kohdassa säädettyjä rekisteröinnin edellytyksiä. Kohdalla pannaan täytäntöön direktiivin 33 artiklan 1 kohdan c alakohta.  

Välittäjä on 4 kohdan mukaan poistettava rekisteristä, jos se harjoittaa asunto-omaisuuteen liittyvien kuluttajaluottojen välitystä toisen välikätenä. Toisen välikätenä toimiminen on 6 §:n 3 momentin mukaan myös rekisteröinnin este. Kohta ei perustu direktiiviin, vaan se on kansallista sääntelyä. Vastaava säännös sisältyy 3. lakiehdotuksen 18 §:n 1 momentin 3 kohtaan. 

Momentin 5 kohdan mukaan Finanssivalvonnan on poistettava välittäjä rekisteristä, jos 6 §:n 1 momentin 4 kohdassa säädetty rekisteröinnin edellytys ei enää täyty eikä välittäjä ole asetetussa määräajassa ilmoittanut uusia henkilöitä, jotka täyttävät säädetyn vaatimuksen luottotoimintaa koskevasta asiantuntemuksesta. Vastaava säännös sisältyy 3. lakiehdotuksen 18 §:n 1 momentin 4 kohtaan. 

Välittäjä on 6 kohdan mukaan poistettava rekisterissä myös silloin, jos 6 §:n 1 momentin 5 kohdassa säädetty rekisteröinnin edellytys ei enää täyty eikä välittäjä ole asetetussa määräajassa järjestänyt 8 §:n edellytykset täyttävää vastuuvakuutusta tai muuta vakuutta. Säännös perustuu direktiivin 29 artiklan 2 kohdan a alakohtaan. 

Lisäksi välittäjä tulee 7 kohdan mukaan poistaa rekisteristä siinä tapauksessa, että välittäjälle on jo aiemmin asetettu 21 §:n 1 momentissa tarkoitettu määräaikainen toimintakielto, mutta välittäjän tai sen ylimmän johdon toiminnassa ilmenevät vakavat tai toistuvat laiminlyönnit jatkuvat sen jälkeenkin. Vastaava säännös sisältyy 3. lakiehdotuksen 18 §:n 1 momentin 5 kohtaan. 

Pykälän 2 momentissa säädetään Finanssivalvonnan oikeudesta antaa asiakkaiden etujen turvaamiseksi määräyksiä toimenpiteistä, joihin välittäjän on ryhdyttävä toiminnan lopettamiseksi. 

Pykälän 3 momentin mukaan Finanssivalvonnan on 14 päivän kuluessa asunto-omaisuuteen liittyvien kuluttajaluottojen välittäjän poistamisesta rekisteristä ilmoitettava tästä niiden muiden ETA-valtioiden toimivaltaisille viranomaisille, joissa välittäjä on 15 §:n 1 momentin mukaisesti ilmoittanut toimivansa. 

21 §.Suomalaista luotonvälittäjää koskevat muut seuraamukset. Pykälän 1 momentissa säädetään Finanssivalvonnan oikeudesta kieltää suomalaista luotonvälittäjää jatkamasta toimintaansa, jos välittäjä olennaisesti laiminlyö noudattaa ehdotetun lain 9 §:n 3 momentin, 11—13 §:n tai 15 §:n 1 momentin mukaisia velvollisuuksiaan, eikä laiminlyöntiä ole korjattu Finanssivalvonnan asettamassa kohtuullisessa ajassa. Kielto on voimassa niin kauan kunnes laiminlyönti on korjattu. 

Pykälän 2 momentissa toistetaan selvyyden vuoksi Finanssivalvonnalle Finanssivalvonnasta annetun lain 33 a §:n mukaan kuuluva toimivalta asettaa kiellon tehosteeksi uhkasakko. Momentti sisältää myös viittauksen Finanssivalvonnasta annettuun lakiin siltä osin kuin laissa säädetään Finanssivalvonnan oikeudesta määrätä julkinen varoitus. 

22 §.Ulkomaisen luotonvälittäjän sivuliikkeeseen kohdistettavat seuraamukset. Pykälän 1 momentin mukaan Finanssivalvonnan on vaadittava ulkomaista luotonvälittäjää, jolla on sivuliike Suomessa, lopettamaan säännösten vastainen menettely, jos Finanssivalvonta toteaa, että välittäjä ei noudata 6 §:n 1 momentin 4 kohdan tai 11—13 §:n säännöksiä. Momentilla pannaan täytäntöön direktiivin 34 artiklan 2 kohdan toinen alakohta. 

Pykälän 2 momentissa säädetään seuraamuksista tilanteissa, joissa välittäjä ei toteuta vaadittuja toimenpiteitä. Finanssivalvonta voi tällöin määrätä 21 §:n 1 momentissa tai Finanssivalvonnasta annetussa laissa säädettyjä hallinnollisia seuraamuksia sen varmistamiseksi, että välittäjä lopettaa säännösten vastaisen menettelyn. Finanssivalvonnan on ilman aiheetonta viivytystä ilmoitettava päätetyistä hallinnollisista seuraamuksista asuntoluottodirektiivin 34 artiklan 2 kohdan mukaisesti välittäjän kotivaltion toimivaltaisille viranomaisille ja komissiolle. Momentilla pannaan täytäntöön direktiivin 34 artiklan 2 kohdan kolmas ja neljäs alakohta. 

Pykälän 3 momentissa säädetään menettelystä, jota on noudatettava, jos Finanssivalvonnalla on perusteltu syy epäillä, että ulkomaisen luotonvälittäjän Suomessa oleva sivuliike ei noudata asuntoluottodirektiivin muiden kuin 34 artiklan 2 kohdan toisessa alakohdassa mainittujen artiklojen täytäntöön panemiseksi annettuja säännöksiä. Momentilla pannaan osaltaan täytäntöön direktiivin 34 artiklan 4 kohdan ensimmäinen alakohta. 

Pykälän 4 momentissa säädetään noudatettavasta menettelystä silloin, kun välittäjän kotivaltion toimivaltainen viranomainen ei toteuta tarvittavia toimia kuukauden kuluessa kyseisten tietojen saamisesta tai jossa välittäjä sen kotivaltion toimivaltaisten viranomaisten toimista huolimatta toimii edelleen tavalla, joka on selvästi suomalaisten kuluttajien etujen vastainen tai haittaa markkinoiden asianmukaista toimintaa Suomessa. Momentilla pannaan osaltaan täytäntöön direktiivin 34 artiklan 4 kohdan toinen alakohta. 

23 §.Muita ulkomaisia luotonvälittäjiä koskevat seuraamukset. Pykälän 1 momentissa säädetään 22 §:n 3 momenttia vastaavasti Finanssivalvonnan velvollisuudesta ilmoittaa ulkomaisen luotonvälittäjän kotivaltion toimivaltaiselle viranomaiselle, jos Finanssivalvonnalla on perusteltu syy epäillä, että ilman sivuliikettä Suomessa toimiva ulkomainen välittäjä ei noudata sen kotivaltiossa direktiivin täytäntöön panemiseksi annettuja säännöksiä. Momentilla pannaan osaltaan täytäntöön direktiivin 34 artiklan 4 kohdan ensimmäinen alakohta. 

Pykälän 2 momentissa säädetään 22 §:n 4 momenttia vastaavasti Finanssivalvonnan velvollisuuksista tilanteessa, jossa ulkomaisen luotonvälittäjän kotivaltion toimivaltainen viranomainen ei toteuta tarvittavia toimia kuukauden kuluessa kyseisten tietojen saamisesta tai jossa välittäjä sen kotivaltion toimivaltaisten viranomaisten toimista huolimatta toimii edelleen tavalla, joka on selvästi suomalaisten kuluttajien etujen vastainen tai haittaa markkinoiden asianmukaista toimintaa Suomessa. Momentilla pannaan osaltaan täytäntöön direktiivin 34 artiklan 4 kohdan toinen alakohta. 

Finanssivalvonnan on tällaisissa tapauksissa ensiksi ilmoitettava kotijäsenvaltion toimivaltaisille viranomaisille asiasta, minkä jälkeen se voi määrätä 22 §:n 2 momentissa tarkoitettuja hallinnollisia seuraamuksia. Hallinnollisista seuraamuksista on ilmoitettava komissiolle ja Euroopan pankkivalvontaviranomaiselle ilman aiheetonta viivytystä. Finanssivalvonnalla on myös mahdollisuus saattaa asia myös pankkivalvontaviranomaisen käsiteltäväksi Euroopan valvontaviranomaisen (Euroopan pankkiviranomainen) perustamista koskevan asetuksen (EU) N:o 1093/2010 19 artiklan mukaisesti.  

24 §.Valvontavaltuudet. Pykälässä säädetään Finanssivalvonnan valvontavaltuuksista, ja sillä pannaan täytäntöön direktiivin 34 artiklan 2 kohdan viides alakohta sekä saman artiklan 3 ja 5 kohta. 

Pykälän 1 momentin mukaan Finanssivalvonnalla on oikeus tarkastaa suomalaisen luotonvälittäjän toisessa ETA-valtiossa olevan sivuliikkeen toimintaa Finanssivalvonnasta annetun lain 24 §:n ja 25 §:n säännösten mukaisesti. Lain 24 § koskee tarkastusoikeutta, ja lain 25 § sisältää oikeudenkäyntiasiamiehiä ja oikeudenkäyntiavustajia sekä asianajajia koskevan poikkeuksen tietojensaanti- ja tarkastusoikeudesta.  

Jos Finanssivalvonta ei hyväksy toisen ETA-valtion viranomaisen toteuttamia toimia, jotka koskevat suomalaisen luotonvälittäjän kyseisessä valtiossa sijaitsevaa sivuliikettä, Finanssivalvonta voi saattaa asian pankkivalvontaviranomaisen käsiteltäväksi Euroopan valvontaviranomaisen (Euroopan pankkiviranomainen) perustamista koskevan asetuksen (EU) N:o 1093/2010 19 artiklan mukaisesti. Tältä osin momentilla pannaan täytäntöön direktiivin 34 artiklan 2 kohdan viides alakohta.  

Pykälän 2 momentin mukaan Finanssivalvonnalla on oikeus saada ulkomaiselta luotonvälittäjältä valvontatehtävänsä taikka laissa tai asuntoluottodirektiivissä säädettyjen muiden tehtäviensä hoitamiseksi tarpeelliset tiedot. Finanssivalvonnan on kuitenkin ilmoitettava asiasta etukäteen ulkomaisen luotovälittäjän kotivaltion toimivaltaiselle viranomaiselle. 

Pykälän 3 momentissa säädetään Finanssivalvonnan oikeudesta tarkastaa ulkomaisen luotonvälittäjän Suomessa sijaitsevan sivuliikkeen toimintaa valvontatehtävänsä taikka laissa tai asuntoluottodirektiivissä säädettyjen muiden tehtäviensä hoitamiseksi. Myös tällaisista tarkastuksista on ilmoitettava etukäteen ulkomaisen luotonvälittäjän kotivaltion toimivaltaiselle viranomaiselle. 

Kun Finanssivalvonta käyttää 2 ja 3 momentin mukaista tietojensaanti- ja tarkastusoikeutta, sovelletaan pykälän 4 momentin mukaan Finanssivalvonnasta annetun lain 3 luvun säännöksiä muuta finanssimarkkinoilla toimivaa koskevasta tiedonsaanti- ja tarkastusoikeudesta, 33 a §:ää uhkasakon asettamisesta sekä 34 §:ää ulkopuolisen asiantuntijan käyttämisestä. Viimeksi mainitun pykälän mukaan Finanssivalvonta voi valvottavan tai muun finanssimarkkinoilla toimivan valvonnan kannalta tarpeellisen, erityistä asiantuntemusta vaativan asian selvittämiseksi käyttää tilintarkastajaa tai muuta ulkopuolista asiantuntijaa. Kyseisessä pykälässä säädetään myös muun muassa asiantuntijan vastuusta, riippumattomuudesta ja asiantuntijan palkkion maksamisesta. 

25 §.Oikeus vahingonkorvaukseen. Pykälässä säädetään kuluttajan tai muun, jonka oikeutta toimeksianto tai luottosopimus koskee, oikeudesta vahingonkorvaukseen. Selvää on, että säännös voi tulla sovellettavaksi vain silloin, kun Suomen laki ylipäänsä tulee sovellettavaksi tapaukseen sopimusvelvoitteisiin sovellettavaa lakia koskevan Rooma I -asetuksen (Euroopan parlamentin ja neuvoston asetus (EY) N:o 593/2008) tai sopimukseen perustumattomiin velvoitteisiin sovellettavaa lakia koskevan Rooma II -asetuksen (Euroopan parlamentin ja neuvoston asetus (EY) N:o (864/2007) nojalla. 

Pykälän 1 momentissa säädetään luotonvälittäjän velvollisuudesta korvata vahinko, joka hänen lain tai toimeksiantosopimuksen vastaisesta menettelystään aiheutuu kuluttajalle tai muulle, jonka oikeutta toimeksianto tai luottosopimus koskee. Tällaisia muita tahoja voivat olla esimerkiksi luoton takaaja tai vierasvelkapantin luoton vakuudeksi antanut taikka luotonantaja. Jos luotonvälittäjä osoittaa toimineensa ammattitaitoisesti ja huolellisesti, vapautuu tämä kuitenkin vastuusta. 

Pykälän 2 momentissa säädetään luotonvälittäjänä toimivan yhteisön toimitusjohtajan, hallituksen jäsenen tai siihen rinnastettavan toimielimen jäsenen sekä vastuunalaisen yhtiömiehen henkilökohtaisesta korvausvastuusta tilanteissa, joissa 12 §:ssä säädettyä kieltoa vastaanottaa, pitää hallussa tai välittää asiakkaalle kuuluvia varoja on rikottu, ja tästä on aiheutunut vahinkoa kuluttajalle tai muulle, jonka oikeutta toimeksianto tai luottosopimus koskee. Vahingonkorvausvaatimus voitaisiin kohdistaa myös yhteisön toimitusjohtajaan, hallituksen jäseneen tai siihen rinnastettavan toimielimen jäseneen sekä vastuunalaiseen yhtiömieheen, jos vahinko on johtunut siitä, että tämä on tahallaan tai huolimattomuudesta laiminlyönyt huolehtia siitä, että toiminnassa noudatetaan 12 §:ssä säädettyä kieltoa. Sama koskee hallituksen varajäseneltä, jos hän on toiminut hallituksen jäsenenä varsinaisen jäsenen ollessa estyneenä. Vahingonkorvausvastuusta vapautuminen edellyttää, että säännöksessä mainitut tahot ovat huolehtineet siitä, että menettelytavat ja henkilöstön ohjeistukset on laadittu kiellon noudattamiseksi asianmukaisiksi, ja että näiden noudattamista on riittävästi valvottu. 

Pykälän 3 momentin mukaan sopimusehto, joka poikkeaa 1 tai 2 momentin säännöksistä kuluttajan tai korvaukseen oikeutetun muun luonnollisen henkilön vahingoksi, on mitätön. 

Pykälän 4 momentissa viitataan vahingonkorvauslakiin, jonka 2 ja 6 luvussa säädetään vahingonkorvauksen sovittelusta ja korvausvastuun jakaantumisesta kahden tai useamman korvausvelvollisen kesken. 

26 §.Rangaistussäännökset. Ehdotuksen mukaan asunto-omaisuuteen liittyvien kuluttajaluottojen välitysrikoksesta tuomitaan, jollei teosta muualla laissa säädetä ankarampaa rangaistusta, pykälän 1 momentin mukaan se, joka tahallaan harjoittaa asunto-omaisuuteen liittyvien kuluttajaluottojen välitystä tai tällaisiin luottoihin liittyvien neuvontapalvelujen tarjoamista ilman rekisteröintiä. Rangaistusuhkana on sakko tai enintään kuusi kuukautta vankeutta. 

Ehdotetussa tunnusmerkistössä tarkoitettua menettelyä voidaan pitää niin moitittavana, että rikosoikeudellinen vastuu siitä on perusteltu. Myös elinkeino-oikeudellisen sääntelyn tehokkuuden varmistaminen puoltaa ehdotettua sääntelyä. Ehdotettu rangaistusasteikko vastaa rangaistavaksi säädettävän tekotyypin moitittavuutta, ja asteikko on myös linjassa muiden vastaavantyyppisiä tekoja koskevien elinkeino-oikeudelliseen toimintaan liittyvien rangaistussäännösten kanssa.  

Vahva perussääntö on, että vankeusuhkaiset rangaistussäännökset tulee sijoittaa rikoslakiin. Tästä pääsäännöstä poikkeaminen edellyttää painavia perusteita. Ehdotetussa rangaistussäännöksessä tarkoitetun tyyppisiä, myös matalan vankeusrangaistusuhan käsittäviä rangaistussäännöksiä on nykyisellään aineellisoikeudellisessa lainsäädännössä, ja asianmukaisena pidetäänkin, että myös ehdotettu rangaistussäännös sijoitetaan aineelliseen lakiin, jonka vastaisesta menettelystä rikoksessa on kysymys. 

Jos Finanssivalvonta on tehostanut 19 §:n 1 momentin nojalla määrättyä kieltoa uhkasakolla, päällekkäisyyksien estämiseksi pykälän 2 momentissa säädetään, ettei rikkojaa tällöin voida tuomita samasta teosta rangaistukseen, jos uhkasakko on lainvoimaisella päätöksellä tuomittu maksettavaksi. Säännös vastaa 3. lakiehdotuksen 19 §:n 3 momenttia.  

27 §.Muutoksenhaku Finanssivalvonnan päätökseen. Pykälän viittaussäännöksen mukaan Finanssivalvonnan tekemästä päätöksestä voi valittaa siten kuin Finanssivalvonnasta annetussa laissa säädetään.  

28 §.Voimaantulo. Pykälän 1 momentti sisältää tavanomaisen voimaantulosäännöksen.  

Pykälän 2 momentin mukaan Finanssivalvonta voi ottaa rekisteri-ilmoituksen käsiteltäväkseen ennen lain voimaantuloa, ja ilmoituksen tekijä voidaan rekisteröidä asunto-omaisuuteen liittyvien kuluttajaluottojen välittäjistä pidettävään rekisteriin lain tullessa voimaan.  

29 §.Siirtymäsäännökset. Pykälän 1 momentin mukaan se, joka lain voimaan tullessa harjoittaa tämän lain mukaan rekisteröintiä edellyttävää toimintaa, saa jatkaa toimintaansa Suomessa ilman rekisteröintiä 21 päivään maaliskuuta 2017 saakka.  

Pykälän 2 momentissa säädetään noudatettavista tietämystä ja pätevyyttä koskevista vaatimuksista. Asunto-omaisuuteen liittyvien kuluttajaluottojen välitystä tai niitä koskevien neuvontapalvelujen tarjoamista vähintään 19 päivästä maaliskuuta 2014 harjoittaneen on noudatettava 3 §:n 3 momentin ja 6 §:n 1 momentin 4 kohdan säännöksiä tietämystä ja pätevyyttä koskevista vaatimuksista 21 päivästä maaliskuuta 2017.  

1.3  Laki eräiden luotonantajien ja luotonvälittäjien rekisteröinnistä

Yleistä. Laki on uusi, mutta vastaa sisällöltään pääosin nykyistä eräiden luotonantajien rekisteröinnistä annettua lakia. Jäljempänä selvitetään lain sisältöä lähinnä vain siltä osin kuin ehdotettu säännös poikkeaa voimassa olevan lain sisällöstä. 

1 §.Soveltamisala. Pykälässä säädetään lain soveltamisalasta. Pykälän 1 momentin ensimmäiseen virkkeeseen tehdään teknisluonteinen tarkistus sen johdosta, että asunto-omaisuuteen liittyvistä kuluttajaluotoista säädettäisiin 1. lakiehdotuksen mukaan kuluttajansuojalain 7 a luvussa, kun niitä nykyisin koskevat kuluttajansuojalain 7 luvun säännökset. Laki koskisi sekä kuluttajansuojalain 7 luvun että uuden 7 a luvun soveltamisalaan kuuluvia kuluttajaluottoja myöntäviä elinkeinonharjoittajia. Asunto-omaisuuteen liittyviä kuluttajaluottoja ovat 1. lakiehdotuksen 3 §:n 1 momentin 2 kohdassa tarkoitetut asuntoluotot sekä saman momentin 3 kohdassa tarkoitetut asuntovakuudelliset kuluttajaluotot. Asiallisesti lain soveltamisala ei siis tältä osin muuttuisi. 

Pykälän 1 momentin toisen virkkeen mukaan lain soveltamisalaa laajennettaisiin koskemaan myös elinkeinonharjoittajia, jotka välittävät luottoja kuluttajille, jos luotonantajana on joku muu kuin kuluttajansuojalain 7 tai 7 a luvussa tarkoitettu luotonantaja (vertaislaina). Luottojen välittämisellä tarkoitetaan säännöksessä kuluttajansuojalain 7 luvun 7 §:n 6 kohtaa vastaavasti luottosopimusten esittelemistä tai tarjoamista kuluttajille tai muutoin kuluttajien avustamista luottosopimuksen tekemisessä tai luottosopimusten tekemistä kuluttajan kanssa luotonantajan puolesta. Vertaislainauksessa kyse on siis toiminnasta, jossa elinkeinonharjoittaja toimii välittäjänä mahdollistaen lainasuhteen synnyn kahden yksityishenkilön välillä tai yksityishenkilön ja sellaisen oikeushenkilön välillä, joka ei ole ammattimainen luotonantaja.  

Pykälän 2 momentissa säädetään soveltamisalan rajoituksista, ja se vastaa pitkälti nykyisen lain 1 §:n 2 momenttia. Momentin 1 kohdan mukaan lain soveltamisalan ulkopuolelle rajataan elinkeinonharjoittajat, joita Finanssivalvonta valvoo Finanssivalvonnasta annetun lain 4 §:n nojalla. Lakia ei siis sovellettaisi esimerkiksi kotimaisiin luottolaitoksiin, ETA-valvottavien luottolaitosten Suomessa oleviin sivuliikkeisiin, ulkomaisten valvottavien palvelujen tarjoamiseen Suomessa sivuliikettä perustamatta eikä sijoituspalveluyrityksiin. Rajaus on tarpeen päällekkäisyyksien välttämiseksi. 

Momentin 2 kohdassa säädetään maksulaitoslain 7 §:ssä tarkoitettuja maksupalvelujen tarjoajia koskevasta poikkeuksesta. Poikkeus on tarpeen sen johdosta, että 3. lakiehdotusta ehdotetaan sovellettavaksi myös vertaislainanvälittäjiin. Tietyissä tapauksissa vertaislainanvälittäjät saattavat kuulua Finanssivalvonnasta annetun lain 5 §:ssä tarkoitettuihin muihin valvottaviin, ja rajauksella pyritäänkin estämään mahdolliset päällekkäisyydet.  

Momentin 3 kohdassa rajataan lain soveltamisalan ulkopuolelle panttilainauslaitokset. Panttilainauslaitoksilta edellytettävästä toimiluvasta säädetään panttilainauslaitoksista annetussa laissa. 

Momentin 4 kohdan mukaan lain soveltamisalaan eivät kuulu elinkeinonharjoittajat, jotka myöntävät kuluttajaluottoja vain myymiensä kulutushyödykkeiden oston rahoittamiseksi. Ratkaisevaa on, voiko kuluttaja käyttää elinkeinonharjoittajan myöntämää luottoa ainoastaan kyseisen elinkeinonharjoittajan myymien kulutushyödykkeiden ostoon vai myös muuhun tarkoitukseen.  

Momentin 5 kohdan mukaan lakia ei sovelleta myöskään valtioon, kuntaan eikä muihin julkisyhteisöihin. 

Momentin 6 kohdan mukaan laki ei koske toiseen ETA-valtioon sijoittautuneita elinkeinonharjoittajia, jotka tilapäisesti tarjoavat kuluttajaluottoja tai välittävät vertaislainoja Suomessa. Tilapäisellä kuluttajaluottojen tarjoamisella tai vertaislainanvälittämisellä tarkoitetaan palvelujen tarjoamista ilman, että sijoittautumista koskevat kriteerit täyttyvät. Sijoittautumista koskevien kriteerien sisältöä on selostettu nykyisen lain 1 §:n 2 momentin 4 kohtaa koskevissa yksityiskohtaisissa perusteluissa (HE 24/2010 vp, s. 46). 

2 §.Oikeus myöntää kuluttajaluottoja ja välittää vertaislainoja. Pykälän ensimmäinen virke vastaa nykyisen lain 2 §:ää. Pykälän toisessa virkkeessä säädettäisiin muun kuin 1 §:n 2 momentissa tarkoitetun elinkeinonharjoittajan oikeudesta välittää vertaislainoja vain silloin, jos se on rekisteröity vertaislainanvälittäjäksi tai luotonantajaksi.  

3 §.Luotonantaja- ja vertaislainanvälittäjärekisteri ja rekisteri-ilmoitus. Pykälän 1 momentissa säädettäisiin Etelä-Suomen aluehallintoviraston velvollisuudesta pitää luotonantaja- ja vertaislainanvälittäjärekisteriä. Nykyinen luotonantajarekisteri muutettaisiin luotonantaja- ja vertaislainanvälittäjärekisteriksi, jonne rekisteröitäisiin lain soveltamisalaan kuuluvat luotonantajat ja vertaislainanvälittäjät. 

Pykälän 2 momentti vastaa pääosin nykyisen lain 3 §:n 2 momenttia, mutta siinä säädettäisiin myös vertaislainanvälittämistä suunnittelevan velvollisuudesta tehdä Etelä-Suomen aluehallintovirastolle ilmoitus rekisteriin merkitsemistä varten. Rekisteri-ilmoitukseen olisikin sisällytettävä tieto siitä, hakeeko ilmoituksen tekijä rekisteröintiä luotonantajaksi vai vertaislainanvälittäjäksi ja, jos kyse on luotonantajaksi rekisteröitymisestä, aikooko tämä myöntää myös 1. lakiehdotuksen 7 a luvun soveltamisalaan kuuluvia asunto-omaisuuteen liittyviä kuluttajaluottoja tai välittää vertaislainoja. Uutta olisi sekä luotonantajien että vertaislainanvälittäjien osalta myös se, että rekisteri-ilmoitukseen olisi sisällytettävä momentin 5 kohdan mukaan tieto siitä, onko ilmoituksen tekijällä tarkoitus vastaanottaa asiakasvaroja, ja jos se aikoo näin tehdä, selvitys myös siitä, miten se aikoo huolehtia asiakasvarojen säilyttämisestä ja käsittelemisestä.  

Pykälän 3 momentti vastaa nykyisen lain 3 §:n 3 momenttia. 

4 §.Rekisteröinnin edellytykset. Pykälä vastaa pääosin nykyisen lain 4 §:ää, mutta se koskisi jatkossa myös vertaislainanvälittäjiä ja vertaislainanvälitystä.  

5 §.Luotettavuus. Pykälä vastaa pääosin nykyisen lain 5 §:n 1 momenttia, mutta siihen tehtäisiin tarvittavat terminologiset muutokset koskien vertaislainanvälitystä. Lisäksi momentista on poistettu virheellinen viittaus säätiöön. 

6 §.Oikeushenkilö ilmoituksen tekijänä. Pykälän 1 momentti vastaa nykyisen lain 5 §:n 2 momenttia. Pykälän 2 momentti vastaa muutoin nykyisen lain 6 §:ää, mutta toiseen virkkeeseen lisättäisiin maininnat vertaislainanvälityksestä. 

7 §.Rekisteriin merkittävät tiedot ja muutoksista ilmoittaminen. Pykälä vastaa pääosin sisällöltään nykyisen lain 7 §:ää. Vertaislainanvälitystä koskevien muutosten ohella uutta on, että 1 momentin 3 kohdan mukaan rekisteriin merkitään, onko elinkeinonharjoittaja luotonantaja vai vertaislainanvälittäjä, ja, jos kyseessä on luotonantaja, myöntääkö tämä myös 1. lakiehdotuksen 7 a luvun soveltamisalaan kuuluvia asunto-omaisuuteen liittyviä kuluttajaluottoja tai harjoittaako tämä vertaislainanvälitystä.  

Uutta olisi momentin 6 kohdan nojalla, että rekisteriin merkittäisiin tieto siitä, onko luotonantajalla tai vertaislainanvälittäjällä oikeus ottaa vastaan asiakasvaroja. Jos ilmoituksen tekijä ei n ilmoituksensa mukaan aio vastaanottaa asiakasvaroja tai jos ilmoituksen tekijälle ei myönnetä 10 §:n mukaisesti lupaa asiakasvarojen vastaanottamiseen, rekisteriin merkittäisiin tieto siitä, että luotonantajalla tai vertaislainanvälittäjällä ei ole oikeutta vastaanottaa asiakasvaroja. Vastaavasti jos ilmoituksen tekijälle myönnetään lupa asiakasvarojen vastaanottamiseen, merkittäisiin rekisteriin tieto tästä oikeudesta.  

8 §.Tietojen luovuttaminen. Pykälä vastaa nykyisen lain 8 §:ää. 

9 §.Luotonantajan ja vertaislainanvälittäjän johdon velvoitteet. Pykälän 1 momentti vastaa asiallisesti muutoin nykyisen lain 9 §:ää, mutta se koskee myös vertaislainanvälittäjien johtoa.  

Ehdotettu pykälän 2 momentti on uusi, ja siinä säädetään luotonantajan palveluksessa olevien ja muutoin tämän lukuun toimivien henkilöiden tietämystä ja pätevyyttä koskevista vähimmäisvaatimuksista. Momentin mukaan 1. lakiehdotuksen 7 a luvun soveltamisalaan kuuluvia kuluttajaluottoja myöntävän luotonantajan palveluksessa olevilla ja muutoin sen lukuun toimivilla henkilöillä, jotka osallistuvat luottojen myöntämiseen, on oltava luottotoimintaa koskeva riittävä tietämys ja pätevyys. Kyseiset vaatimukset koskevat myös henkilöitä, joiden välittömän johdon ja valvonnan alaisina luoton myöntämiseen osallistuvat henkilöt toimivat, eli käytännössä luoton myöntämiseen osallistuvien henkilöiden lähiesimiehiä. Tietämystä ja pätevyyttä koskevista vaatimuksista säädetään asuntoluottodirektiivin liitteessä III, joka on tarkoitus panna täytäntöön valtioneuvoston asetuksella. Momentilla pannaan osaltaan täytäntöön direktiivin 9 artiklan 2 kohta.  

Pykälän 3 momentti, jolla pannaan osaltaan täytäntöön direktiivin 19 artiklan 2 kohta, on uusi, ja siinä säädetään asunto-omaisuuteen liittyviä kuluttajaluottoja tarjoavan luotonantajan, tai jos kyse on oikeushenkilöstä, luotonantajan ylimmän johdon, velvollisuudesta varmistaa, että asunto-omaisuuden arvioitsijalla on arviointitehtävään tarvittava riittävä ammattitaito. Riittävällä ammattitaidolla tarkoitetaan muun muassa niiden lainsäädännön alojen tuntemista, joilla on merkitystä omaisuuden arvioinnissa, kuten rakentamiseen ja asunnon hankintaan liittyvän lainsäädännön, sekä arvioinnin edellyttämää teknistä tietoa, taitoa ja muuta valmiutta.  

Riittävä ammattitaito on esimerkiksi auktorisoidulla kiinteistöarvioijalla (AKA) ja Keskuskauppakamarin hyväksymällä kiinteistönarvioitsijalla (KHK). Riittävä ammattitaito voi perustua myös arviointiin soveltuvaan tutkintoon, kuten oikeustieteen tai kauppatieteiden kandidaatin tai maisterin, diplomi-insinöörin tai vara- tai oikeusnotaarin koulutukseen taikka kiinteistönvälittäjäkokeen suorittamiseen. Tutkinnon tai kokeen lisäksi riittävä ammattitaito voi perustua muuhun koulutukseen yhdistettynä pidempiaikaiseen käytännön kokemukseen vastaavan kaltaisista arviointitehtävistä. Mitä epätavallisempi tai muutoin vaativampi arvioitava kohde on, sitä suurempia vaatimuksia arvioijan ammattitaidolle niin koulutuksen kuin työkokemuksen osalta asetetaan. 

10 §.Oikeus asiakasvarojen vastaanottamiseen. Asiakasvarojen vastaanottamista koskeva pykälä on uusi. Sääntely ei perustu direktiiviin, vaan se on puhtaasti kansallista. 

Jos ilmoituksen tekijä on rekisteri-ilmoituksessa ilmoittanut, että sen on tarkoitus vastaanottaa asiakasvaroja, aluehallintoviraston on selvitettävä, voidaanko ilmoituksen tekijälle myöntää tähän oikeus. Oikeus vastaanottaa asiakasvaroja on 1 momentin mukaan myönnettävä, jos ilmoituksen tekijä on ensinnäkin toimittanut aluehallintovirastolle selvityksen asiakasvarojen säilyttämisestä ja käsittelystä 11 §:n 1 momentissa edellytetyllä tavalla. Edellytyksenä siis on, että ilmoituksen tekijä on toimittanut tällaisen selvityksen ja että aluehallintovirasto sen perusteella arvioi säilyttämisen ja käsittelyn olevan vaaditunlaista. Lisäksi 1 momentissa edellytetään, ettei ilmoituksen tekijää ole pidettävä ilmeisen sopimattomana vastaanottamaan asiakasvaroja.  

Pykälän 2 momentissa säädetään siitä, mitä tekijöitä aluehallintoviraston tulee ottaa huomioon arvioidessaan ilmoituksen tekijän sopimattomuutta asiakasvarojen vastaanottamiseen. Ensinnäkin huomioon tulisi ottaa ilmoituksen tekijän taloudellinen asema eli esimerkiksi tuloslaskelman ja taseen eri tiedot sekä muut taloutta kuvaavat tiedot, kuten konkurssi- ja yrityssaneerausasiat. Henkilön taloudellista asemaa arvioitaessa olennaisia tietoja ovat esimerkiksi tämän tulo- ja varallisuustiedot. Molempien osalta taloudellista asemaa kuvaavia tietoja ovat myös ulosottorekisteriin sisältyvät tiedot. Toiseksi aluehallintoviraston tulee ottaa sopimattomuutta arvioidessaan huomioon, miten ilmoituksen tekijä on hoitanut veroihin, lakisääteisiin eläke-, tapaturma- tai työkyvyttömyysmaksuihin tai tullin perimiin maksuihin liittyvät velvoitteensa. Maksuihin liittyvillä velvoitteilla tarkoitetaan rekisteröitymis-, ilmoitus- ja maksuvelvollisuutta. Käytännössä aluehallintovirasto voi hyödyntää sopimattomuuden selvittämiseen liittyvässä tiedonkeruussa Harmaan talouden selvitysyksiköstä annetun lain (1207/2010) 5 §:ssä tarkoitettua velvoitteidenhoitoselvitystä. 

Koska asiakasvarojen vastaanottamista koskevan oikeuden epäämisen edellytyksenä olisi ilmeinen sopimattomuus, on selvää, että toimintaan nähden vähäiset laiminlyönnit tai taloudelliset ongelmat eivät voisi olla asiakasvarojen vastaanottamista koskevan oikeuden esteenä tai sen poistamisen perusteena. Taloudellista asemaa arvioitaessa merkitystä tulisi antaa taloudellisten vaikeuksien ajalliselle kestolle ja sille, miten tuntuvista taloudellisista vaikeuksista on kyse. Velvoitteiden osalta merkitystä tulisi antaa velvoitteiden laiminlyöntien määrälle, maksujen osalta euromäärille sekä sille, miten tuoreista laiminlyönneistä on kyse. Ilmoituksen tekijä voitaisiin katsoa ilmeisen sopimattomaksi vastaanottamaan asiakasvaroja esimerkiksi silloin, kun ilmoituksen tekijä on todettu ulosotossa varattomaksi, ja käytettävissä olevien tietojen perusteella ei ole aihetta olettaa, että taloudellinen asema olisi heikentynyt vain tilapäisesti. Ilmoituksen tekijä voitaisiin katsoa ilmeisen sopimattomaksi vastaanottamaan asiakasvaroja myös esimerkiksi silloin, kun ilmoituksen tekijällä on taustalla useita peräkkäisiä tappiollisia tilikausia tai kun velkaantuminen on merkittävää. Merkittävänä velkaantumista on yleensä pidettävä esimerkiksi, kun yrityksen verovelan määrä suhteessa liikevaihtoon on yli 10 prosenttia eikä verovelan hoitamisesta ole tehty verottajan kanssa maksusuunnitelmaa. 

Pykälän 3 momentissa luetellaan tahot, joiden osalta sopimattomuuden arviointi eli käytännössä velvoitteidenhoitoselvitys tai sitä vastaava selvitys tulee tehdä siinä tapauksessa, että ilmoituksen tekijä on oikeushenkilö. Tällöin sopimattomuuden arviointi tulee tehdä oikeushenkilön lisäksi toimitusjohtajasta, hänen sijaisestaan, hallituksen jäsenestä ja varajäsenestä, hallintoneuvoston ja siihen rinnastettavan toimielimen jäsenestä ja varajäsenestä, vastuunalaisesta yhtiömiehestä sekä muusta ylimpään johtoon kuuluvasta samoin kuin siitä, jolla on suoraan tai välillisesti vähintään kymmenesosa osakeyhtiön osakkeista tai osakkeiden tuottamasta äänivallasta taikka vastaava omistus- tai määräämisvalta muussa yhteisössä.  

Pykälän 4 momentissa säädetään velvollisuudesta ottaa sopimattomuusarvioinnissa huomioon myös ilmoituksen tekijään ja sen vastuuhenkilöihin välittömästi tai välillisesti kytköksissä olevien yritysten ja yhteisöjen taloudellinen asema ja velvoitteidenhoito. Tältä osin selvitys tulisi tehdä ilmoituksen tekemistä edeltävältä kolmelta vuodelta. Tätä vanhempien kytkösten selvittäminen ei siis olisi tarpeen. 

Momentti sisältää viittauksen yritys- ja yhteisötietolain (244/2001) 3 §:ään, jossa luetellaan kyseisen lain mukaisesti rekisteröitävät yksiköt eli yritykset ja yhteisöt. Laissa Harmaan talouden selvitysyksiköstä näistä käytetään termiä organisaatio. Yritykseen ja yhteisöön välittömästi kytkeytyvällä yrityksellä tai yhteisöllä tarkoitetaan esimerkiksi yrityksen tai yhteisön osittain tai kokonaan omistavaa osakeyhtiötä tai avoimen yhtiön yhtiömiehenä olevaa osakeyhtiötä. Yritykseen tai yhteisöön välillisesti kytkeytyvällä yrityksellä tai yhteisöllä puolestaan tarkoitetaan esimerkiksi yritykseen tai yhteisöön sen vastuuhenkilön taikka toisen yrityksen tai yhteisön kautta kytkeytyviä yrityksiä ja yhteisöjä. Osakeyhtiöön välillisesti kytkeytyvä yritys tai yhteisö on esimerkiksi sen hallituksen jäsenen yksin omistama toinen osakeyhtiö tai emoyhtiön omistama sisaryhtiö. Luonnolliseen henkilöön välittömästi kytkeytyvällä yrityksellä tai yhteisöllä tarkoitetaan yritystä tai yhteisöä, jossa hän toimii tai on toiminut vastuuhenkilönä. Luonnolliseen henkilöön välillisesti kytkeytyvällä yrityksellä tai yhteisöllä tarkoitettaisiin henkilön välittömään yritys- tai yhteisökytkentään välittömästi tai välillisesti kytkeytyviä yrityksiä tai yhteisöjä, kuten emoyhtiötä, jonka tytäryhtiön hallitukseen henkilö kuuluu. 

11 §.Asiakasvarojen säilyttäminen ja käsitteleminen. Pykälä on uusi ja siinä säädettäisiin asiakasvarojen säilyttämisestä ja käsittelystä. Pykälä ei perustu direktiiviin, vaan se on kansallista sääntelyä. Pykälä koskee sekä vertaislainanvälittäjiä että luotonantajia. Käytännössä luotonantajat vastaanottanevat asiakasvaroja vain harjoittaessaan vertaislainanvälitystä. 

Pykälän 1 momentin mukaan luotonantajan ja vertaislainanvälittäjän tulee järjestää sen hallintaan luovutettujen asiakkaan varojen säilyttäminen ja käsittely luotettavalla tavalla. Tällaisen toimijan on huolehdittava asiakasvarojen pitämisestä erillään sen omista varoista. Asiakasvaroista tulee myös pitää kirjaa siten, että kunkin asiakkaan asiakasvarat ovat eriteltyinä muiden asiakkaiden varoista, ja ne on talletettava asiakasvaratilille. 

Jotta asiakkaan varoja voidaan katsoa säilytettävän luotettavalla tavalla, on asiakasvaratilin oltava Suomessa tai muussa ETA-valtiossa toimiluvan saaneessa talletuspankissa. Luotonantajan tai vertaislainanvälittäjän on huolehdittava siitä, että talletuspankki ei voi käyttää asiakasvaratilillä olevia varoja luotonantajalta tai vertaislainanvälittäjältä olevien saataviensa kuittaukseen. Esimerkiksi tiliotteesta tai tiliehdoista on käytävä ilmi, että kyseessä on asiakasvaratili. 

Asiakasvaratilille voi tallettaa ja sen kautta voi siirtää vain sellaisia asiakkaan maksamia varoja tai maksuja, jotka liittyvät välitystoimintaan. Mahdollisen muun liiketoiminnan varojen osalta toiminnan harjoittajan on noudatettava niitä koskevia säännöksiä ja määräyksiä. 

Luotettava käsittely edellyttää myös, että asiakasvarat on vastaanotettava suoraan asiakasvaratilille. Jos tämä ei ole yksittäistapauksessa mahdollista, on ne talletettava sille viipymättä. Asiakasvaroja ei saa edes tilapäisesti siirtää pois asiakasvaratililtä, vaan ainoastaan asiakasvaratiliä voidaan käyttää asiakkaiden varojen säilyttämiseen ja välitykseen. 

Pykälän 2 momentissa säädetään asiakkaan oikeudesta saada korvausta hänelle aiheutuneesta vahingosta muultakin kuin luotonantajalta, vertaislainanvälittäjältä tai muulta korvausvelvolliselta. Asiakas voi tietyissä tapauksissa vaatia korvausta hänelle aiheutuneesta vahingosta näiden ohella myös luotonantajana tai vertaislainanvälittäjänä toimivan yhteisön toimitusjohtajalta, hallituksen jäseneltä tai siihen rinnastettavan toimielimen jäseneltä sekä vastuunalaiselta yhtiömieheltä. Korvausta voidaan vaatia myös hallituksen varajäseneltä, jos hän on toiminut hallituksen jäsenenä varsinaisen jäsenen ollessa estyneenä.  

Edellytyksenä on, että vahinko on johtunut siitä, että luotonantaja tai vertaislainanvälittäjä on tahallaan tai huolimattomuudesta laiminlyönyt huolehtia asiakasvarojen säilyttämisen ja käsittelyn järjestämisestä pykälän 1 momentissa edellytetyllä tavalla. Vahingonkorvausvastuusta vapautuminen edellyttää, että säännöksessä mainitut tahot ovat huolehtineet siitä, että menettelytavat ja henkilöstön ohjeistukset on laadittu tältä osin asianmukaisiksi, ja että näiden noudattamista on riittävästi valvottu.  

Säännös ei rajoita asiakkaan oikeutta saada korvaus hänelle aiheutuneesta vahingosta luotonantajalta, vertaislainanvälittäjältä tai muulta korvausvelvolliselta. Vahingonkorvauslain 2 ja 6 luvussa säädetään vahingonkorvauksen sovittelusta ja korvausvastuun jakautumisesta korvausvelvollisten kesken.  

12 §.Luotonantoon ja vertaislainanvälitykseen liittyvien asiakirjojen ja tietojen säilyttäminen. Pykälä vastaa muilta osin nykyisen lain 9 a §:ää, mutta velvollisuus luotonantoon ja vertaislainanvälitykseen liittyvien asiakirjojen ja tietojen säilyttämiseen koskisi jatkossa myös vertaislainanvälittäjiä. 

13 §.Vaitiolovelvollisuus. Pykälässä säädetään vaitiolovelvollisuudesta soveltuvin osin yhdenmukaisesti muun muassa vakuutusedustuksesta annetun lain 44 §:n ja 2. lakiehdotuksen 14 §:n kanssa. Vaitiolovelvollisuus koskisi kaikkia tahoja, jotka kuluttajaluottojen myöntämistä tai vertaislainanvälitystä harjoittaessa ovat saaneet tietoonsa kuluttajan tai jonkun muun taloudellista asemaa tai henkilökohtaisia oloja, kuten terveydentilaa, koskevia seikkoja taikka liike- tai ammattisalaisuuksia. Vaitiolovelvollisuus sisältää sekä asiakirjojen salassapitovelvollisuuden että kiellon ilmaista muussa kuin kirjallisessa muodossa oleva tieto. Poikkeuksen muodostavat tilanteet, joissa se, jonka hyväksi vaitiolovelvollisuus on säädetty, antaa suostumuksen tietojen ilmaisemiseen taikka joissa laissa säädetään asiasta toisin. Vaitiolovelvollisuuden rikkominen voi tulla arvioitavaksi esimerkiksi rikoslain 38 luvun 1 §:n mukaisena salassapitorikoksena tai 2 §:n mukaisena salassapitorikkomuksena. 

14 §.Valvonta. Pykälä vastaa nykyisen lain 10 §:ää. 

15 §.Valvontaviranomaisen tiedonsaantioikeus. Pykälä vastaa muutoin nykyisen lain 10 a §:ää, mutta se koskisi jatkossa myös vertaislainanvälittäjiä.  

16 §.Oikeus saada tietoja eräistä viranomaisten rekistereistä. Pykälän 1 momentti vastaa nykyisen lain 10 b §:ää. Uuden 2 momentin mukaan aluehallintovirastolla olisi oikeus saada maksutta viranomaiselta ja julkista tehtävää hoitavalta tiedot, jotka ovat tarpeen sen arvioimiseksi, onko ilmoituksen tekijää pidettävä ilmeisen sopimattomana vastaanottamaan asiakasvaroja. Selvää on, että aluehallintovirastolla olisi vastaava oikeus myös myöhemmin sen selvittämiseksi, onko rekisteröidyn olosuhteissa tapahtunut tältä osin muutoksia. 

Tiedonsaantioikeus ei koskisi sellaisten ilmoituksen tekijöiden tietoja, joiden tarkoituksena ei ole vastaanottaa asiakasvaroja. Siinäkin tapauksessa, että ilmoituksen tekijän tarkoituksena on vastaanottaa asiakasvaroja, aluehallintovirastolla ei ole oikeutta käyttää kyseisiä tietoja muuhun kuin sen arvioimiseen, täyttyvätkö asiakasvarojen vastaanottamista koskevat edellytykset.  

Momentin toisen virkkeen mukaan tiedot voidaan luovuttaa aluehallintovirastolle myös teknisen käyttöyhteyden avulla tai muutoin sähköisesti. Säännös on tarpeen erityisesti sen varmistamiseksi, että aluehallintovirasto voi hyödyntää tehtävässään Harmaan talouden selvitysyksikön laatimia velvoitteidenhoitoselvityksiä. 

17 §.Pakkokeinot. Pykälä vastaa muilta osin nykyisen lain 11 §:ää, mutta siinä säädettäisiin myös vertaislainanvälittäjiä koskevista pakkokeinoista. Lisäksi sekä luotonantajien että vertaislainanvälittäjien osalta säädettäisiin pakkokeinoista niissä tapauksissa, joissa asiakasvaroja on vastaanotettu ilman aluehallintoviraston 10 §:n mukaisesti myöntämää oikeutta tai joissa luotonantaja tai vertaislainanvälittäjä on olosuhteiden muuttumisen johdosta tullut ilmeisen sopimattomaksi vastaanottamaan asiakasvaroja. Näissä tapauksissa aluehallintoviraston on 1 momentin mukaan kiellettävä asiakasvarojen vastaanottaminen. Samassa yhteydessä aluehallintovirasto voi antaa asiakkaiden etujen turvaamiseksi määräyksiä niistä toimenpiteistä, joihin luotonantajan tai välittäjän on ryhdyttävä toiminnan lopettamiseksi.  

Jos aluehallintoviraston asettamaa kieltoa vastaanottaa asiakasvaroja ei noudateta, luotonantajan tai vertaislainanvälittäjän toiminta voidaan 2 momentin mukaan kieltää määräajaksi. Lisäksi momentissa säädetään tapauksista, joissa luotonantaja tai vertaislainanvälittäjä on rikkonut asiakasvarojen säilyttämistä ja käsittelemistä koskevan 11 §:n 1 momentin säännöksiä. 

18 §.Rekisteristä poistaminen. Pykälän 1 momentti vastaa muutoin nykyisen lain 12 §:ää, mutta siinä säädettäisiin myös vertaislainanvälittäjän poistamisesta rekisteristä. 

Pykälän 2 momentissa säädetään aluehallintoviraston oikeudesta antaa rekisteristä poistamisen yhteydessä asiakkaiden etujen turvaamiseksi määräyksiä toimenpiteistä, joihin luotonantajan tai välittäjän on ryhdyttävä toiminnan lopettamiseksi. 

19 §.Rangaistussäännökset. Pykälän 1 momentti vastaa nykyisen lain 17 §:n 1 momenttia. 

Pykälän 2 momentissa säädettäisiin vertaislainanvälittäjärikoksesta. Ehdotuksen mukaan se, joka tahallaan ilman rekisteröintiä harjoittaa vertaislainanvälitystä, on tuomittava vertaislainanvälittäjärikoksesta sakkoon tai vankeuteen enintään kuudeksi kuukaudeksi, jollei teosta muualla laissa säädetä ankarampaa rangaistusta. 

Pykälän 1 ja 2 momentin osalta viitataan siihen, mitä 2. lakiehdotuksen 26 §:n 1 momentissa todetaan sääntelyn tarpeellisuudesta ja sijoittelusta sekä ehdotetusta rangaistusasteikosta. 

Pykälän 3 momentti vastaa asiasisällöltään nykyisen lain 13 §:n 2 momenttia. 

20 §.Muutoksenhaku aluehallintoviraston päätökseen. Ehdotetussa pykälässä on otettu huomioon lailla 903/2015 tehdyt muutokset eräiden luotonantajien rekisteröinnistä annetun lain 14 §:ään (HE 230/2014 vp). Muutokset tulivat voimaan 1 päivänä tammikuuta 2016.  

Pykälän 1 momentin mukaan aluehallintoviraston 17 ja 18 §:n nojalla tekemään päätökseen saa hakea muutosta valittamalla hallinto-oikeuteen siten kuin hallintolainkäyttölaissa (586/1996) säädetään. 

Pykälän 2 momentin mukaan muuhun aluehallintoviraston päätökseen saa vaatia oikaisua siten kuin hallintolaissa (434/2003) säädetään. Oikaisuvaatimukseen annettuun päätökseen saa hakea muutosta valittamalla hallinto-oikeuteen siten kuin hallintolainkäyttölaissa säädetään. 

Pykälän 3 momentin mukaan hallinto-oikeuden päätökseen 17 §:ssä tarkoitettuja kieltoja sekä 18 §:ssä tarkoitettua rekisteristä poistamista koskevassa asiassa saa hakea muutosta valittamalla siten kuin hallintolainkäyttölaissa säädetään. Hallinto-oikeuden muuhun päätökseen saa hakea muutosta valittamalla vain, jos korkein hallinto-oikeus myöntää valitusluvan. 

Pykälän 4 momentin mukaan päätöstä rekisteristä poistamisesta ja määräaikaisesta toimintakiellosta on noudatettava muutoksenhausta huolimatta.  

21 §.Voimaantulo. Pykälän 1 momentti sisältää tavanomaisen voimaantulosäännöksen. 

Pykälän 2 momentissa säädetään eräiden luotonantajien rekisteröinnistä annetun lain kumoamisesta.  

Pykälän 3 momentin mukaan Etelä-Suomen aluehallintovirasto voi ottaa rekisteri-ilmoituksen käsiteltäväkseen ennen lain voimaantuloa, ja ilmoituksen tekijä voidaan rekisteröidä luotonantaja- ja vertaislainanvälittäjärekisteriin lain tullessa voimaan.  

22 §.Siirtymäsäännökset. Pykälän 1 momentin mukaan tämän lain mukaiseen rekisteriin siirretään sellaista luotonantajaa koskevat tiedot, joka tämän lain voimaan tullessa on merkittynä eräiden luotonantajien rekisteröinnistä annetun lain mukaiseen luotonantajarekisteriin. Lain voimaantulohetkenä luotonantajarekisteriin merkitty luotonantaja saa siis jatkaa toimintaansa ilman, että sen tulee hakea rekisteröintiä tämän lain mukaisesti. Jos luotonantaja myöntää 1. lakiehdotuksen 7 a luvun soveltamisalaan kuuluvia asunto-omaisuuteen liittyviä kuluttajaluottoja tai harjoittaa vertaislainanvälitystä, tulee sen ilmoittaa tästä aluehallintovirastolle kuuden kuukauden kuluessa lain voimaantulosta. Vertaislainanvälitystä harjoittavan luotonantajan tulee lisäksi toimittaa aluehallintovirastolle 3 §:n 2 momentin 5 kohdassa tarkoitettu tieto ja mahdollinen selvitys samassa ajassa. 

Pykälän 2 momentin mukaan se, joka tämän lain voimaan tullessa harjoittaa sellaista vertaislainanvälitystä, joka tämän lain mukaan edellyttää rekisteröintiä, saa jatkaa toimintaansa, kunnes päätös rekisteriin merkitsemisestä on tehty. Tämän edellytyksenä on kuitenkin, että lain 3 §:n 2 momentissa tarkoitettu rekisteri-ilmoitus tehdään kuuden kuukauden kuluessa lain voimaantulosta. 

Pykälän 3 momentissa säädetään luottotoiminnan tuntemusta koskevien säännösten noudattamisesta. Sen, joka on myöntänyt asunto-omaisuuteen liittyviä kuluttajaluottoja vähintään 19 päivästä maaliskuuta 2014, on noudatettava lain 9 §:n 2 momentin säännöksiä luottotoiminnan tuntemuksesta 21 päivästä maaliskuuta 2017. 

1.4  Laki luottolaitostoiminnasta

8 luku Palkitseminen

3 §.Palkitsemisjärjestelmiä koskevat yleiset vaatimukset. Pykälä sisältää informatiivisen viittauksen 1. lakiehdotuksen 7 luvun 13 §:n 4 momenttiin ja 7 a luvun 10 §:n 2 ja 3 momenttiin, joissa säädetään palkitsemisjärjestelmistä. 

15 luku Menettelytavat asiakasliiketoiminnassa

11 §.Enimmäisluototussuhde. Pykälän 1 momenttiin tehdään tekninen tarkistus sen vuoksi, että 1. lakiehdotuksen mukaan momentissa mainittu kuluttajansuojalain 7 luvun 7 §:n 4 kohta kumotaan. Asiallisesti enimmäisluototussuhdetta koskevan säännöksen soveltamisala pysyisi ennallaan.  

12 a §.Ammatilliset vaatimukset. Pykälä on uusi. Pykälän 1 momentin mukaan kuluttajansuojalain 7 a luvun soveltamisalaan kuuluvia kuluttajaluottoja myöntävän luottolaitoksen palveluksessa olevien ja muutoin sen lukuun toimivien henkilöiden, jotka osallistuvat luottojen myöntämiseen, on täytettävä asuntoluottodirektiivin liitteessä III säädetyt tietämystä ja pätevyyttä koskevat vaatimukset siten kuin niistä tarkemmin säädetään valtioneuvoston asetuksella. Kyseiset vaatimukset koskevat myös henkilöitä, joiden välittömän johdon ja valvonnan alaisina edellä mainitut henkilöt toimivat. Pykälällä pannaan osaltaan täytäntöön direktiivin 9 artiklan 2 kohta. 

Pykälän 2 momentissa säädetään asunto-omaisuuden arvioitsijalta edellytettävästä ammattitaidosta, kun 1. lakiehdotuksen 7 a luvun soveltamisalaan kuuluvaa kuluttajaluottoa myönnettäessä arvioidaan mainitun luvun 3 §:n 1 momentin 1 kohdassa tarkoitettua asunto-omaisuutta. Ammattitaitovaatimuksen tarkempaa sisältöä selostetaan 3. lakiehdotuksen 9 §:n 3 momentin perusteluissa. Momentilla pannaan osaltaan täytäntöön direktiivin 9 artiklan 2 kohta. 

18 luku Ulkomaisia luottolaitoksia koskevat erityissäännökset

6 §.Markkinointi ja sopimusehdot sekä muut menettelytavat. Pykälän 1 momentti vastaa muilta osin voimassa olevaa lakia, mutta siinä säädettäisiin ammatillisia vaatimuksia koskevan uuden 15 luvun 12 a §:n 1 momentin soveltamisesta myös ulkomaisen luottolaitoksen sivuliikkeeseen sekä ulkomaiseen luottolaitokseen, joka palvelujen vapaan tarjonnan perusteella tarjoaa Suomessa luottolaitostoiminnasta annetun lain 5 luvun 1 §:ssä tarkoitettuja palveluja. Palvelujen vapaan tarjonnan perusteella täällä palvelujaan tarjoavaan ulkomaiseen luottolaitokseen ei kuitenkaan sovellettaisi kaikkia asuntoluottodirektiivin III liitteessä säädettyjä tietämystä ja pätevyyttä koskevia vaatimuksia. Säännös perustuu direktiivin 9 artiklan 3 kohtaan. Siinä käytettäisiin mainitun kohdan ii alakohdan toisessa virkkeessä vastaanottavalle jäsenvaltiolle varattua mahdollisuutta vahvistaa henkilöstön tietämystä ja pätevyyttä koskevat vähimmäisvaatimukset tiettyjen direktiivin liitteeseen III sisältyvien vaatimusten osalta silloin, kun välittämistä tehdään palvelujen vapaan tarjonnan perusteella toisesta valtiosta.  

20 luku Hallinnolliset seuraamukset

1 §.Seuraamusmaksu. Pykälän 2 momentin 3 kohtaan ehdotetaan lisättäväksi 1. lakiehdotuksen 7 luvun 13 §:n 4 momentin ja 7 a luvun 10 §:n 2 ja 3 momentin säännökset palkitsemisesta. Momentin 5 kohtaan ehdotetaan puolestaan lisättäväksi ammatillisia vaatimuksia koskeva käsiteltävän lain 15 luvun 12 a §. Finanssivalvonnalla olisi siis oikeus määrätä seuraamusmaksu myös näiden säännösten rikkomisesta. 

1.5  Laki Finanssivalvonnasta

1 luku Yleiset säännökset

5 §.Muut finanssimarkkinoilla toimivat. Pykälään lisättäisiin uusi 28 kohta, jonka mukaan 2. lakiehdotuksessa tarkoitettu suomalainen luotonvälittäjä ja ulkomaisen luotonvälittäjän Suomessa toimiva sivuliike ovat Finanssivalvonnasta annetussa laissa tarkoitettuja muita finanssimarkkinoilla toimivia, ja 27 kohtaan tehtäisiin tarvittava tekninen tarkistus.  

5 luku Asiakkaansuojan valvonta

45 §.Asiakkaansuojan valvontaa koskevien säännösten soveltamisala. Pykälän 1 momentti vastaa muutoin voimassa olevan 45 §:n 1 momenttia, mutta asiakkaansuojan valvontaa koskevien säännösten soveltamisalaan lisättäisiin asunto-omaisuuteen liittyvien kuluttajaluottojen välittäjät.  

Myös pykälän 2 momentti vastaa muilta osin voimassa olevan 45 §:n 2 momenttia, mutta sen mukaan 1 momentissa säädettyä sovellettaisiin myös ulkomaiseen asunto-omaisuuteen liittyvien kuluttajaluottojen välittäjään. 

Pykälällä pannaan osaltaan täytäntöön direktiivin 34 artiklan 1 kohdan ensimmäinen alakohta. 

1.6  Laki Finanssivalvonnan valvontamaksusta

1 §.Maksuvelvollinen. Pykälän 1 momenttiin lisättäisiin uusi 20 kohta, jonka mukaan Finanssivalvonnan valvontamaksun on velvollinen suorittamaan 2. lakiehdotuksen 6 §:n mukaisesti rekisteröity suomalainen luotonvälittäjä ja sellainen ulkomainen luotonvälittäjä, jolla on Suomessa sivuliike. Momentin 19 kohtaan tehtäisiin tarvittava tekninen tarkistus.  

6 §.Muun maksuvelvollisen perusmaksu. Muun kuin lain 4 §:ssä tarkoitetun maksuvelvollisen perusmaksua koskevan pykälän 1 momenttiin lisättäisiin 2. lakiehdotuksen 6 §:n mukaisesti rekisteröity suomalainen luotonvälittäjä, joka ei toimi minkään luotonantajan asiamiehenä. Tällaisen välittäjän perusmaksu olisi 1 200 euroa. Sellaisen ulkomaisen luotonvälittäjän, jolla on sivuliike Suomessa, perusmaksu olisi 400 euroa.  

1.7  Laki rahanpesun ja terrorismin rahoittamisen estämisestä ja selvittämisestä

2 §.Lain soveltamisala. Soveltamisalaa koskevan 2 §:n 24 kohtaan tehdään tekninen tarkistus sen johdosta, että pykälään lisätään uusi 25 ja 26 kohta. Viimeksi mainittujen kohtien myötä lakia sovelletaan myös 2. lakiehdotuksessa tarkoitettuun suomalaiseen luotonvälittäjään ja ulkomaisen luotonvälittäjän Suomessa toimivaan sivuliikkeeseen sekä 3. lakiehdotuksen soveltamisalaan kuuluvaan elinkeinonharjoittajaan tämän välittäessä vertaislainoja.  

1.8  Laki harmaan talouden selvitysyksiköstä

6 §.Velvoitteidenhoitoselvityksen käyttötarkoitus. Pykälän 1 momentin 16 kohtaan tehdään tekninen tarkistus sen johdosta, että momenttiin lisätään uusi 17 kohta. Ehdotetun 17 kohdan mukaan velvoitteidenhoitoselvitys laaditaan tukemaan 3. lakiehdotuksen 10 §:n mukaan aluehallintovirastolle kuuluvan tehtävän suorittamista. Aluehallintoviraston on mainitun pykälän mukaan selvitettävä, onko luotonantajaa tai vertaislainanvälittäjää pidettävä ilmeisen sopimattomana vastaanottamaan asiakasvaroja. Tämän tehtävän hoitamiseksi aluehallintovirasto voisi pyytää Harmaan talouden selvitysyksikköä laatimaan velvoitteidenhoitoselvityksen. Aluehallintoviraston tiedonsaantioikeuden ja siten velvoitteidenhoitoselvityksen laajuudesta säädetään myös mainitussa 10 §:ssä. 

Tarkemmat säännökset ja määräykset

Direktiivin sisältämät yksityiskohtaiset teknisluonteiset säännökset on tarkoitus panna täytäntöön erikseen valmisteltavilla asetuksilla.  

Direktiivin liitteessä II oleva ESIS-lomake ja siihen liittyvät ohjeet lomakkeen täyttämiseksi sekä direktiivin säännökset asuntoluoton puhelinmyynnissä annettavista tiedoista on tarkoitus panna täytäntöön luottosopimuksesta kuluttajalle annettavista tiedoista annettuun valtioneuvoston asetukseen lisättävillä säännöksillä. Samoin asetukseen on tarkoitus lisätä tarkemmat säännökset tiedoista, jotka on oltava asunto-omaisuuteen liittyvää kuluttajaluottoa koskevassa luottosopimuksessa. Tiedonantovelvollisuutta koskevat valtuussäännökset sisältyvät 1. lakiehdotuksen 7 a luvun 6 §:n 2 momenttiin, 7 §:ään ja 15 §:n 3 momenttiin. Lisäksi valtioneuvoston asetukseen on tarpeen tehdä teknisluonteisia muutoksia sen johdosta, että asetuksen nykyiset säännökset eivät enää koskisi kaikkia kuluttajaluottoja. Luonnos valtioneuvoston asetuksen muuttamisesta sisältyy esityksen liitteeseen. 

Luotonantajien ja luotonvälittäjien ammatillisista vaatimuksista asunto-omaisuuteen liittyvissä kuluttajaluotoissa säädettäisiin valtioneuvoston asetuksella. Säädettävät tietämystä ja pätevyyttä koskevat vaatimukset vastaisivat direktiivin liitteeseen III sisältyviä vähimmäisvaatimuksia. Niitä sovellettaisiin 1. lakiehdotuksen 7 a luvun soveltamisalaan kuuluvia asunto-omaisuuteen liittyviä kuluttajaluottoja myöntävien luotonantajien ja tällaisia luottoja välittävien henkilöstöön. Lisäksi vaatimukset koskisivat asunto-omaisuuteen liittyvien kuluttajaluottojen välittäjien ylintä johtoa. Tietämystä ja pätevyyttä koskeviin vaatimuksiin liittyvät asetuksenantovaltuudet sisältyvät 2. lakiehdotuksen 6 §:ään, 3. lakiehdotuksen 9 §:ään ja 4. lakiehdotuksen 15 luvun 12 a §:ään. Luonnos asiaa koskevaksi valtioneuvoston asetukseksi sisältyy esityksen liitteeseen. 

Luoton todellisen vuosikoron laskemistapaa ja laskennassa käytettäviä oletuksia koskevat direktiivin 17 artiklan ja liitteen I säännökset sisällytettäisiin tarvittavilta osin oikeusministeriön asetukseen kuluttajaluoton todellisesta vuosikorosta. Asetuksessa tulee huomioida myös se, että asunto-omaisuuteen liittyviä kuluttajaluottoja ja muita kuluttajaluottoja koskevat säännökset eivät olisi enää kaikilta osin yhdenmukaiset. Muutosten lukuisuuden johdosta nykyinen oikeusministeriön asetus kuluttajaluoton todellisesta vuosikorosta kumottaisiin ja se korvattaisiin uudella asetuksella. Valtuussäännös sisältyy 1. lakiehdotuksen 7 a luvun 3 §:n 3 momenttiin. Luonnos oikeusministeriön asetukseksi sisältyy esityksen liitteeseen. 

Finanssivalvonnan olisi 1. lakiehdotuksen 7 a luvun 5 §:n 2 momentin nojalla annettava tarkempia määräyksiä asuntoluoton mainonnassa annettavan edustavan esimerkin määräytymisen perusteista. Finanssivalvonnan määräyksillä pantaisiin täytäntöön direktiivin 11 artiklan 3 kohta.  

Voimaantulo

Jäsenvaltioiden on hyväksyttävä ja julkaistava direktiivin täytäntöön panemiseksi annetut säännökset viimeistään 21 päivänä maaliskuuta 2016 ja sovellettava niitä samasta päivästä alkaen. Tämän johdosta lakien ehdotetaan tulevan voimaan mahdollisimman pian niiden hyväksymisen ja vahvistamisen jälkeen.  

Luotonvälittäjät, jotka harjoittavat 2. lakiehdotuksen mukaan rekisteröintiä edellyttävää toimintaa lain voimaan tullessa, saisivat jatkaa toimintaansa Suomessa ilman rekisteröintiä 21 päivään maaliskuuta 2017. Vertaislainanvälittäjät, jotka harjoittavat 3. lakiehdotuksen mukaan rekisteröintiä edellyttävää toimintaa lain voimaan tullessa, saisivat jatkaa toimintaansa, kunnes päätös rekisteriin merkitsemisestä on tehty edellyttäen, että rekisteri-ilmoitus tehdään kuuden kuukauden kuluessa lain voimaantulosta. Sen, joka on myöntänyt asunto-omaisuuteen liittyviä kuluttajaluottoja vähintään 19 päivästä maaliskuuta 2014, olisi noudatettava 3. ja 4. lakiehdotukseen sisältyviä vaatimuksia luottotoiminnan tuntemuksesta 21 päivästä maaliskuuta 2017. Esityksen 1. lakiehdotukseen sisältyvät muutokset sopimusoikeudellisissa säännöksissä vaikuttaisivat vain lakien voimaantulon jälkeen tehtäviin sopimuksiin. Ehdotetut siirtymäsäännökset pohjautuvat direktiivin 43 artiklan säännöksiin lukuun ottamatta vertaislainanvälittäjiä koskevia säännöksiä. Viimeksi mainittujen osalta siirtymäsäännösten tarkoituksena on varata vertaislainanvälittäjille riittävä aika huolehtia rekisteröinnistä ilman, että toiminta tarvitsisi keskeyttää.  

Suhde perustuslakiin ja säätämisjärjestys

Esityksen 2. lakiehdotuksen mukaan kuluttajansuojalain 7 a luvun soveltamisalaan kuuluvien asunto-omaisuuteen liittyvien kuluttajaluottojen välitys sekä tällaisiin luottoihin liittyvien neuvontapalvelujen tarjoaminen säädettäisiin rekisteröintiä edellyttäväksi elinkeinoksi. Lisäksi esityksen 3. lakiehdotuksen mukaan vertaislainanvälittäminen säädettäisiin rekisteröintiä edellyttäväksi elinkeinoksi. Elinkeinotoiminnan harjoittamisen edellytyksenä oleva rekisteröinti merkitsee puuttumista perustuslain 18 §:n 1 momentissa säädettyyn elinkeinovapauteen, minkä vuoksi ehdotuksia on arvioitava tältä kannalta. 

Perustuslain 18 §:n 1 momentin mukaan jokaisella on oikeus hankkia toimeentulonsa valitsemallaan elinkeinolla. Perustuslakivaliokunta on lausuntokäytännössään käsitellyt toimiluvan ja elinkeinovapauden suhdetta muun muassa lausunnoissa PeVL 33/2005 vp, PeVL 16/2003 vp ja PeVL 67/2002 vp. Valiokunta on pitänyt elinkeinovapautta perustuslain mukaisena pääsääntönä, mutta katsonut elinkeinotoiminnan luvanvaraistamisen olevan poikkeuksellisesti mahdollista. Ehdotetun kaltainen rekisteröitymisvelvollisuus on perustuslakivaliokunnan lausuntokäytännössä rinnastettu luvanvaraisuuteen (PeVL 15/2008 vp, PeVL 45/2001 vp ja PeVL 24/2000 vp). Rekisteröinnistä on aina säädettävä lailla, jonka tulee täyttää perusoikeuden rajoittamiselta vaadittavat yleiset edellytykset. Laissa säädettävien elinkeinovapauden rajoitusten on ensinnäkin oltava täsmällisiä ja tarkkarajaisia. Lisäksi rajoittamisen laajuuden ja edellytysten tulee ilmetä laista. Sääntelyn sisällön kannalta valiokunta on pitänyt tärkeänä, että säännökset rekisteröinnin edellytyksistä ja pysyvyydestä antavat riittävän ennustettavuuden viranomaistoiminnasta. Merkitystä on myös sillä, missä määrin viranomaisen toimivaltuudet määräytyvät niin sanotun sidotun harkinnan ja missä määrin tarkoitusharkinnan mukaisesti (PeVL 15/2008 vp, PeVL 33/2005 vp ja PeVL 28/2000 vp). 

Asunto-omaisuuteen liittyvien kuluttajaluottojen välittäjien ja tällaisiin luottoihin liittyvien neuvontapalvelujen tarjoajien rekisteröintivaatimus perustuu asuntoluottodirektiiviin. Kyseisten toimijoiden sekä vertaislainanvälittäjien rekisteröintiä pidetään tarpeellisena näiden ammattipätevyyden ja luotettavuuden turvaamiseksi sekä valvontaviranomaisten valvontatyön helpottamiseksi. Lisäksi kyseisten toimijoiden rekisteröinti on omiaan ehkäisemään luottojen välitystoiminnan käyttämistä rikollisiin tarkoitusperiin, kuten rahanpesuun. Asunto-omaisuuteen liittyvien kuluttajaluottojen välityksen ja tällaisiin luottoihin liittyvien neuvontapalvelujen tarjoamisen sekä vertaislainanvälityksen edellytyksenä olevaa rekisteröintiä voidaankin pitää painavan yhteiskunnallisen tarpeen vaatimana. Ehdotetut rekisteröinnin edellytykset ovat täsmällisiä ja tarkkarajaisia. Rekisteröintiin ei liittyisi tarkoituksenmukaisuusharkintaa, vaan jokainen rekisteri-ilmoituksen tekijä on merkittävä rekisteriin, jos laissa säädetyt edellytykset täyttyvät. Rekisteröinnin epäämistä koskevaan Finanssivalvonnan tai Etelä-Suomen aluehallintoviraston päätökseen voisi myös hakea muutosta.  

Esityksen 2. lakiehdotuksen 20 §:ssä ja 3. lakiehdotuksen 18 §:ssä ehdotetaan säädettäväksi rekisteristä poistamisen edellytyksistä. Perustuslakivaliokunta on pitänyt rekisteristä poistamista yksilön oikeusasemaan puuttuvana viranomaistoimena vaikutuksiltaan jyrkempänä kuin rekisteröinnin epäämistä. Sen vuoksi valiokunta on katsonut sääntelyn oikeasuhtaisuuden kannalta välttämättömäksi sitoa rekisteristä poistaminen vakaviin ja olennaisiin rikkomuksiin ja laiminlyönteihin sekä siihen, että rekisteriin merkitylle mahdollisesti annetut huomautukset ja varoitukset eivät ole johtaneet toiminnassa esiintyneiden puutteiden korjaamiseen (PeVL 43/2013 vp, PeVL 17/2012 vp ja PeVL 16/2003 vp). Nämä vaatimukset on otettu huomioon lakiehdotuksissa. 

Sen lisäksi, että vertaislainanvälitys säädettäisiin rekisteröintiä edellyttäväksi elinkeinoksi, esityksen 1. lakiehdotuksen 7 luvun 1 §:n 3 momentin mukaan kyseiset luotot rinnastettaisiin kuluttajaluottoihin tiettyä poikkeusta lukuun ottamatta. Tämän johdosta kuluttajansuojalain 7 luvun korkokattoa koskeva 17 a § tulisi sovellettavaksi myös vertaislainanvälityksessä. Ehdotettua hintasääntelyä on arvioitava perustuslain 15 §:ssä turvatun omaisuudensuojan rajoituksena. 

Kuten yleisperustelujen 1 jaksosta ilmenee, yksityishenkilöiden velkaongelmat ovat viime vuosina lisääntyneet. Varallisuusarvoisten oikeuksien rajoitusta voidaan pitää painavan yhteiskunnallisen tarpeen vaatimana, koska sillä pyritään estämään ylivelkaantumista ja edistämään velallisen selviytymismahdollisuuksia. Rajoituksen oikeasuhtaisuuden kannalta merkityksellistä on se, että hintasääntelyllä ei estettäisi vertaislainanvälitystä, vaan asetettaisiin toiminnalle tietyt, välttämättömät reunaehdot. Vertaislainanvälitystä koskisi näin ollen samanlainen hintasääntely kuin mitä perustuslakivaliokunta on kuluttajaluottojen osalta pitänyt perustuslain kannalta mahdollisena (PeVL 28/2012 vp). Hintasääntelyllä edistettäisiin sitä, että markkinoilla olisi saatavilla pieniä, alle 2000 euron luottoja kohtuullisilla ehdoilla. 

Perustuslakivaliokunnan tulkintakäytännössä on hyväksytty hintasääntelyä esimerkiksi tilanteissa, joissa on pyritty turvaamaan tai luomaan kilpailuedellytyksiä ottaen huomioon markkinoiden tai omaisuuden erityisluonne (teleyritykset PeVL 32/2004 vp, sähköyritykset PeVL 36/2004 vp), joissa on pyritty pitämään hinnat asiakkaan kannalta kohtuullisina (lääkkeiden hinnoittelu PeVL 49/2005 vp) taikka joissa asiakkaalla on rajalliset mahdollisuudet valita vapaasti palvelun tarjoaja ja tehdä hintavertailuja (taksiliikenteen hinnat PeVL 31/2006 vp). Perustuslakivaliokunnan tulkintakäytännössä on myös hyväksytty velkojien omaisuudensuojan rajoituksia velallisten selviytymismahdollisuuksien edistämiseksi muun muassa säädettäessä velallisen korvattaviksi tulevista perintäkuluista (PeVL 27/2004 vp) ja velallisen maksukyvyttömyyteen kytkeytyvästä täytäntöönpanolainsäädännöstä (PeVL 33/2002 vp). Valiokunnan aikaisemman tulkintakäytännön perusteella ehdotettua hintasääntelyä ei voida pitää valtiosääntöoikeudellisesti ongelmallisena.  

Hintasääntelyä sovellettaisiin vain lain voimaantulon jälkeen tehtäviin sopimuksiin, eikä sillä siten puututtaisi taannehtivasti sopimussuhteiden sisältöön. Sääntely ei siten olisi tästäkään näkökulmasta valtiosääntöoikeudellisesti ongelmallista.  

Edellä esitetyistä syistä lakiehdotukset täyttävät perustuslain asettamat vaatimukset, ja lait voidaan säätää tavallisessa lainsäätämisjärjestyksessä.  

Ponsiosa 

Edellä esitetyn perusteella annetaan eduskunnan hyväksyttäviksi seuraavat lakiehdotukset: 

Lakiehdotukset

1. Laki kuluttajansuojalain muuttamisesta 

Eduskunnan päätöksen mukaisesti  
kumotaan kuluttajansuojalain (38/1978) 7 luvun 6 §:n 2 momentin 1 kohta, 22 §:n 1 momentin 1 kohta ja 29 §, sellaisina kuin ne ovat laissa 746/2010, 
muutetaan 6 a luvun 12 §:n 2 momentti sekä 7 luvun 1 §, 3 §:n 2 momentti, 5 §, 7 §:n 4 kohta, 8 §:n 2 momentti, 9 §:n 2 momentti, 11 §:n 1 momentti, 13 §:n edellä olevan väliotsikon ruotsinkielinen sanamuoto, 13 §:n 2 momentin 4 kohta, 23 §:n 1 momentti, 24 ja 51 §, sellaisina kuin ne ovat, 6 a luvun 12 §:n 2 momentti sekä 7 luvun 1 §, 3 §:n 2 momentti, 5 §, 8 §:n 2 momentti, 9 §:n 2 momentti, 11 §:n 1 momentti, 13 §:n edellä olevan väliotsikon ruotsinkielinen sanamuoto, 23 §:n 1 momentti, 24 ja 51 § laissa 746/2010 ja 13 §:n 2 momentin 4 kohta laissa 207/2013, sekä 
lisätään 6 a lukuun uusi 11 a §, 7 luvun 13 §:ään, sellaisena kuin se on laissa 207/2013, uusi 4 momentti, 7 lukuun uusi 13 a ja 16 a § sekä lakiin uusi 7 a luku seuraavasti:  
6 a luku 
Rahoituspalvelujen ja rahoitusvälineiden etämyynti 
11 a § Asuntoluotot  
Luotonantajan katsotaan täyttäneen 5—9 §:ssä säädetyt tiedonantovelvollisuudet 11 §:ssä edellytetyllä tavalla, jos luotonantaja on toimittanut kuluttajalle ennen sopimuksen tekemistä tarjottua asuntoluottoa koskevan ”Eurooppalainen standardoitu tietosivu” -lomakkeen (ESIS-lomake).  
12 §  Peruuttamisoikeus 
Ponsiosa 
Mitä 1 momentissa ja 14—16 §:ssä säädetään sopimuksen peruuttamisesta, ei sovelleta kuluttajaluottoihin eikä vakuutuksiin. Kuluttajaluottoihin ei sovelleta myöskään, mitä 13 §:n 1 momentissa säädetään. Kuluttajan oikeudesta peruuttaa kuluttajaluottosopimus ja maksaa kuluttajaluotto ennenaikaisesti säädetään 7 ja 7 a luvussa. Vakuutuksenottajan oikeudesta peruuttaa ja irtisanoa vakuutussopimus säädetään vakuutussopimuslaissa (543/1994). 
Ponsiosa 
7 luku 
Kuluttajaluotot 
Yleiset säännökset 
1 § Soveltamisala 
Tässä luvussa säädetään kuluttajaluotoista. Kuluttajaluotolla tarkoitetaan luottoa, jonka elinkeinonharjoittaja (luotonantaja) sopimuksen mukaan myöntää tai lupaa myöntää kuluttajalle lainana, maksunlykkäyksenä tai muuna vastaavana taloudellisena järjestelynä. 
Tämän luvun säännöksiä sovellettaessa kuluttajaluottoon rinnastetaan vuokra- tai muu sellainen sopimus, jonka nojalla tavara luovutetaan kuluttajan hallintaan ja jonka ehtojen mukaan tavaran käteishinta ja luottokustannukset tulevat suoritetuiksi vuokrakaudella tai jonka ehtojen mukaan kuluttaja voi muutoin tulla tavaran omistajaksi sopimuksen päättyessä. 
Tämän luvun muita kuin 16 a §:n säännöksiä sovellettaessa kuluttajaluottoon rinnastetaan myös luotto, jonka joku muu kuin luotonantaja myöntää tai lupaa myöntää kuluttajalle lainana, maksunlykkäyksenä tai muuna vastaavana taloudellisena järjestelynä, jos elinkeinonharjoittaja välittää luoton kuluttajalle. Luoton kuluttajalle välittävän elinkeinonharjoittajan on tällöin huolehdittava siitä, että mainittuja säännöksiä noudatetaan luottosuhteessa.  
Jatkuvan luoton käyttöön oikeuttavaan tunnisteeseen rinnastetaan 40 §:n säännöksiä sovellettaessa tunniste, joka oikeuttaa tilin taikka muun rahoituspalvelun tai rahoitusvälineen käyttöön. Luotonantajaa koskevia säännöksiä sovelletaan tällöin elinkeinonharjoittajaan, joka on tehnyt kuluttajan kanssa tunnistetta koskevan sopimuksen. 
Tämän luvun säännöksiä ei sovelleta: 
1) kuluttajaluottoon, josta ei peritä korkoa tai muita maksuja; 
2) sellaiseen sopimukseen perustuvaan luottoon, jonka mukaan kuluttajalla on oikeus maksaa jatkuvasti toimitettavan hyödykkeen hinta maksuerissä sopimuksen voimassaoloaikana; 
3) panttilainauslaitoksen myöntämään luottoon; 
4) sosiaalisesta luototuksesta annetun lain (1133/2002) nojalla myönnettävään luottoon; 
5) 7 a luvun soveltamisalaan kuuluvaan asuntoluottoon tai asuntovakuudelliseen kuluttajaluottoon, ellei mainitussa luvussa toisin säädetä. 
3 §  Säännösten soveltamisen rajoitukset eräissä muissa tapauksissa 
Ponsiosa 
Tämän luvun 15 ja 16 §:ää ei sovelleta hyödykesidonnaiseen kertaluottoon.  
Ponsiosa 
5 § Pakottavuus 
Sopimusehto, joka poikkeaa tämän luvun säännöksistä kuluttajan vahingoksi, on mitätön. Mitätön on myös 1 §:n 3 momentissa tarkoitetun luottosopimuksen sopimusehto, joka poikkeaa luvun säännöksistä kuluttajan vahingoksi.  
7 § Muut määritelmät 
Tässä luvussa tarkoitetaan: 
 Muuttamaton osa säädöstekstistä on jätetty pois 
4) henkilöstöllä luotonantajan tai luotonvälittäjän palveluksessa olevia tai muutoin tämän lukuun toimivia, jotka osallistuvat kuluttajaluottojen myöntämiseen tai niiden välittämiseen, ja henkilöitä, joiden välittömän johdon ja valvonnan alaisena ensiksi tarkoitetut henkilöt toimivat; 
 Muuttamaton osa säädöstekstistä on jätetty pois 
8 §  Kuluttajaluoton mainonnassa annettavat tiedot 
Ponsiosa 
Todellinen vuosikorko ja muut 1 momentissa mainitut tiedot on ilmoitettava mainonnassa selkeästi, näkyvästi ja tiiviisti, ja niiden on vastattava luotonantajan tavanomaisesti tarjoamia luottoehtoja. 
Ponsiosa 
9 §  Ennen luottosopimuksen tekemistä annettavat tiedot 
Ponsiosa 
Alle 100 euron hyödykesidonnaisissa kertaluotoissa ennakkotiedot voidaan lomakkeen sijasta antaa myös muulla pysyvällä tavalla. Ennakkotiedoista ja lomakkeesta säädetään tarkemmin valtioneuvoston asetuksella. 
11 §  Eräitä ennakkotiedonantovelvollisuutta koskevia muita säännöksiä 
Jos sopimus tehdään kuluttajan pyynnöstä puhelimitse tai muuta sellaista etäviestintä käyttäen, että "Vakiomuotoiset eurooppalaiset kuluttajaluottotiedot" -lomaketta ei voida antaa pysyvällä tavalla ennen sopimuksen tekemistä, se on annettava kuluttajalle pysyvällä tavalla viipymättä sopimuksen tekemisen jälkeen. Alle 100 euron hyödykesidonnaisissa kertaluotoissa ennakkotiedot on annettava kuluttajalle viipymättä sopimuksen tekemisen jälkeen lomakkeella tai muulla pysyvällä tavalla, jos sopimus tehdään kuluttajan pyynnöstä puhelimitse tai muuta sellaista etäviestintä käyttäen, että ennakkotietoja ei voida antaa pysyvällä tavalla ennen sopimuksen tekemistä. 
Ponsiosa 
Luotonantajan velvollisuus menetellä vastuullisesti 
13 §  Hyvä luotonantotapa 
Ponsiosa 
Erityisesti edellytetään, että luotonantaja: 
 Muuttamaton osa säädöstekstistä on jätetty pois 
4) antaa kuluttajalle ennen luottosopimuksen tekemistä riittävät ja selkeät selvitykset sen arvioimiseksi, soveltuuko luotto ja mahdollisesti tarjotut lisäpalvelut kuluttajan tarpeisiin ja hänen taloudelliseen tilanteeseensa, sekä tiedon siitä, voiko kuluttaja irtisanoa lisäpalvelua koskevan sopimuksen erikseen ja mitä seuraamuksia irtisanomisesta kuluttajalle aiheutuu; 
 Muuttamaton osa säädöstekstistä on jätetty pois 
Luotonantajien ja luotonvälittäjien henkilöstön palkitsemista koskevat järjestelmät eivät saa olla sellaisia, että ne estävät menettelemästä luotonannossa, luotonvälityksessä ja neuvontapalvelujen tarjonnassa 1 ja 2 momentissa edellytetyllä tavalla.  
13 a §  Kytkykaupan kielto 
Luottotarjouksen ehtona ei saa olla, että kuluttaja tekee sopimuksen toisesta rahoituspalvelusta tai muusta palvelusta tai rahoitusvälineestä, jonka tarjoaa luotonantaja itse tai muu elinkeinonharjoittaja luotonantajan kanssa tekemänsä sopimuksen tai muun järjestelyn perusteella.  
16 a §  Luoton myöntäminen 
Luotonantajan on määriteltävä kuluttajaluottojen myöntämisessä käyttämänsä periaatteet.  
Luotonantaja saa myöntää luoton kuluttajalle ainoastaan, jos tämän luottokelpoisuuden arviointi osoittaa, että luottosopimuksesta johtuvat velvoitteet todennäköisesti täytetään luottosopimuksessa edellytetyllä tavalla.  
23 §  Kuluttajan oikeus saada pyynnöstä lyhennystaulukko 
Jos kuluttajaluottosopimus on tehty määräajaksi ja sen ehtojen mukaan velkaa lyhennetään erissä, luotonantajan on sopimussuhteen kuluessa annettava kuluttajalle maksutta lyhennystaulukko aina, kun tämä sitä pyytää.  
Ponsiosa 
24 § Koron ja maksujen muutokset 
Luotosta kuluttajan maksettavaksi tuleva korko saa muuttua luottosopimuksen kuluessa vain sopimuksessa yksilöidyn viitekoron muutosten mukaisesti ja edellyttäen, että tästä on sovittu kuluttajaluottosopimuksessa. Sovellettavan viitekoron on oltava julkisesti saatavilla ja perustuttava luotonantajan yksipuolisesta määräysvallasta riippumattomiin tekijöihin. Luotonantajan on säilytettävä viitekoron suuruutta koskevat tiedot viiden vuoden ajan siitä, kun luotto on kokonaisuudessaan erääntynyt maksettavaksi. Jos luottosopimuksesta syntyy erimielisyys, tiedot on kuitenkin säilytettävä, kunnes asia on sovittu tai ratkaistu. 
Koron muutokset on toteutettava tasapuolisesti ja kuluttajia syrjimättömällä tavalla, ja kuluttajalle on ilmoitettava niistä pysyvällä tavalla ennen muutoksen voimaantuloa. Muutoksesta ilmoitettaessa on mainittava maksuerän suuruus koron muuttumisen jälkeen ja, jos erien lukumäärä tai maksuvälit muuttuvat, niitä koskevat ajantasaiset tiedot. 
Jos uutta viitekorkoa koskevat tiedot julkistetaan asianmukaisesti ja ne ovat saatavilla myös luotonantajan toimitiloissa, 2 momentissa tarkoitetut tiedot voidaan mainitussa momentissa säädetyn estämättä antaa kuluttajalle sopimuksessa sovituin määräajoin, kuitenkin vähintään kerran vuodessa. 
Luottosopimuksen johdosta perittäviä maksuja saadaan muuttaa vain sopimuksessa yksilöidyin perustein. Maksun korotus ei saa olla suurempi kuin luotonantajalle aiheutunut tosiasiallinen lisäys kustannuksissa, joiden johdosta maksua luottosopimuksen mukaan peritään. Maksujen muutoksista ilmoittamiseen sovelletaan, mitä 2 ja 3 momentissa säädetään koron muutoksista. 
51 § Valvontaviranomaiset 
Tämän luvun säännösten noudattamista valvovat kuluttaja-asiamies, Kilpailu- ja kuluttajavirasto ja sen alaisina piirihallintoviranomaisina aluehallintovirastot sekä Finanssivalvonta silloin, kun luotonantajana on Finanssivalvonnasta annetun lain (878/2008) 4 §:n 2—5 momentissa tarkoitettu taho. 
Valvontaviranomaisten on oltava tarkoituksenmukaisessa yhteistyössä keskenään. Viestintävirasto antaa pyynnöstä valvontaviranomaiselle tämän valvoessa 15 §:n noudattamista lausunnon siitä, täyttääkö luotonantajan käyttämä sähköinen henkilöllisyyden tunnistusmenetelmä vahvasta sähköisestä tunnistamisesta ja sähköisistä allekirjoituksista annetun lain 8 §:ssä säädetyt vaatimukset. 
Luotonantaja ja luotonvälittäjä ovat velvollisia luovuttamaan valvontaviranomaisen nähtäviksi kuluttajaluottoja koskevat valvonnan kannalta tarpeelliset asiakirjat. 
7 a luku  
Asunto-omaisuuteen liittyvät kuluttajaluotot 
Yleiset säännökset 
1 § Soveltamisala 
Tässä luvussa säädetään asunto-omaisuuteen liittyvistä kuluttajaluotoista.  
Tämän luvun säännöksiä ei sovelleta: 
1) luottoon, josta ei peritä korkoa eikä muita maksuja;  
2) käänteiseen asuntoluottoon, joka luottosopimuksen mukaan myönnetään tai luvataan myöntää vastineena varoille, jotka saadaan asunto-omaisuuden myynnistä, ja jonka takaisinmaksua luotonantajalla on oikeus vaatia vasta, kun lainanottaja täyttää luottosopimuksessa määritellyn iän tai kuolee; 
3) panttilainauslaitoksen myöntämään luottoon, jota kuluttaja käyttää enintään vuoden pituisena väliaikaisratkaisuna ollessaan siirtymässä toiseen asunto-omaisuutta koskevaan rahoitusjärjestelyyn. 
2 §  Pakottavuus 
Sopimusehto, joka poikkeaa tämän luvun säännöksistä kuluttajan vahingoksi, on mitätön. 
3 §  Määritelmät 
Tässä luvussa tarkoitetaan: 
1) asunto-omaisuudella asuinkiinteistöä, asuinhuoneiston hallintaan oikeuttavia yhteisöosuuksia sekä asuinrakennusta, joka sijaitsee kiinteistöä koskevan käyttöoikeuden nojalla hallitulla alueella;  
2) asuntoluotolla luottoa, jonka elinkeinonharjoittaja (luotonantaja) sopimuksen mukaan myöntää tai lupaa myöntää kuluttajalle lainana, maksunlykkäyksenä tai muuna vastaavana taloudellisena järjestelynä asunto-omaisuuden hankkimiseksi tai siihen kohdistuvan omistusoikeuden säilyttämiseksi;  
3) asuntovakuudellisella kuluttajaluotolla luottoa, jonka luotonantaja sopimuksen mukaan myöntää tai lupaa myöntää kuluttajalle lainana, maksunlykkäyksenä tai muun vastaavana taloudellisena järjestelynä muuhun kuin 2 kohdassa mainittuun tarkoitukseen ja jonka vakuudeksi annetaan asunto-omaisuutta; 
4) valuuttaluotolla asuntoluottoa tai asuntovakuudellista kuluttajaluottoa, joka myönnetään tai luvataan myöntää muussa valuutassa kuin sen Euroopan unionin jäsenvaltion tai Euroopan talousalueeseen kuuluvan valtion valuutassa, jossa kuluttaja asuu, taikka muussa kuin sen valtion valuutassa, jossa kuluttaja saa tulonsa tai jossa hänellä on varoja, joista luotto on tarkoitus maksaa takaisin; 
5) neuvontapalvelulla asuntoluottoon tai asuntovakuudelliseen kuluttajaluottoon liittyvän henkilökohtaisen suosituksen antamista kuluttajalle;  
6) luotonvälittäjällä muuta elinkeinonharjoittajaa kuin luotonantajaa, joka esittelee tai tarjoaa kuluttajille 2 tai 3 kohdassa tarkoitettuja luottoja tai muutoin avustaa kuluttajia tällaisia luottoja koskevien sopimusten tekemisessä tai tekee luotonantajan puolesta sopimuksia näistä luotoista kuluttajan kanssa; 
7) henkilöstöllä luotonantajan tai luotonvälittäjän palveluksessa olevia tai muutoin tämän lukuun toimivia, jotka osallistuvat asunto-omaisuuteen liittyvien kuluttajaluottojen myöntämiseen tai niiden välittämiseen, ja henkilöitä, joiden välittömän johdon ja valvonnan alaisena ensiksi tarkoitetut henkilöt toimivat; 
8) tietojen antamisella pysyvällä tavalla tietojen antamista kuluttajalle henkilökohtaisesti kirjallisesti tai sähköisesti siten, että kuluttaja voi tallentaa ja toisintaa ne muuttumattomina. 
Luottokustannuksilla tarkoitetaan tässä luvussa luotonantajan tiedossa olevien, luottosuhteen johdosta kuluttajan maksettavaksi tulevien korkojen, kulujen ja muiden maksujen yhteismäärää. Luottokustannuksina pidetään myös luottosopimukseen liittyvien vakuutusten ja muiden lisäpalveluiden kustannuksia, jos lisäpalvelua koskevan sopimuksen tekeminen on edellytyksenä luoton saamiseksi markkinoiduin ehdoin. Luottokustannuksiin ei lueta kuluttajan mahdollisen sopimusrikkomuksen johdosta maksettavaksi tulevia maksuja eikä notaarikuluja. 
Todellisella vuosikorolla tarkoitetaan tässä luvussa korkoprosenttia, joka saadaan laskemalla luottokustannukset vuosikorkona luoton määrälle lyhennykset huomioon ottaen. Todellisen vuosikoron laskemistavasta ja laskennassa käytettävistä oletuksista säädetään oikeusministeriön asetuksella. 
Tiedonantovelvollisuudet 
4 §  Yleinen tiedonantovelvollisuus 
Sen lisäksi, mitä muualla laissa säädetään tiedonantovelvollisuudesta, luotonantajan ja luotonantajan asiamiehenä toimivan luotonvälittäjän on pidettävä yleisesti saatavilla paperilla tai sähköisesti selkeät ja kattavat yleistiedot tarjoamistaan luotoista. Tiedoissa on mainittava ainakin seuraavat seikat: 
1) luotonantajan tai luotonvälittäjän nimi ja käyntiosoite; 
2) tarkoitus, johon kuluttaja voi luottoa käyttää; 
3) luotonantajan hyväksymät vakuusmuodot ja maininta siitä, jos luotonantaja hyväksyy ulkomailla sijaitsevan omaisuuden luoton vakuudeksi; 
4) luottosopimusten kesto; 
5) tarjolla olevat lainakorkotyypit ja lyhyt kuvaus niiden ominaisuuksista ja merkityksestä kuluttajalle; 
6) valuuttaluoton merkitys kuluttajalle ja maininta ulkomaan valuutoista, joiden määräisinä luottoja myönnetään; 
7) edustava esimerkki luoton määrästä tai luottorajasta, luotosta kuluttajalle aiheutuvista luottokustannuksista, kuluttajan maksettavaksi tulevan luoton ja luottokustannusten yhteismäärästä ja luoton todellisesta vuosikorosta; 
8) luottosopimuksen yhteydessä kuluttajan maksettavaksi tulevat mahdolliset lisäkustannukset, jotka eivät sisälly luottokustannuksiin; 
9) mahdolliset lisäpalvelut, jotka kuluttajan on ostettava saadakseen luoton markkinoiduin ehdoin, ja maininta siitä, että lisäpalvelut voi ostaa muulta palveluntarjoajalta kuin luotonantajalta itseltään;  
10) luoton takaisinmaksua koskevat vaihtoehdot, mukaan lukien maksuerien lukumäärä, suuruus ja maksuvälit, sekä tarvittaessa maininta siitä, että luottosopimuksen ehtojen noudattaminen ei takaa luottosopimuksen mukaisen luoton ja luottokustannusten yhteismäärän takaisinmaksua; 
11) ennenaikaiseen takaisinmaksuun liittyvät mahdolliset ehdot; 
12) onko omaisuuden arviointi tarpeen ja tapauksen mukaan maininta siitä, kuka vastaa arvioinnin suorittamisen järjestämisestä ja koituuko arvioinnista kustannuksia kuluttajalle; 
13) varoitus seurauksista, jotka aiheutuvat luottosopimukseen liittyvien velvoitteiden laiminlyönnistä. 
5 §  Asuntoluoton mainonnassa annettavat tiedot 
Asuntoluoton mainonnassa on ilmoitettava luoton todellinen vuosikorko, jos mainonnasta ilmenee luoton korko tai muu luotosta perittäviä kustannuksia kuvaava luku taikka muu luottosopimuksen ehtoja koskeva tieto. Lisäksi mainonnasta on tällöin käytävä ilmi seuraavat tiedot: 
1) luotonantajan tai mahdollisen luotonvälittäjän nimi;  
2) tarvittaessa maininta siitä, että luottosopimuksen täyttämisen vakuudeksi on annettava asuinhuoneiston hallintaan oikeuttavat yhteisöosuudet, asuinkiinteistö tai kiinteistöä koskeva käyttöoikeus; 
3) luoton korko ja muut luottokustannukset; 
4) luoton määrä tai luottoraja; 
5) luottosopimuksen kesto; 
6) maksuerien suuruus ja lukumäärä; 
7) luoton ja luottokustannusten yhteismäärä; 
8) tarvittaessa varoitus siitä, että valuuttakurssien muutokset voivat vaikuttaa kuluttajan maksettavaksi tulevien summien määrään. 
Luoton todellinen vuosikorko ja muut 1 momentissa tarkoitetut tiedot on annettava selkeästi, tiiviisti ja näkyvästi edustavan esimerkin avulla. Finanssivalvonnan on annettava tarkemmat määräykset esimerkin määräytymisen perusteista. Todellinen vuosikorko on ilmoitettava mainonnassa vähintään yhtä näkyvästi kuin muut luoton kustannuksia kuvaavat luvut.  
Jos luoton saamisen edellytyksenä mainostetuin ehdoin on, että kuluttaja tekee vakuutusta tai muuta lisäpalvelua koskevan sopimuksen, eikä tällaisesta lisäpalvelusta aiheutuvia kustannuksia voida ennakolta määrittää, mainonnassa on ilmoitettava tällaisesta edellytyksestä yhdessä luoton todellisen vuosikoron kanssa. 
6 § Ennen asuntoluottosopimuksen tekemistä annettavat tiedot 
Sen lisäksi, mitä muualla laissa säädetään tiedonantovelvollisuudesta, luotonantajan ja luotonvälittäjän on ilman aiheetonta viivytystä sen jälkeen, kun kuluttaja on antanut tietoja luottoon liittyvistä odotuksistaan ja tarpeistaan sekä taloudellisista olosuhteistaan, ja hyvissä ajoin ennen asuntoluottosopimuksen tekemistä annettava kuluttajalle pysyvällä tavalla ESIS-lomaketta käyttäen tiedot seuraavista seikoista: 
1) luotonantaja; 
2) luotonvälittäjä; 
3) tarjottava luotto, luottokustannukset ja luoton takaisinmaksu; 
4) kuluttajan muut velvoitteet; 
5) kuluttajalle lain nojalla kuuluvat oikeudet; 
6) neuvontapalvelut; 
7) sopimusrikkomuksen seuraamukset; 
8) oikeussuojakeinot ja valvontaviranomaiset. 
Ennakkotiedoista ja lomakkeesta säädetään tarkemmin valtioneuvoston asetuksella. 
7 § Asuntoluoton tarjoaminen puhelimitse 
Sen lisäksi mitä 6 a luvun 10 §:n 1 momentissa ja 2 momentin 1 ja 3—6 kohdassa säädetään etämyynnissä annettavista ennakkotiedoista, luotonantajan ja luotonvälittäjän on annettava puhelinmyynnissä tiedot tarjottavasta asuntoluotosta, korosta ja muista kustannuksista sekä luoton takaisinmaksusta. Annettavista tiedoista säädetään tarkemmin valtioneuvoston asetuksella. 
8 §  Tietojen maksuttomuus 
Kuluttajalta ei saa periä maksua tässä luvussa tarkoitettujen tietojen antamisesta.  
9 §  Asuntovakuudellisia kuluttajaluottoja koskevat tiedonantovelvoitteet 
Asuntovakuudellisen kuluttajaluoton mainontaan sovelletaan 7 luvun 8 §:n säännöksiä ja tiedonantovelvollisuuteen ennen luottosopimuksen tekemistä 7 luvun 9—12 §:n säännöksiä. Antaessaan kuluttajalle 7 luvun 9 ja 10 §:ssä tarkoitettuja tietoja luotonantajan ja luotonvälittäjän on samalla ilmoitettava, tarjoaako luotonantaja tai luotonvälittäjä neuvontapalveluja. 
Luotonantajan velvollisuus menetellä vastuullisesti luottoa myönnettäessä 
10 §  Kuluttajien luottokelpoisuuden arvioinnissa käytettävät menettelytavat ja tiedot 
Luotonantajan on määriteltävä tiedot, joiden perusteella kuluttajien luottokelpoisuus arvioidaan, sekä luottokelpoisuuden arvioinnissa käytettävät menettelytavat.  
Luotonantajan on varmistettava laatiessaan ja soveltaessaan palkitsemista koskevia linjauksia kuluttajien luottokelpoisuuden arvioinnista vastaavalle henkilöstölle, että linjaukset ehkäisevät eturistiriitojen syntymistä. Edellytyksenä on erityisesti, että henkilöstön palkkion määrä ei ole riippuvainen hyväksyttyjen luottohakemusten määrästä tai osuudesta.  
Linjausten on edistettävä asianmukaista ja tehokasta riskienhallintaa, eivätkä ne saa houkutella riskinottoon, joka ylittää luotonantajan hyväksyttävän riskitason. Linjausten on myös noudatettava luotonantajan liiketoimintastrategiaa, tavoitteita, arvoja ja pitkän aikavälin etuja. Näitä linjauksia on sovellettava sellaisella tavalla ja siinä laajuudessa, joka on oikeassa suhteessa luotonantajan kokoon, organisaatioon sekä toiminnan laatuun, laajuuteen ja monimuotoisuuteen. 
11 §  Velvollisuus arvioida kuluttajan luottokelpoisuus 
Luotonantajan on ennen luottosopimuksen tekemistä arvioitava huolellisesti kuluttajan luottokelpoisuus. Arviointi on tehtävä kuluttajan tuloja ja menoja sekä muita taloudellisia olosuhteita koskevien tarpeellisten, riittävien ja oikeasuhteisten tietojen perusteella. Tietojen paikkansapitävyys on asianmukaisesti varmistettava.  
Jos osapuolet sopivat luottosopimuksen tekemisen jälkeen luoton määrän tai luottorajan korottamisesta, luotonantajan on varmistettava kuluttajaa koskevien tietojen ajantasaisuus ja, jos luoton määrää tai luottorajaa merkittävästi korotetaan, arvioitava kuluttajan luottokelpoisuus uudelleen ennen korotuksesta sopimista. 
Luotonantajan on säilytettävä tiedot toimista, jotka on tehty kuluttajan luottokelpoisuuden arvioimiseksi, viiden vuoden ajan siitä, kun luotto on kokonaisuudessaan erääntynyt maksettavaksi. Luottosopimusta koskevan erimielisyyden synnyttyä luottokelpoisuuden arviointia koskevat tiedot on kuitenkin säilytettävä siihen saakka, kunnes asia on sovittu tai ratkaistu. 
12 § Tietojen pyytäminen kuluttajalta 
Luotonantajan on ilmoitettava kuluttajalle, mitä tietoja tämän on toimitettava luotonantajalle luottokelpoisuuden arviointia varten, sekä määräaika, jonka kuluessa tiedot on toimitettava. Kuluttajalle on mainittava siitä, että tietojen toimittamatta jättäminen voi johtaa siihen, että luottoa ei myönnetä.  
Jos kuluttaja on toimittanut 1 momentissa tarkoitetut luottokelpoisuuden arviointia varten tarvittavat tiedot luotonvälittäjälle, tämän on toimitettava tiedot asianmukaisesti luotonantajalle.  
13 §  Vakuusmuodot ja vakuudeksi hyväksyttävän omaisuuden arviointi 
Luotonantajan on määriteltävä vakuusmuodot, jotka se hyväksyy luottosopimuksen vakuudeksi.  
Luotonantajan on varmistettava, että luottosopimuksen vakuudeksi annettavan asunto-omaisuuden arvioitsija on riittävän riippumaton luoton myöntämisestä ja että arvioinnissa käytetään luotettavia, standardeihin perustuvia arviointimenettelyjä. 
Tehty arvio on säilytettävä viiden vuoden ajan siitä, kun luotto on kokonaisuudessaan erääntynyt maksettavaksi. Luottosopimusta koskevan erimielisyyden synnyttyä arvio on kuitenkin säilytettävä siihen saakka, kunnes asia on sovittu tai ratkaistu. 
Luottosopimuksen tekeminen 
14 § Luottotarjous 
Luotonantajan luottoa koskeva tarjous on tehtävä pysyvällä tavalla. Tarjouksessa on oltava kaikki luottosopimusta koskevat ehdot. 
Tarjouksen mukana on annettava ESIS-lomake, jos kuluttaja ei ole sitä aikaisemmin saanut tai jos tarjous poikkeaa sisällöltään lomakkeella aikaisemmin annetuista tiedoista.  
15 § Luottosopimus 
Luottosopimus on tehtävä kirjallisesti, ja kuluttajalle on annettava kappale sopimusta. Sopimus voidaan tehdä myös sähköisesti siten, että kuluttaja voi tallentaa ja toisintaa sopimuksen muuttumattomana. 
Luottosopimuksessa on mainittava: 
1) tiedot luottosopimuksen osapuolista; 
2) tiedot 6 §:ssä tarkoitetuista seikoista tai, jos kyse on asuntovakuudellisesta kuluttajaluotosta, 7 luvun 9 §:ssä tarkoitetuista seikoista; 
3) sopimuksen muut ehdot; 
4) tiedot valuuttaluottoihin liittyvistä riskeistä ja kuluttajan mahdollisuudesta rajoittaa niitä; 
5) tiedot peruuttamisoikeuden käyttämisen edellytyksistä; 
6) tiedot luottosopimuksen irtisanomisesta ja muusta päättämisestä; 
7) tiedot oikeussuojakeinoista ja valvontaviranomaisesta. 
Sopimuksessa mainittavista tiedoista säädetään tarkemmin valtioneuvoston asetuksella.  
Kuluttajalta ei saa luottosuhteen perusteella periä korkoa tai maksuja, josta ei ole sovittu 1 momentissa tarkoitetussa sopimuksessa. 
16 §  Luottohakemuksen hylkääminen 
Jos luottohakemus hylätään, luottoa hakeneelle kuluttajalle on ilmoitettava viipymättä hylkäämisestä. Kuluttajalle on pyynnöstä ilmoitettava hylkäysperuste kirjallisesti, jollei hylkäys perustu rahanpesun ja terrorismin rahoittamisen estämisestä ja selvittämisestä annetun lain (503/2008) 26 §:ään. 
Luottotietolaissa (527/2007) säädetään lisäksi tiedoista, jotka on annettava, jos hylkääminen perustuu luottotietorekisteristä saatuihin henkilöluottotietoihin. 
Luottosopimuksen peruuttaminen 
17 §  Peruuttamisoikeus 
Kuluttajalla on oikeus peruuttaa luottosopimus ilmoittamalla siitä luotonantajalle pysyvällä tavalla 14 päivän kuluessa sopimuksen tekemisestä tai siitä myöhäisemmästä ajankohdasta, jona kuluttaja on saanut 15 §:n mukaiset tiedot sisältävän kappaleen sopimuksesta kirjallisesti tai sähköisesti. 
Jos kuluttaja peruuttaa sopimuksen, häneltä saa vaatia korvauksena luoton koron ajalta, jonka luotto on ollut hänen käytettävissään. Jos luotonantaja on maksanut viranomaisille luottosopimuksen tekemisen johdosta maksuja, joita ei peruuttamistapauksessa palauteta, luotonantajalla on oikeus saada korvaus kuluttajalta myös tällaisista maksuista. Korkoa tai maksuja ei saa kuitenkaan vaatia, jos maksuvelvollisuudesta tai koron ja maksujen määrästä taikka, jos koron määrää ei voida ennakolta ilmoittaa, sen määräytymisen perusteista ei ole ilmoitettu kuluttajalle ennakolta. 
Kuluttajan on viivytyksettä ja viimeistään 30 päivän kuluttua peruuttamisilmoituksen lähettämisestä palautettava luotonantajalle luottosopimuksen nojalla saamansa varat sekä suoritettava 2 momentin mukainen korvaus. Jos kuluttaja ei täytä maksuvelvollisuuttaan, peruuttaminen raukeaa. Kuluttaja saa kuitenkin pidättäytyä täyttämästä oman maksuvelvollisuutensa kunnes luotonantaja täyttää oman vastaavan velvollisuutensa. 
18 §  Liitännäissopimuksen sitomattomuus 
Luottosopimukseen liittyvä luotonantajan tarjoamaa liitännäispalvelua koskeva sopimus ei sido kuluttajaa, jos tämä peruuttaa luottosopimuksen. Liitännäissopimus ei sido kuluttajaa myöskään silloin, jos kolmas tarjoaa liitännäispalvelun luotonantajan ja kolmannen välisen sopimuksen tai muun järjestelyn perusteella. 
Jos kuluttaja haluaa pitää liitännäissopimuksen voimassa luottosopimuksen peruuttamisesta huolimatta, hänen on ilmoitettava tästä luotonantajalle 30 päivän kuluessa peruuttamisilmoituksen lähettämisestä. 
Luoton maksaminen ennen eräpäivää 
19 § Kuluttajan oikeus maksaa asunto-omaisuuteen liittyvä kuluttajaluotto ennen sen erääntymistä 
Kuluttajalla on oikeus maksaa asunto-omaisuuteen liittyvä kuluttajaluotto tai sen osa ennen eräpäivää. 
Jos kuluttaja maksaa luoton tai sen osan ennenaikaisesti, on jäljellä olevasta luotonantajan saatavasta vähennettävä se osa luottokustannuksista, joka kohdistuu käyttämättä jäävään luottoaikaan. Luotonantaja saa kuitenkin periä kokonaisuudessaan luottosopimuksessa yksilöidyt, kyseisen luoton perustamiseen liittyvistä toimista aiheutuneet todelliset kulut. 
20 § Korvausoikeus asuntoluotoissa 
Luotonantajalla on oikeus saada korvaus kuluttajalta tämän maksaessa asuntoluoton tai sen osan ennenaikaisesti, jos luottoa on myönnetty yli 20 000 euroa eikä luoton korkoa ole sidottu viitekorkoon (kiinteä korko) tai viitekoron määräytymisjakso on vähintään kolme vuotta. Jos luotonantaja käyttää oikeuttaan saada korvausta, tämän on toimitettava viipymättä takaisinmaksupyynnön vastaanotettuaan kuluttajalle pysyvällä tavalla laskelma, josta käy ilmi vaaditun korvauksen määrä ja sen laskennassa käytetyt perusteet ja oletukset. 
Korvauksena luotonantaja saa periä enintään korkotason alenemisesta johtuvan tappion jäljellä olevalta kiinteäkorkoiselta luottojaksolta tai viitekoron määräytymisjaksolta. Finanssivalvonta antaa tarkempia määräyksiä tappion laskentamenetelmästä.  
21 § Korvausoikeus asuntovakuudellisissa kuluttajaluotoissa 
Luotonantaja saa periä korvauksen asuntovakuudellisen kuluttajaluoton tai sen osan ennenaikaisesta maksamisesta, jos luoton korko on kiinteä. Jos luotonantaja käyttää oikeuttaan saada korvausta, tämän on toimitettava viipymättä takaisinmaksupyynnön vastaanotettuaan kuluttajalle pysyvällä tavalla laskelma, josta käy ilmi vaaditun korvauksen määrä ja sen laskennassa käytetyt perusteet. 
Korvaus ei saa määrältään ylittää yhtä prosenttia takaisinmaksetun luoton määrästä tai, jos ennenaikaisen takaisinmaksun hetkellä luottosopimuksen päättymiseen on vähemmän aikaa kuin yksi vuosi, puolta prosenttia takaisinmaksetun luoton määrästä. Korvauksena saa kuitenkin periä enintään koron määrän ennenaikaisen takaisinmaksun ja luottosopimuksen päättymisen väliseltä ajanjaksolta. 
Luotonantajalla ei kuitenkaan ole oikeutta saada korvausta, jos: 
1) luottoa on maksettu takaisin ennenaikaisesti viimeksi kuluneen vuoden aikana enintään 10 000 euroa; 
2) takaisinmaksu suoritetaan lainaturvavakuutuksen nojalla; tai 
3) takaisinmaksettava luotto perustuu käyttelytiliin liittyvään luottosopimukseen. 
Valuuttaluotot 
22 § Valuuttakurssiriskien rajoittaminen 
Luotonantajan on hyvissä ajoin ennen valuuttaluottoa koskevan luottosopimuksen tekemistä varoitettava kuluttajaa tarjottuun luottoon liittyvistä riskeistä ja annettava kuluttajalle tieto tämän 2 momentin mukaisesta oikeudesta saada luottosopimus muunnetuksi euromääräiseksi ja tarjolla olevista vakuutuksista tai muista järjestelyistä, joilla kuluttaja voi rajoittaa valuuttakurssimuutoksista aiheutuvaa riskiä. 
Jos valuuttaluotto tarjotaan muussa valuutassa kuin eurossa, kuluttajalla on oikeus milloin tahansa saada luottosopimus muunnetuksi euromääräiseksi. Muunto on toteutettava sen päivän virallisen vaihtokurssin mukaisena, joka on kolmas pankkipäivä siitä, kun kuluttajan ilmoitus muuntamisesta on saapunut luotonantajalle.  
23 § Tiedonantovelvollisuus valuuttaluottosopimuksen kuluessa 
Jos jäljellä oleva luottomäärä tai maksuerien suuruus poikkeaa yli 20 prosentilla siitä, mikä se olisi, jos sovellettaisiin luottosopimusta tehtäessä voimassa ollutta valuutanvaihtokurssia, luotonantajan on ilmoitettava tästä valuuttaluoton ottaneelle kuluttajalle viipymättä ja tämän jälkeen säännöllisesti niin kauan kuin poikkeama on yli 20 prosenttia. Ilmoitus on annettava pysyvällä tavalla, ja siinä on ilmoitettava kuluttajan mahdollisesta oikeudesta saada luottosopimus muunnetuksi toisen valuutan määräiseksi, muuntamisen ehdoista sekä 22 §:n 1 momentissa tarkoitetuista muista järjestelyistä. 
Eräitä luotonvälittäjän velvollisuuksia  
24 § Tiedonantovelvollisuus ennen luotonvälitystä  
Luotonvälittäjän on annettava kuluttajalle hyvissä ajoin ennen asunto-omaisuuteen liittyvien kuluttajaluottojen välitystä ainakin seuraavat tiedot pysyvällä tavalla: 
1) välittäjän nimi ja käyntiosoite; 
2) rekisteri, johon välittäjä on merkitty, ja rekisterinumero tai muu vastaava tunniste kyseisessä rekisterissä sekä keinot rekisteröinnin tarkistamiseksi; 
3) toimiiko välittäjä tietyn tai tiettyjen luotonantajien asiamiehenä ja, jos välittäjä toimii asiamiehenä, niiden luotonantajien nimet, joiden puolesta välittäjä toimii;  
4) välityspalvelun sisältö, jos välittäjä ei toimi luotonantajan asiamiehenä; 
5) tarjoaako luotonvälittäjä neuvontapalveluja; 
6) kuluttajalta luotonvälityksestä perittävien maksujen yhteismäärä tai, jos täsmällistä määrää ei voida ilmoittaa, maksujen määräytymisperusteet; 
7) menettelyt, joiden mukaisesti kuluttaja tai muu taho voi tehdä valituksen välittäjän toiminnasta tai viedä asian tuomioistuimen ulkopuolisen riitojenratkaisuelimen käsiteltäväksi; 
8) luotonantajan tai kolmansien osapuolten luottosopimukseen liittyen välittäjille maksamat palkkiot tai muut kannustimet ja niiden määrät tai, jos täsmälliset määrät eivät ole tiedossa, maininta siitä, että ne ilmoitetaan myöhemmin ESIS-lomakkeella.  
Jos 1 momentin 8 kohdassa tarkoitettujen palkkioiden tai kannustimien määrä vaihtelee sen mukaan, minkä luotonantajan kanssa kuluttaja tekee luottosopimuksen, luotonvälittäjän on ilmoitettava kuluttajalle tästä ja mahdollisuudesta saada pyynnöstä lisätietoa siitä, miten välittäjälle maksettavien palkkioiden tai kannustimien määrä vaihtelee kuluttajalle tarjottujen eri luottosopimusten osalta.  
Jos luotonvälittäjä perii kuluttajalta maksun luotonvälityksestä ja saa lisäksi palkkion tai muun kannustimen luotonantajalta tai kolmannelta osapuolelta, välittäjän on ilmoitettava 1 momentissa tarkoitettuja tietoja antaessaan kuluttajalle, otetaanko palkkio tai muu kannustin huomioon maksua määritettäessä. 
25 §  Riippumaton luotonvälittäjä 
Luotonvälittäjä saa ilmoittaa toimivansa riippumattomana luotonvälittäjänä vain, jos luotonvälittäjä välittää riittävän suurta määrää markkinoilla tarjolla olevia luottosopimuksia eikä vastaanota korvausta luotonvälityksestä muulta kuin kuluttajalta. 
26 § Kuluttajalta luotonvälityksestä perittävä maksu 
Luotonvälittäjällä on oikeus saada maksu kuluttajalta luotonvälityksestä vain, jos kuluttajalle on 24 §:n 1 momentin 6 kohdassa edellytetyllä tavalla ilmoitettu maksusta ja siitä on sovittu kuluttajan kanssa pysyvällä tavalla.  
Luotonvälittäjän on ilmoitettava luotonantajalle kuluttajalta perittävän maksun määrä luoton todellisen vuosikoron laskentaa varten. 
27 § Kuluttajan olosuhteiden huomioiminen  
Luotonvälityksen ja mahdollisten lisäpalvelujen tarjoamisen on perustuttava kuluttajan taloudellista tilannetta koskeviin tietoihin, kuluttajan ilmoittamiin luottoa koskeviin tarpeisiin ja odotuksiin sekä asianmukaisiin oletuksiin kuluttajan riskeistä luottosopimuksen voimassaoloaikana.  
Neuvontapalvelut 
28 §  Kuluttajalle annettavat ennakkotiedot 
Neuvontapalvelun tarjoajan on hyvissä ajoin ennen neuvontapalvelun aloittamista tai ennen neuvontapalvelua koskevan sopimuksen tekemistä annettava kuluttajalle tieto luotonantajista, joiden tarjoamien luottojen arviointiin annettava suositus perustuu, sekä kuluttajalta neuvontapalvelusta perittävien maksujen yhteismäärä tai, jos täsmällistä määrää ei voida ilmoittaa, maksujen määräytymisperusteet. Tiedot on annettava kuluttajalle pysyvällä tavalla. 
29 § Oikeus saada maksu neuvontapalvelusta 
Neuvontapalvelun tarjoajalla on oikeus saada maksu neuvontapalvelustaan ja suosittelemansa luottosopimuksen johdosta kuluttajalta vain, jos kuluttajalle on 28 §:ssä edellytetyllä tavalla ilmoitettu maksusta ja siitä on sovittu kuluttajan kanssa pysyvällä tavalla.  
Neuvontapalvelun tarjoaja ei saa vastaanottaa korvausta neuvontapalvelustaan eikä suosittelemansa luottosopimuksen johdosta muulta kuin kuluttajalta.  
30 § Neuvontapalvelun suorittaminen 
Neuvontapalvelun on perustuttava kuluttajan taloudellista tilannetta koskeviin tietoihin, kuluttajan ilmoittamiin luottoa koskeviin tarpeisiin ja odotuksiin sekä asianmukaisiin oletuksiin kuluttajan riskeistä luottosopimuksen voimassaoloaikana.  
Neuvontapalvelun tarjoajan on arvioitava riittävän suuri määrä markkinoilla tarjolla olevia luottosopimuksia ja tekemänsä arvioinnin perusteella suositeltava kuluttajan tarpeisiin ja odotuksiin sekä tämän taloudelliseen tilanteeseen sopivaa tai sopivia luottosopimuksia. Kuluttajalle on annettava kappale tehdystä suosituksesta pysyvällä tavalla.  
Neuvontapalvelun tarjoajan on säilytettävä tehty suositus viiden vuoden ajan sen antamisesta. Neuvontapalvelua koskevan erimielisyyden synnyttyä suositus on kuitenkin säilytettävä siihen saakka, kunnes asia on sovittu tai ratkaistu.  
Asunto-omaisuuteen liittyviä kuluttajaluottoja koskevat muut säännökset 
31 § Kuluttajaluottoja koskevien säännösten soveltaminen 
Asunto-omaisuuteen liittyviin kuluttajaluottoihin sovelletaan lisäksi 7 luvun 1 §:n 3 ja 4 momenttia ja 13, 13 a, 15, 16, 16 a, 17 a, 18, 19 ja 23 §:ää, 24 §:n 1, 2 ja 4 momenttia, 25, 26 ja 30—35 §:ää. Lisäksi asuntovakuudellisiin kuluttajaluottoihin sovelletaan mainitun luvun 39 ja 40 §:ää. 
Asuntoluottosopimuksessa voidaan 7 luvun 24 §:n 1 ja 2 momentin estämättä kuitenkin sopia, että luotosta kuluttajan maksettavaksi tuleva korko ei muutu, jos viitekoron arvo on pienempi kuin nolla.  
Valvonta 
32 §  Seuraamukset 
Luotonantajaa ja luotonvälittäjää, joka rikkoo tämän luvun säännöksiä, voidaan, jos se on kuluttajansuojan kannalta tarpeellista, kieltää jatkamasta tällaista menettelyä taikka uudistamasta sitä tai siihen rinnastettavaa menettelyä. Kiellon määräämisestä ja sen tehostamisesta uhkasakolla säädetään 2 ja 3 luvussa. Jos säännöksiä rikkoo asunto-omaisuuteen liittyvien kuluttajaluottojen välittäjistä annetussa laissa ( / ) tarkoitettu ulkomainen luotonvälittäjä, kieltoa määrättäessä on noudatettava kuluttajille tarkoitetuista kiinteää asunto-omaisuutta koskevista luottosopimuksista ja direktiivien 2008/48/EY ja 2013/36/EU sekä asetuksen (EU) N:o 1093/2010 muuttamisesta annetun Euroopan parlamentin ja neuvoston direktiivin 2014/17/EU (asuntoluottodirektiivi) 34 artiklan 2 ja 4 kohdan säännöksiä.  
Finanssivalvonnan oikeudesta määrätä seuraamuksia säädetään Finanssivalvonnasta annetussa laissa ja asunto-omaisuuteen liittyvien kuluttajaluottojen välittäjistä annetussa laissa.  
33 §  Valvontaviranomaiset 
Tämän luvun säännösten noudattamista valvovat kuluttaja-asiamies, Kilpailu- ja kuluttajavirasto ja sen alaisina viranomaisina aluehallintovirastot sekä myös Finanssivalvonta silloin, kun luotonantaja tai luotonvälittäjä on Finanssivalvonnasta annetun lain 4 §:n 2—5 momentissa tarkoitettu taho tai 5 §:n 28 kohdassa tarkoitettu muu finanssimarkkinoilla toimiva. 
Valvontaviranomaisten on oltava tarkoituksenmukaisessa yhteistyössä keskenään. Viestintävirasto antaa pyynnöstä valvontaviranomaiselle 7 luvun 15 §:n noudattamista tämän luvun 31 §:n nojalla valvottaessa lausunnon siitä, täyttääkö luotonantajan käyttämä sähköinen henkilöllisyyden tunnistamismenetelmä vahvasta sähköisestä tunnistamisesta ja sähköisistä allekirjoituksista annetun lain 8 §:ssä säädetyt vaatimukset. 
Valvontaviranomaisten on toimittava tarkoituksenmukaisessa yhteistyössä ulkomaisten ETA-valvontaviranomaisten kanssa asunto-omaisuuteen liittyviä kuluttajaluottoja koskevissa asioissa siten kuin asuntoluottodirektiivin 36 ja 37 artiklassa säädetään. Direktiivin 36 artiklassa tarkoitettuna yhteysviranomaisena toimii Finanssivalvonta. 
Luotonantaja ja luotonvälittäjä ovat velvollisia luovuttamaan valvontaviranomaisten nähtäviksi asunto-omaisuuteen liittyviä kuluttajaluottoja koskevat valvonnan kannalta tarpeelliset asiakirjat.  
 Voimaantulopykälä tai –säännös alkaa 
Tämä laki tulee voimaan päivänä kuuta 20 . 
Ennen tämän lain voimaantuloa tehtyihin sopimuksiin sovelletaan tämän lain voimaan tullessa voimassa olleita säännöksiä. 
 Lakiehdotus päättyy 

2. Laki asunto-omaisuuteen liittyvien kuluttajaluottojen välittäjistä 

Eduskunnan päätöksen mukaisesti säädetään: 
1 § Soveltamisala 
Tämä laki koskee kuluttajansuojalain (38/1978) 7 a luvun soveltamisalaan kuuluvien asunto-omaisuuteen liittyvien kuluttajaluottojen välitystä sekä tällaisiin luottoihin liittyvien neuvontapalvelujen tarjoamista.  
2 § Määritelmät 
Tässä laissa tarkoitetaan: 
1) asunto-omaisuuteen liittyvien kuluttajaluottojen välityksellä muun kuin luotonantajan itsensä korvausta vastaan tekemää asunto-omaisuuteen liittyvien luottosopimusten esittelemistä tai tarjoamista kuluttajille, kuluttajien avustamista muutoin tällaisten luottosopimusten tekemisessä sekä tällaisten luottosopimusten tekemistä kuluttajien kanssa luotonantajan puolesta;  
2) neuvontapalvelulla 1 kohdassa tarkoitettuun luottopimukseen liittyvän henkilökohtaisen suosituksen antamista kuluttajalle; 
3) henkilöstöllä luotonvälittäjän palveluksessa olevia tai muutoin tämän lukuun toimivia, jotka osallistuvat asunto-omaisuuteen liittyvien kuluttajaluottojen välitykseen, ja henkilöitä, joiden välittömän johdon ja valvonnan alaisena ensiksi tarkoitetut henkilöt toimivat; 
4) asuntoluottodirektiivillä Euroopan parlamentin ja neuvoston direktiiviä 2014/17/EU kuluttajille tarkoitetuista kiinteää asunto-omaisuutta koskevista luottosopimuksista ja direktiivien 2008/48/EY ja 2013/36/EU sekä asetuksen (EU) N:o 1093/2010 muuttamisesta; 
5) suomalaisella luotonvälittäjällä elinkeinonharjoittajaa, joka on rekisteröity tämän lain mukaisesti asunto-omaisuuteen liittyvien luottojen välittäjäksi; 
6) ulkomaisella luotonvälittäjällä luonnollista henkilöä tai oikeushenkilöä, jonka kotivaltio on muussa Euroopan talousalueeseen kuuluvassa valtiossa (ETA-valtio) kuin Suomessa ja jolle sen kotivaltion toimivaltainen viranomainen on asuntoluottodirektiivin 29 artiklan mukaisesti myöntänyt oikeuden välittää asunto-omaisuuteen liittyviä kuluttajaluottoja; 
7) luotonvälittäjällä suomalaista ja ulkomaista luotonvälittäjää; 
8) luotonantajan asiamiehellä luotonvälittäjää, joka harjoittaa asunto-omaisuuteen liittyvien kuluttajaluottojen välitystä luotonantajan lukuun ja vastuulla. 
Kotivaltiolla tarkoitetaan ETA-valtiota, jossa luotonvälittäjän päätoimipaikka sijaitsee, jos luotonvälittäjä on luonnollinen henkilö. Jos luotonvälittäjä on oikeushenkilö, kotivaltiolla tarkoitetaan ETA-valtiota, jossa luotonvälittäjän sääntömääräinen kotipaikka sijaitsee tai, jos luotonvälittäjällä ei siihen sovellettavan lain mukaan ole sääntömääräistä kotipaikkaa, ETA-valtiota, jossa luotonvälittäjän päätoimipaikka sijaitsee. 
3 § Oikeus välittää asunto-omaisuuteen liittyviä kuluttajaluottoja 
Elinkeinonharjoittaja saa välittää asunto-omaisuuteen liittyviä kuluttajaluottoja vain, jos se on rekisteröity tämän lain mukaisesti asunto-omaisuuteen liittyvien luottojen välittäjäksi.  
Rekisteröitymisvelvollisuutta koskevia 5—9 §:n säännöksiä ei sovelleta: 
1) luottolaitostoiminnasta annetussa laissa (610/2014) tarkoitettuun luottolaitokseen ja ulkomaiseen ETA-luottolaitokseen; 
2) ulkomaiseen luotonvälittäjään; 
3) elinkeinonharjoittajaan, joka välittää asunto-omaisuuteen liittyviä kuluttajaluottoja satunnaisesti muun toimilupaa, rekisteröintiä tai ennakollista hyväksyntää edellyttävän ammattitoiminnan yhteydessä. 
Tämän lain 6 §:n 1 momentin 4 kohdan mukaiset vaatimukset tietämyksestä ja pätevyydestä koskevat kuitenkin myös ulkomaisen luotonvälittäjän Suomessa sijaitsevan sivuliikkeen henkilöstöä sekä tämän pykälän 2 momentin 3 kohdassa tarkoitetun elinkeinonharjoittajan henkilöstöä. Siltä osin kuin kyseisillä tietämystä ja pätevyyttä koskevilla vaatimuksilla pannaan täytäntöön asuntoluottodirektiivin III liitteen 1 kohdan b, c, e ja f alakohdassa tarkoitetut vaatimukset, ne koskevat myös ulkomaisen luotonvälittäjän sellaista henkilöstöä, joka palvelujen vapaan tarjonnan nojalla harjoittaa Suomessa asunto-omaisuuteen liittyvien kuluttajaluottojen välitystä.  
4 §  Oikeus tarjota neuvontapalveluja 
Asunto-omaisuuteen liittyviä kuluttajaluottoja koskevia neuvontapalveluja saa tarjota vain luotonvälittäjä. Oikeutta neuvontapalvelujen tarjoamiseen ei ole kuitenkaan jonkin luotonantajan asiamiehenä toimivalla tai luotonantajan kanssa kirjanpitolain (1336/1997) 6 §:ssä tarkoitetulla tavalla samaan konserniin kuuluvalla eikä luotonvälittäjällä, joka on kirjanpitolain 7 tai 8 §:ssä tarkoitetussa omistusyhteysyritys- tai osakkuusyrityssuhteessa luotonantajaan. Vastaavin rajoituksin myös 3 §:n 2 momentin 3 kohdassa tarkoitetulla elinkeinonharjoittajalla on oikeus neuvontapalvelujen tarjoamiseen.  
5 § Välittäjärekisteri ja rekisteri-ilmoitus 
Finanssivalvonta pitää rekisteriä suomalaisista luotonvälittäjistä. 
Sen, joka aikoo välittää asunto-omaisuuteen liittyviä kuluttajaluottoja, on tehtävä ilmoitus Finanssivalvonnalle rekisteriin merkitsemistä varten. Rekisteri-ilmoitukseen on sisällytettävä: 
1) 9 §:n 1 momentin 1, 2, 7 ja 8 kohdassa tarkoitetut tiedot; 
2) tarvittaessa selvitys 6 §:n 1 momentin 1 kohdassa mainituista seikoista; 
3) selvitys 7 §:n 2 momentissa tarkoitetuista henkilöistä, joiden luotettavuus tulee arvioitavaksi, jos ilmoituksen tekijä on oikeushenkilö; 
4) selvitys ilmoituksen tekijän ja sen henkilöstön koulutuksesta ja työkokemuksesta ja, jos ilmoituksen tekijä on oikeushenkilö, sama selvitys 6 §:n 2 momentissa tarkoitetuista ylimpään johtoon kuuluvista;  
5) selvitys siitä, että ilmoituksen tekijällä on 8 §:ssä tarkoitettu vastuuvakuutus tai muu vakuus. 
Ilmoituksen tekijän on Finanssivalvonnan pyynnöstä toimitettava muutkin tiedot, jotka ovat tarpeen rekisteröinnin edellytysten täyttymisen arvioimiseksi. 
6 § Rekisteröinnin edellytykset 
Finanssivalvonnan on rekisteröitävä ilmoituksen tekijä asunto-omaisuuteen liittyvien kuluttajaluottojen välittäjäksi, jos: 
1) ilmoituksen tekijän kotivaltio on Suomi ja, jos ilmoituksen tekijä on luonnollinen henkilö tai oikeushenkilö, jolla ei siihen sovellettavan lain mukaan ole sääntömääräistä kotipaikkaa, se tosiasiassa pääasiallisesti toimii Suomessa, ja jos ilmoituksen tekijä on oikeushenkilö, jonka sääntömääräinen kotipaikka on Suomessa, myös sen päätoimipaikka on Suomessa; 
2) ilmoituksen tekijä ei ole konkurssissa ja, jos hän on luonnollinen henkilö, on täysi-ikäinen eikä hänen toimintakelpoisuuttaan ole rajoitettu; 
3) ilmoituksen tekijä on luotettava; 
4) ilmoituksen tekijällä ja sen henkilöstöllä sekä, jos ilmoituksen tekijä on oikeushenkilö, sen ylimpään johtoon kuuluvilla on luottotoimintaa koskeva riittävä tietämys ja pätevyys ottaen huomioon asuntoluottodirektiivin III liitteessä säädetyt vaatimukset; 
5) ilmoituksen tekijällä on 8 §:ssä tarkoitettu vastuuvakuutus tai muu vakuus. 
Edellä 1 momentin 4 kohdassa tarkoitettuun ylimpään johtoon katsotaan kuuluvan toimitusjohtaja ja hänen sijaisensa, hallituksen jäsenet ja varajäsenet, hallitukseen rinnastettavan toimielimen jäsenet ja varajäsenet sekä vastuunalaiset yhtiömiehet. Ilmoituksen tekijältä, ylimmältä johdolta ja henkilöstöltä edellytettävästä luottotoiminnan asiantuntemuksesta säädetään tarkemmin valtioneuvoston asetuksella.  
Finanssivalvonta voi evätä rekisteröinnin, jos olosuhteet huomioon ottaen on ilmeistä, että ilmoituksen tekijä aikoo harjoittaa asunto-omaisuuteen liittyvien kuluttajaluottojen välitystä toisen välikätenä. 
7 § Luotettavuus 
Ilmoituksen tekijää ei pidetä 6 §:n 1 momentin 3 kohdassa edellytetyllä tavalla luotettavana, jos hänet on lainvoiman saaneella tuomiolla viiden arviota edeltäneen vuoden aikana tuomittu vankeusrangaistukseen tai kolmen arviota edeltäneen vuoden aikana sakkorangaistukseen rikoksesta, jonka voidaan katsoa osoittavan hänen olevan ilmeisen sopimaton välittämään asunto-omaisuuteen liittyviä kuluttajaluottoja, omistamaan tällaista toimintaa harjoittavaa yhteisöä tai toimimaan sen hallituksen jäsenenä tai varajäsenenä, toimitusjohtajana tai toimitusjohtajan sijaisena taikka muussa ylimmässä johdossa, taikka jos hän on muutoin aikaisemmalla toiminnallaan osoittanut olevansa ilmeisen sopimaton toimimaan mainitunlaisessa tehtävässä. 
Jos ilmoituksen tekijä on oikeushenkilö, vaatimus luotettavuudesta koskee toimitusjohtajaa ja hänen sijaistaan, hallituksen jäsentä ja varajäsentä, hallintoneuvoston ja siihen rinnastettavan toimielimen jäsentä ja varajäsentä, vastuunalaista yhtiömiestä, muuta ylimpään johtoon kuuluvaa ja sitä, jolla on suoraan tai välillisesti vähintään kymmenesosa osakeyhtiön osakkeista tai osakkeiden tuottamasta äänivallasta taikka vastaava omistus- tai määräämisvalta, jos kyseessä on muu yhteisö kuin osakeyhtiö. 
8 § Vastuuvakuutus tai muu vakuus 
Ilmoituksen tekijällä on oltava voimassa oleva vastuuvakuutus, pankkitakaus tai Finanssivalvonnan hyväksymä muu vastaava vakuus asunto-omaisuuteen liittyvien kuluttajaluottojen välityksestä ja tällaisiin kuluttajaluottoihin liittyvistä neuvontapalveluista aiheutuvien vahinkojen korvaamiseksi. Vakuutuksen tai muun vakuuden on oltava määrältään vähintään sen suuruinen kuin asuntoluottodirektiivin 29 artiklan 2 kohdan a alakohdan nojalla annetuissa sääntelystandardeissa edellytetään, ja sen on oltava voimassa niiden Euroopan talousalueeseen kuuluvien valtioiden alueilla, joissa ilmoituksen tekijä tarjoaa asunto-omaisuuteen liittyvien kuluttajaluottojen välitystä tai tällaisiin luottoihin liittyviä neuvontapalveluja. Vakuutuksenantajalla tai muun vakuuden antajalla on oltava kotipaikka ETA-valtiossa, jollei Finanssivalvonta hakemuksesta myönnä tästä poikkeusta.  
Vakuutuksen on täytettävä lisäksi seuraavat ehdot: 
1) jos vakuutukseen sisältyy omavastuu, vakuutuksenantaja suorittaa vakuutuskorvauksen vahingon kärsineelle omavastuuta vähentämättä; 
2) vakuutuksesta korvataan vahinko, joka on syntynyt vakuutuskauden aikana tapahtuneen teon tai laiminlyönnin seurauksena ja jonka korvaamisesta on esitetty kirjallinen vaatimus ilmoituksen tekijälle tai vakuutuksenantajalle vakuutuksen voimassaoloaikana tai kolmen vuoden kuluessa vakuutuksen päättymisestä.  
9 § Rekisteriin merkittävät tiedot ja muutoksista ilmoittaminen 
Rekisteriin merkitään: 
1) yksityisen elinkeinonharjoittajan täydellinen nimi ja henkilötunnus tai tämän puuttuessa syntymäaika sekä toiminimi, mahdollinen aputoiminimi, yritys- ja yhteisötunnus tai muu vastaava tunniste, päätoimipaikka ja niiden toimipaikkojen käyntiosoite, joissa asunto-omaisuuteen liittyviä kuluttajaluottoja välitetään tai tällaisiin luottoihin liittyviä neuvontapalveluja tarjotaan; 
2) oikeushenkilön toiminimi, mahdollinen aputoiminimi, yritys- ja yhteisötunnus tai muu vastaava tunniste, päätoimipaikka ja niiden toimipaikkojen käyntiosoite, joissa asunto-omaisuuteen liittyviä kuluttajaluottoja välitetään tai tällaisiin luottoihin liittyviä neuvontapalveluja tarjotaan; 
3) niiden henkilöiden täydellinen nimi ja henkilötunnus tai tämän puuttuessa syntymäaika, joiden luotettavuus on rekisteröinti-ilmoitusta käsiteltäessä selvitetty; 
4) niiden ylimpään johtoon kuuluvien henkilöiden täydellinen nimi ja henkilötunnus tai tämän puuttuessa syntymäaika, joiden luottotoimintaa koskeva asiantuntemus on rekisteröinti-ilmoitusta käsiteltäessä selvitetty; 
5) 8 §:ssä tarkoitetun vastuuvakuutuksen antaja ja vakuutusmäärä tai muun vakuuden laatu, antaja ja määrä; 
6) rekisteröinnin päivämäärä; 
7) tieto siitä, että ilmoituksen tekijä toimii tietyn tai tiettyjen luotonantajien asiamiehenä ja tieto näistä luotonantajista; 
8) tieto siitä, että ilmoituksen tekijä tarjoaa asunto-omaisuuteen liittyviä kuluttajaluottoja koskevia neuvontapalveluja; 
9) ne ETA-valtiot, joissa ilmoituksen tekijä välittää asunto-omaisuuteen liittyviä kuluttajaluottoja tai tarjoaa tällaisiin luottoihin liittyviä neuvontapalveluja; 
10) ilmoituksen tekijälle määrätyt julkiset varoitukset sekä sellaiset kiellot, joiden tehosteeksi on asetettu uhkasakko; 
11) rekisteristä poistamisen syy ja ajankohta. 
Rekisteriin merkitään myös tiedot niistä, joille on määrätty 19 §:n 1 momentissa tarkoitettu kielto välittää asunto-omaisuuteen liittyviä kuluttajaluottoja ilman rekisteröintiä tai tarjota tällaisiin luottoihin liittyviä neuvontapalveluja 4 §:n vastaisesti. Tällainen tieto sekä tieto 1 momentin 10 kohdassa mainituista seuraamuksista on poistettava rekisteristä viiden vuoden kuluttua sen vuoden päättymisestä, jona kielto tai muu seuraamus on määrätty. 
Suomalaisen luotonvälittäjän on viipymättä ilmoitettava Finanssivalvonnalle rekisteriin merkittyjen tietojen muutoksista. Lisäksi välittäjän on ilmoitettava Finanssivalvonnalle siitä, että se ei ole välittänyt asunto-omaisuuteen liittyviä kuluttajaluottoja tai tarjonnut tällaisiin luottoihin liittyviä neuvontapalveluja edeltävän kuuden kuukauden aikana tai että se on lopettanut toimintansa. 
10 § Tietojen saatavilla pitäminen 
Sen estämättä, mitä viranomaisten toiminnan julkisuudesta annetun lain (621/1999) 16 §:n 3 momentissa säädetään, rekisteristä saa luovuttaa henkilötietoja tulosteena taikka saattaa ne yleisesti saataville sähköisen tietoverkon kautta tai luovuttaa ne muutoin sähköisessä muodossa. Tieto henkilötunnuksesta saadaan kuitenkin luovuttaa tämän lain nojalla vain, jos tieto annetaan tulosteena tai teknisenä tallenteena ja jos luovutuksensaajalla on oikeus henkilötunnuksen käsittelyyn henkilötietolain (523/1999) 13 §:n tai muun lain nojalla. 
Seuraavat rekisteriin merkityt tiedot Finanssivalvonnan on kuitenkin pidettävä yleisesti saatavilla sähköisen tietoverkon avulla: 
1) yksityisen elinkeinonharjoittajan nimi sekä toiminimi, mahdollinen aputoiminimi, yritys- ja yhteisötunnus tai muu vastaava tunniste, päätoimipaikka ja niiden toimipaikkojen käyntiosoite, joissa asunto-omaisuuteen liittyviä kuluttajaluottoja välitetään tai tällaisiin luottoihin liittyviä neuvontapalveluja tarjotaan; 
2) oikeushenkilön toiminimi, mahdollinen aputoiminimi, yritys- ja yhteisötunnus tai muu vastaava tunniste, päätoimipaikka ja niiden toimipaikkojen käyntiosoite, joissa asunto-omaisuuteen liittyviä kuluttajaluottoja välitetään tai tällaisiin luottoihin liittyviä neuvontapalveluja tarjotaan; 
3) toimitusjohtajan ja hänen sijaisensa nimi, hallituksen jäsenten ja varajäsenten nimet, hallitukseen rinnastettavan toimielimen jäsenten ja varajäsenten nimet sekä vastuunalaiset yhtiömiehet; 
4) rekisteröinnin päivämäärä; 
5) tieto siitä, että ilmoituksen tekijä toimii tietyn tai tiettyjen luotonantajien asiamiehenä ja tieto näistä luotonantajista; 
6) ne ETA-valtiot, joissa ilmoituksen tekijä välittää asunto-omaisuuteen liittyviä kuluttajaluottoja tai tarjoaa tällaisiin luottoihin liittyviä neuvontapalveluja; 
7) ilmoituksen tekijälle määrätyt julkiset varoitukset sekä sellaiset kiellot, joiden tehosteeksi on asetettu uhkasakko. 
11 § Johdon velvoitteet 
Luotonvälittäjän tai, jos välittäjä on oikeushenkilö, sen 6 §:n 2 momentissa tarkoitetun ylimmän johdon on huolehdittava siitä, että toiminnassa noudatetaan hyvää luotonantotapaa ja että toimintaa muutoinkin harjoitetaan lainmukaisesti.  
12 § Asiakasvarat 
Luotonvälittäjä ei saa vastaanottaa, pitää hallussa eikä välittää asiakkaalle kuuluvia varoja (asiakasvarat). 
13 § Luotonvälitykseen tai neuvontapalveluihin liittyvien asiakirjojen ja tietojen säilyttäminen 
Ellei muualla laissa säädetä pidemmästä säilytysajasta, luotonvälittäjän on säilytettävä luotonvälitykseen ja neuvontapalveluihin liittyvät asiakirjat ja tiedot viiden vuoden ajan siitä, kun asiakassuhde on päättynyt. Palvelua koskevan erimielisyyden synnyttyä asiakirjat ja tiedot on kuitenkin säilytettävä siihen saakka, kunnes asia on sovittu tai ratkaistu. 
14 § Vaitiolovelvollisuus 
Joka asunto-omaisuuteen liittyviä kuluttajaluottoja välittäessään tai tällaisiin luottoihin liittyviä neuvontapalveluja tarjotessaan on saanut tietää asiakkaansa tai jonkun muun taloudellista asemaa tai henkilökohtaisia oloja koskevan seikan taikka liike- tai ammattisalaisuuden, ei saa ilmaista tätä sivulliselle, jollei se, jonka hyväksi vaitiolovelvollisuus on säädetty, anna suostumustaan tietojen ilmaisemiseen tai jollei laissa muuta säädetä. 
15 § Sivuliikkeen perustaminen ja palvelujen tarjoaminen ulkomailla 
Suomalainen luotonvälittäjä, joka aikoo aloittaa asunto-omaisuuteen liittyvien kuluttajaluottojen välityksen tai tällaisiin luottoihin liittyvien neuvontapalvelujen tarjoamisen yhdessä tai useammassa toisessa ETA-valtiossa, on ilmoitettava Finanssivalvonnalle hyvissä ajoin ennen toiminnan aloittamista, mitä palveluja välittäjä aikoo tarjota, missä valtiossa tai valtioissa niitä tarjotaan sekä tarjotaanko niitä perustamalla sivuliike. Finanssivalvonta voi antaa tarkempia määräyksiä tietojen toimittamistavasta ja siitä, mitä tietoja ilmoituksen tulee sisältää. 
Finanssivalvonnan on kuukauden kuluessa ilmoituksen vastaanottamisesta toimitettava edellä tarkoitetut tiedot vastaanottavien valtioiden toimivaltaisille viranomaisille. Näille viranomaisille on ilmoitettava myös ne luotonantajat, joiden asiamiehenä välittäjä toimii, sekä se, että luotonantaja vastaa asiamiehensä toiminnasta. Finanssivalvonnan on viipymättä ilmoitettava välittäjälle siitä, että tiedot on toimitettu vastaanottavien valtioiden viranomaisille. 
Välittäjällä on oikeus aloittaa ilmoitettujen palvelujen tarjoaminen toisessa ETA-valtiossa kuukauden kuluttua siitä, kun se on 2 momentin mukaisesti vastaanottanut ilmoituksen Finanssivalvonnalta.  
16 § Ulkomaisen luotonvälittäjän toiminnan aloittaminen Suomessa 
Ulkomainen luotonvälittäjä, jolle sen kotivaltion toimivaltainen viranomainen on myöntänyt oikeuden välittää asunto-omaisuuteen liittyviä kuluttajaluottoja asuntoluottodirektiivin 29 artiklan mukaisesti, saa aloittaa asunto-omaisuuteen liittyvien kuluttajaluottojen välityksen Suomessa kuukauden kuluttua siitä, kun välittäjä on saanut kotivaltionsa toimivaltaiselta viranomaiselta ilmoituksen siitä, että Finanssivalvonnalle on ilmoitettu toiminnan aloittamisesta Suomessa. Ulkomainen luotonvälittäjä saa vastaavin edellytyksin aloittaa myös asunto-omaisuuteen liittyviä kuluttajaluottoja koskevien neuvontapalvelujen tarjoamisen Suomessa ottaen kuitenkin huomioon 4 §:n mukaiset neuvontapalvelujen tarjoamista koskevat rajoitukset. 
Jos ulkomainen luotonvälittäjä perustaa sivuliikkeen Suomeen, Finanssivalvonnan on ilmoitettava välittäjälle ennen sivuliikkeen toiminnan aloittamista tai kahden kuukauden kuluessa 1 momentissa tarkoitetun ilmoituksen saamisesta välittäjän kotivaltion toimivaltaiselta viranomaiselta ne edellytykset, joiden mukaisesti toimintaa on harjoitettava Suomessa asioissa, joita koskevia säännöksiä ei ole yhdenmukaistettu. 
Finanssivalvonnan on merkittävä Suomessa toimintaa harjoittavista ulkomaisista luotonvälittäjistä rekisteriin seuraavat tiedot: 
1) luotonvälittäjän nimi ja tämän rekisterinumero tai muu vastaava tunniste, ja jos luotonvälittäjä on luonnollinen henkilö, tämän syntymäaika; 
2) luotonvälittäjän päätoimipaikan osoite ja mahdolliset muut Finanssivalvonnalle ilmoitetut yhteystiedot sekä, jos kyse on sivuliikkeestä, vastaavat tiedot siitä; 
3) jos kyse on sivuliikkeestä, sen johtamisesta vastaavien henkilöiden nimet; 
4) luotonvälittäjän kotivaltion toimivaltaisen viranomaisen nimi sekä sen luotonvälittäjärekisterin internetosoite, johon luotonvälittäjä on merkitty; 
5) palvelut, joita luotonvälittäjä aikoo tarjota Suomessa siinä laajuudessa kuin ne ilmenevät kotivaltion toimivaltaisen viranomaisen Finanssivalvonnalle toimittamasta ilmoituksesta; 
6) tarvittaessa yhden tai useamman sellaisen luotonantajan nimi ja rekisterinumero tai muu vastaava tunniste, johon luotonvälittäjä on sidoksissa tai jonka puolesta luotonvälittäjä yksinomaan toimii sekä merkintä siitä, että nämä luotonantajat ovat vahvistaneet ottavansa täyden ja ehdottoman vastuun luotonvälittäjän toiminnasta; 
7) päivämäärä, jona kotivaltion toimivaltainen viranomainen on ilmoituksensa mukaan antanut 1 momentissa tarkoitetun ilmoituksen luotonvälittäjälle. 
17 § Valvonta 
Tämän lain noudattamista valvoo Finanssivalvonta. 
18 § Oikeus saada tietoja sakko- ja rikosrekisteristä 
Finanssivalvonnalla on oikeus saada sakon täytäntöönpanosta annetun lain (672/2002) 46 §:ssä tarkoitetusta sakkorekisteristä tiedot, jotka ovat tarpeen 7 §:ssä tarkoitetun henkilön luotettavuuden selvittämiseksi. Oikeudesta saada tietoja rikosrekisteristä säädetään rikosrekisterilaissa (770/1993). 
19 § Luotonvälitys ilman rekisteröintiä ja neuvontapalvelujen tarjoaminen lainvastaisesti 
Finanssivalvonnan on kiellettävä asunto-omaisuuteen liittyvien kuluttajaluottojen välitys tai tällaisiin luottoihin liittyvien neuvontapalvelujen tarjoaminen, jota harjoitetaan tämän lain vastaisesti ilman rekisteröintiä tai ennen kuin 15 §:n 3 momentissa tai 16 §:n 1 momentissa tarkoitettu aika on kulunut umpeen. Samoin Finanssivalvonnan on kiellettävä asunto-omaisuuteen liittyviä kuluttajaluottoja koskevien neuvontapalvelujen tarjonta, jota harjoitetaan 4 §:n vastaisesti. Kielto voidaan, jos siihen on erityistä syytä, kohdistaa myös tällaista toimintaa harjoittavan palveluksessa olevaan henkilöön tai muuhun, joka toimii hänen lukuunsa. 
Kieltoa on tehostettava uhkasakolla, jollei se erityisestä syystä ole tarpeetonta. Finanssivalvonnan oikeudesta määrätä julkinen varoitus säädetään Finanssivalvonnasta annetussa laissa (878/2008). 
20 § Rekisteristä poistaminen 
Finanssivalvonnan on poistettava suomalainen luotonvälittäjä rekisteristä ilman aiheetonta viivytystä, jos: 
1) välittäjä ei ole välittänyt asunto-omaisuuteen liittyviä kuluttajaluottoja tai tarjonnut tällaisiin luottoihin liittyviä neuvontapalveluja edeltävän kuuden kuukauden aikana tai on lopettanut toimintansa; 
2) välittäjä on hyväksytty rekisteriin välittäjän antamien virheellisten tai harhaanjohtavien tietojen vuoksi; 
3) 6 §:n 1 momentin 1—3 kohdassa säädetyt rekisteröinnin edellytykset eivät enää täyty; 
4) välittäjä välittää asunto-omaisuuteen liittyviä kuluttajaluottoja toisen välikätenä; 
5) 6 §:n 1 momentin 4 kohdassa säädetty rekisteröinnin edellytys ei enää täyty, eikä välittäjä ole Finanssivalvonnan kehotuksessa asetetussa määräajassa ilmoittanut uusia henkilöitä, jotka täyttävät asetetut vaatimukset luottotoimintaa koskevasta asiantuntemuksesta;  
6) 6 §:n 1 momentin 5 kohdassa säädetty rekisteröinnin edellytys ei enää täyty, eikä välittäjä ole Finanssivalvonnan kehotuksessa asetetussa määräajassa järjestänyt 8 §:n edellytykset täyttävää vastuuvakuutusta tai muuta vakuutta; 
7) välittäjän tai sen ylimmän johdon toiminnassa ilmenee vakavia tai toistuvia laiminlyöntejä ja välittäjälle on jo aiemmin asetettu 21 §:n 1 momentissa tarkoitettu toimintakielto. 
Finanssivalvonta voi rekisteristä poistamisen yhteydessä antaa asiakkaiden etujen turvaamiseksi määräyksiä niistä toimenpiteistä, joihin välittäjän on ryhdyttävä toiminnan lopettamiseksi. 
Jos Finanssivalvonta poistaa asunto-omaisuuteen liittyvien kuluttajaluottojen välittäjän rekisteristä, Finanssivalvonnan on ilmoitettava rekisteristä poistamisesta 14 päivän kuluessa niiden muiden ETA-valtioiden toimivaltaisille viranomaisille, joissa välittäjä on 15 §:n 1 momentin mukaisesti ilmoittanut toimivansa. 
21 § Suomalaista luotonvälittäjää koskevat muut seuraamukset 
Jos suomalainen luotonvälittäjä olennaisesti laiminlyö noudattaa, mitä sen velvollisuudeksi 9 §:n 3 momentissa, 11—13 §:ssä tai 15 §:n 1 momentissa säädetään, eikä laiminlyöntiä ole korjattu Finanssivalvonnan asettamassa kohtuullisessa ajassa, Finanssivalvonta voi kieltää välittäjää jatkamasta toimintaansa, kunnes laiminlyönti on korjattu.  
Finanssivalvonta voi asettaa kiellon tehosteeksi uhkasakon.  
Finanssivalvonnan oikeudesta määrätä julkinen varoitus säädetään Finanssivalvonnasta annetussa laissa. 
22 § Ulkomaisen luotonvälittäjän sivuliikkeeseen kohdistettavat seuraamukset  
Jos Finanssivalvonta toteaa, että ulkomaisen luotonvälittäjän Suomessa oleva sivuliike ei noudata 6 §:n 1 momentin 4 kohdan tai 11—13 §:n säännöksiä, Finanssivalvonnan on vaadittava välittäjää lopettamaan säännösten vastainen menettely. 
Jos ulkomaisen luotonvälittäjän Suomessa oleva sivuliike ei toteuta vaadittuja toimenpiteitä, Finanssivalvonta voi määrätä 21 §:n 1 momentissa tai Finanssivalvonnasta annetussa laissa säädettyjä hallinnollisia seuraamuksia sen varmistamiseksi, että välittäjä lopettaa säännösten vastaisen menettelyn. Päätetyistä hallinnollisista seuraamuksista on ilmoitettava asuntoluottodirektiivin 34 artiklan 2 kohdan mukaisesti välittäjän kotivaltion toimivaltaisille viranomaisille ja Euroopan komissiolle. 
Jos Finanssivalvonnalla on perusteltu syy epäillä, että ulkomaisen luotonvälittäjän Suomessa oleva sivuliike ei noudata asuntoluottodirektiivin muiden kuin 34 artiklan 2 kohdan toisessa alakohdassa mainittujen artiklojen täytäntöön panemiseksi annettuja säännöksiä, Finanssivalvonnan on ilmoitettava tästä välittäjän kotivaltion toimivaltaiselle viranomaiselle. 
Jos välittäjän kotivaltion toimivaltainen viranomainen ei toteuta tarvittavia toimia kuukauden kuluessa ilmoituksen saamisesta tai jos toteutetuista toimista huolimatta välittäjä toimii edelleen tavalla, joka on selvästi suomalaisten kuluttajien etujen vastainen tai haittaa markkinoiden asianmukaista toimintaa Suomessa, Finanssivalvonta voi ilmoitettuaan asiasta kotivaltion toimivaltaiselle viranomaiselle määrätä 2 momentissa tarkoitettuja hallinnollisia seuraamuksia. Hallinnollisista seuraamuksista on ilmoitettava Euroopan komissiolle ja Euroopan pankkiviranomaiselle ilman aiheetonta viivytystä. Finanssivalvonta voi saattaa asian myös pankkivalvontaviranomaisen käsiteltäväksi Euroopan valvontaviranomaisen (Euroopan pankkiviranomainen) perustamisesta sekä päätöksen N:o 716/2009/EY muuttamisesta ja komission päätöksen 2009/78/EY kumoamisesta annetun Euroopan parlamentin ja neuvoston asetuksen (EU) N:o 1093/2010 19 artiklan mukaisesti. 
23 § Muita ulkomaisia luotonvälittäjiä koskevat seuraamukset 
Jos Finanssivalvonnalla on perusteltu syy epäillä, että Suomessa ilman sivuliikettä toimiva ulkomainen luotonvälittäjä ei noudata säännöksiä, jotka on annettu asuntoluottodirektiivin säännösten täytäntöön panemiseksi, Finanssivalvonnan on ilmoitettava tästä välittäjän kotivaltion toimivaltaiselle viranomaiselle. 
Jos ulkomaisen luotonvälittäjän kotivaltion toimivaltainen viranomainen ei toteuta tarvittavia toimia kuukauden kuluessa kyseisten tietojen saamisesta tai jos kotivaltion toimivaltaisen viranomaisen toteuttamista toimista huolimatta välittäjä toimii edelleen tavalla, joka on selvästi suomalaisten kuluttajien etujen vastainen tai haittaa markkinoiden asianmukaista toimintaa Suomessa, Finanssivalvonta voi ilmoitettuaan asiasta ensin kotivaltion toimivaltaiselle viranomaiselle määrätä 22 §:n 2 momentissa tarkoitettuja hallinnollisia seuraamuksia. Hallinnollisista seuraamuksista on ilmoitettava Euroopan komissiolle ja Euroopan pankkiviranomaiselle ilman aiheetonta viivytystä. Finanssivalvonta voi saattaa asian myös pankkivalvontaviranomaisen käsiteltäväksi Euroopan valvontaviranomaisen (Euroopan pankkiviranomainen) perustamisesta sekä päätöksen N:o 716/2009/EY muuttamisesta ja komission päätöksen 2009/78/EY kumoamisesta annetun Euroopan parlamentin ja neuvoston asetuksen (EU) N:o 1093/2010 19 artiklan mukaisesti. 
24 § Valvontavaltuudet 
Sen lisäksi, mitä Finanssivalvonnan valvontavaltuuksista säädetään Finanssivalvonnasta annetussa laissa, Finanssivalvonnalla on oikeus tarkastaa suomalaisen luotonvälittäjän toisessa ETA-valtiossa olevan sivuliikkeen toimintaa mainitun lain 24 ja 25 §:n säännösten mukaisesti. Lisäksi Finanssivalvonta voi saattaa toisen ETA-valtion viranomaisen määräämän hallinnollisen seuraamuksen, joka kohdistuu suomalaisen luotonvälittäjän ulkomaiseen sivuliikkeeseen, pankkivalvontaviranomaisen käsiteltäväksi Euroopan valvontaviranomaisen (Euroopan pankkiviranomainen) perustamisesta sekä päätöksen N:o 716/2009/EY muuttamisesta ja komission päätöksen 2009/78/EY kumoamisesta annetun Euroopan parlamentin ja neuvoston asetuksen (EU) N:o 1093/2010 19 artiklan mukaisesti. 
Finanssivalvonnalla on oikeus ilmoitettuaan siitä etukäteen ulkomaisen luotonvälittäjän kotivaltion toimivaltaiselle viranomaiselle saada ulkomaiselta luotonvälittäjältä valvontatehtävänsä taikka laissa tai asuntoluottodirektiivissä säädettyjen muiden tehtäviensä hoitamiseksi tarpeelliset tiedot. 
Ilmoitettuaan siitä etukäteen ulkomaisen luotonvälittäjän kotivaltion toimivaltaiselle viranomaiselle Finanssivalvonnalla on lisäksi oikeus tarkastaa ulkomaisen luotonvälittäjän Suomessa sijaitsevan sivuliikkeen toimintaa 2 momentissa tarkoitettujen tehtävien hoitamiseksi. 
Finanssivalvonnan käyttäessä 2 ja 3 momentin mukaista tietojensaanti- ja tarkastusoikeutta sovelletaan, mitä Finanssivalvonnasta annetun lain 3 luvussa säädetään muuta finanssimarkkinoilla toimivaa koskevasta tiedonsaanti- ja tarkastusoikeudesta, 33 a §:ssä oikeudesta asettaa uhkasakko ja 34 §:ssä oikeudesta käyttää ulkopuolista asiantuntijaa.  
25 § Oikeus vahingonkorvaukseen 
Luotonvälittäjä on velvollinen korvaamaan vahingon, joka hänen lain tai toimeksiantosopimuksen vastaisesta menettelystään aiheutuu kuluttajalle tai muulle, jonka oikeutta toimeksianto tai luottosopimus koskee. Luotonvälittäjä vapautuu kuitenkin vastuusta, jos hän osoittaa toimineensa ammattitaitoisesti ja huolellisesti. 
Kuluttajalla ja muulla, jonka oikeutta toimeksianto tai luottosopimus koskee, on oikeus vaatia korvausta hänelle aiheutuneesta vahingosta myös luotonvälittäjänä toimivan yhteisön toimitusjohtajalta, hallituksen jäseneltä tai siihen rinnastettavan toimielimen jäseneltä sekä vastuunalaiselta yhtiömieheltä, jos vahinko on johtunut siitä, että tämä on tahallaan tai huolimattomuudesta laiminlyönyt huolehtia siitä, että toiminnassa noudatetaan 12 §:ssä tarkoitettua kieltoa.  
Sopimusehto, joka poikkeaa 1 tai 2 momentin säännöksistä kuluttajan tai korvaukseen oikeutetun muun luonnollisen henkilön vahingoksi, on mitätön. 
Vahingonkorvauksen sovitteluun ja korvausvastuun jakaantumiseen kahden tai useamman korvausvelvollisen kesken sovelletaan, mitä vahingonkorvauslain (412/1974) 2 ja 6 luvussa säädetään. 
26 § Rangaistussäännökset 
Joka tahallaan ilman rekisteröintiä harjoittaa asunto-omaisuuteen liittyvien kuluttajaluottojen välitystä tai tällaisiin luottoihin liittyvien neuvontapalvelujen tarjoamista, on tuomittava, jollei teosta muualla laissa säädetä ankarampaa rangaistusta, asunto-omaisuuteen liittyvien kuluttajaluottojen välitysrikoksesta sakkoon tai vankeuteen enintään kuudeksi kuukaudeksi.  
Sitä, joka rikkoo 19 §:n nojalla määrättyä uhkasakolla tehostettua kieltoa, ei voida tuomita rangaistukseen samasta teosta, jos uhkasakko on lainvoimaisella päätöksellä tuomittu maksettavaksi.  
27 § Muutoksenhaku Finanssivalvonnan päätökseen 
Muutoksenhausta Finanssivalvonnan tekemään päätökseen säädetään Finanssivalvonnasta annetussa laissa. 
28 § Voimaantulo 
Tämä laki tulee voimaan päivänä kuuta 20 . 
Rekisteri-ilmoitus voidaan ottaa käsiteltäväksi ennen tämän lain voimaantuloa ja ilmoituksen tekijä voidaan rekisteröidä asunto-omaisuuteen liittyvien kuluttajaluottojen välittäjistä pidettävään rekisteriin tämän lain tullessa voimaan. 
29 § Siirtymäsäännökset 
Se, joka tämän lain voimaan tullessa harjoittaa tämän lain mukaan rekisteröintiä edellyttävää toimintaa, saa jatkaa toimintaansa Suomessa ilman rekisteröintiä 21 päivään maaliskuuta 2017. 
Sen, joka on harjoittanut asunto-omaisuuteen liittyvien kuluttajaluottojen välitystä tai tällaisiin luottoihin liittyvien neuvontapalvelujen tarjoamista vähintään 19 päivästä maaliskuuta 2014, on noudatettava 3 §:n 3 momentin ja 6 §:n 1 momentin 4 kohdan säännöksiä tietämystä ja pätevyyttä koskevista vaatimuksista 21 päivästä maaliskuuta 2017. 
 Lakiehdotus päättyy 

3. Laki eräiden luotonantajien ja luotonvälittäjien rekisteröinnistä  

Eduskunnan päätöksen mukaisesti säädetään: 
1 § Soveltamisala 
Tämä laki koskee elinkeinonharjoittajia, jotka myöntävät kuluttajansuojalain (38/1978) 7 tai 7 a luvun soveltamisalaan kuuluvia kuluttajaluottoja. Laki koskee myös elinkeinonharjoittajia, jotka välittävät luottoja kuluttajille, jos luoton myöntää joku muu kuin kuluttajansuojalain 7 tai 7 a luvussa tarkoitettu luotonantaja (vertaislaina). 
Tämä laki ei koske: 
1) elinkeinonharjoittajia, joita Finanssivalvonta valvoo Finanssivalvonnasta annetun lain (878/2008) 4 §:n nojalla; 
2) Finanssivalvonnasta annetun lain 5 §:n 23 kohdassa tarkoitettuja maksupalvelujen tarjoajia; 
3) panttilainauslaitoksia; 
4) elinkeinonharjoittajia, jotka myöntävät kuluttajaluottoja vain myymiensä kulutushyödykkeiden oston rahoittamiseksi; 
5) valtiota, kuntaa eikä muuta julkisyhteisöä; 
6) toiseen Euroopan talousalueeseen kuuluvaan valtioon sijoittautuneita elinkeinonharjoittajia, jotka tarjoavat kuluttajaluottoja tai välittävät vertaislainoja Suomessa tilapäisesti. 
2 § Oikeus myöntää kuluttajaluottoja ja välittää vertaislainoja 
Muu kuin 1 §:n 2 momentissa tarkoitettu elinkeinonharjoittaja saa myöntää kuluttajaluottoja vain, jos se on rekisteröity tämän lain mukaisesti luotonantajaksi. Tällainen elinkeinonharjoittaja saa välittää vertaislainoja vain, jos se on rekisteröity tämän lain mukaisesti vertaislainanvälittäjäksi tai luotonantajaksi. 
3 § Luotonantaja- ja vertaislainanvälittäjärekisteri ja rekisteri-ilmoitus 
Etelä-Suomen aluehallintovirasto pitää rekisteriä luotonantajista ja vertaislainanvälittäjistä (luotonantaja- ja vertaislainanvälittäjärekisteri). 
Sen, joka aikoo tarjota kuluttajaluottoja tai välittää vertaislainoja, on tehtävä ilmoitus aluehallintovirastolle rekisteriin merkitsemistä varten. Rekisteri-ilmoitukseen on sisällytettävä: 
1) 7 §:n 1 momentin 1 ja 2 kohdassa tarkoitetut tiedot; 
2) tieto siitä, hakeeko ilmoituksen tekijä rekisteröintiä luotonantajaksi vai vertaislainanvälittäjäksi ja, jos kyse on luotonantajaksi rekisteröitymisestä, aikooko tämä myöntää myös kuluttajansuojalain 7 a luvun soveltamisalaan kuuluvia asunto-omaisuuteen liittyviä kuluttajaluottoja tai välittää vertaislainoja; 
3) selvitys 6 §:n 1 momentissa tarkoitetuista henkilöistä, joiden luotettavuus tulee arvioitavaksi, jos ilmoituksen tekijä on oikeushenkilö; 
4) selvitys ilmoituksen tekijän, tai jos ilmoituksen tekijä on oikeushenkilö, 6 §:n 2 momentissa tarkoitettujen henkilöiden koulutuksesta ja työkokemuksesta; 
5) tieto siitä, onko ilmoituksen tekijällä tarkoitus vastaanottaa asiakasvaroja, ja selvitys siitä, miten ilmoituksen tekijä aikoo huolehtia asiakasvarojen säilyttämisestä ja käsittelemisestä. 
Ilmoituksen tekijän on aluehallintoviraston pyynnöstä toimitettava muutkin tiedot, jotka ovat tarpeen rekisteröinnin edellytysten täyttymisen arvioimiseksi. 
4 § Rekisteröinnin edellytykset 
Aluehallintoviraston on rekisteröitävä ilmoituksen tekijä luotonantajaksi tai vertaislainanvälittäjäksi, jos: 
1) ilmoituksen tekijällä on oikeus harjoittaa elinkeinoa Suomessa; 
2) ilmoituksen tekijä ei ole konkurssissa ja, jos hän on luonnollinen henkilö, on täysi-ikäinen eikä hänen toimintakelpoisuuttaan ole rajoitettu; 
3) ilmoituksen tekijä on luotettava; 
4) ilmoituksen tekijällä on sellainen luottotoiminnan tuntemus kuin harjoitetun luottotoiminnan tai vertaislainanvälityksen luonteeseen ja laajuuteen katsoen on tarpeen. 
Aluehallintovirasto voi evätä rekisteröinnin, jos olosuhteet huomioon ottaen on ilmeistä, että ilmoituksen tekijä aikoo harjoittaa kuluttajaluottojen tarjoamista tai vertaislainanvälitystä toisen välikätenä.  
5 § Luotettavuus 
Ilmoituksen tekijää ei pidetä 4 §:n 1 momentin 3 kohdassa edellytetyllä tavalla luotettavana, jos hänet on lainvoiman saaneella tuomiolla viiden arviota edeltäneen vuoden aikana tuomittu vankeusrangaistukseen tai kolmen arviota edeltäneen vuoden aikana sakkorangaistukseen rikoksesta, jonka voidaan katsoa osoittavan hänen olevan ilmeisen sopimaton harjoittamaan kuluttajaluottojen tarjoamista tai vertaislainanvälitystä, omistamaan mainitunlaista toimintaa harjoittavaa yhteisöä tai toimimaan sen hallituksen jäsenenä tai varajäsenenä, toimitusjohtajana tai toimitusjohtajan sijaisena taikka muussa ylimmässä johdossa, taikka jos hän on muutoin aikaisemmalla toiminnallaan osoittanut olevansa ilmeisen sopimaton toimimaan mainitunlaisessa tehtävässä. 
6 § Oikeushenkilö ilmoituksen tekijänä 
Jos ilmoituksen tekijä on oikeushenkilö, 4 §:n 1 momentin 3 kohdassa säädetty vaatimus luotettavuudesta koskee toimitusjohtajaa ja hänen sijaistaan, hallituksen jäsentä ja varajäsentä, hallintoneuvoston ja siihen rinnastettavan toimielimen jäsentä ja varajäsentä, vastuunalaista yhtiömiestä, muuta ylimpään johtoon kuuluvaa ja sitä, jolla on suoraan tai välillisesti vähintään kymmenesosa osakeyhtiön osakkeista tai osakkeiden tuottamasta äänivallasta tai vastaava omistus- tai määräämisvalta, jos kyse on muu yhteisö kuin osakeyhtiö. 
Jos ilmoituksen tekijä on oikeushenkilö, 4 §:n 1 momentin 4 kohdassa säädetty vaatimus luottotoiminnan tuntemuksesta koskee ylintä johtoa. Jos ilmoituksen tekijä harjoittaa myös muuta liiketoimintaa kuin kuluttajaluottojen tarjoamista tai vertaislainanvälitystä, vaatimus koskee niitä henkilöitä, jotka tosiasiallisesti vastaavat luottotoiminnasta tai vertaislainanvälityksestä. 
7 § Rekisteriin merkittävät tiedot ja muutoksista ilmoittaminen 
Luotonantaja- ja vertaislainanvälittäjärekisteriin merkitään: 
1) yksityisen elinkeinonharjoittajan täydellinen nimi ja henkilötunnus tai tämän puuttuessa syntymäaika sekä toiminimi, mahdollinen aputoiminimi, yritys- ja yhteisötunnus tai muu vastaava tunniste ja niiden toimipaikkojen käyntiosoite, joissa luottotoimintaa tai vertaislainanvälitystä harjoitetaan; 
2) oikeushenkilön toiminimi, mahdollinen aputoiminimi, yritys- ja yhteisötunnus tai muu vastaava tunniste ja niiden toimipaikkojen käyntiosoite, joissa luottotoimintaa tai vertaislainanvälitystä harjoitetaan; 
3) se, onko elinkeinonharjoittaja luotonantaja vai vertaislainanvälittäjä ja, jos kyse on luotonantajasta, tieto siitä, jos tämä myöntää myös kuluttajansuojalain 7 a luvun soveltamisalaan kuuluvia asunto-omaisuuteen liittyviä kuluttajaluottoja tai välittää vertaislainoja; 
4) niiden henkilöiden täydellinen nimi ja henkilötunnus tai tämän puuttuessa syntymäaika, joiden luotettavuus on rekisteröinti-ilmoitusta käsiteltäessä selvitetty; 
5) niiden henkilöiden täydellinen nimi ja henkilötunnus tai tämän puuttuessa syntymäaika, joiden luottotoiminnan tuntemus on rekisteröinti-ilmoitusta käsiteltäessä selvitetty; 
6) tieto siitä, onko luotonantajalla tai vertaislainanvälittäjällä oikeus ottaa vastaan asiakasvaroja; 
7) rekisteröinnin päivämäärä; 
8) luotonantajalle tai vertaislainanvälittäjälle 17 §:n 2 momentin nojalla määrätyt varoitukset sekä sellaiset kehotukset ja kiellot, joiden tehosteeksi on asetettu uhkasakko; 
9) rekisteristä poistamisen syy ja ajankohta. 
Rekisteriin merkitään myös tiedot niistä, joille on määrätty 17 §:n 1 momentissa tarkoitettu kielto harjoittaa kuluttajaluottojen tarjontaa tai vertaislainanvälitystä ilman rekisteröintiä. Tällainen tieto sekä tieto 1 momentin 8 kohdassa mainituista sanktioista on poistettava rekisteristä viiden vuoden kuluttua sen vuoden päättymisestä, jona kielto tai muu sanktio on määrätty. 
Luotonantajan ja vertaislainanvälittäjän on viipymättä ilmoitettava aluehallintovirastolle rekisteriin merkittyjen tietojen muutoksista. Lisäksi luotonantajan ja vertaislainanvälittäjän on ilmoitettava aluehallintovirastolle toimintansa lopettamisesta. 
8 § Tietojen luovuttaminen 
Sen estämättä, mitä viranomaisten toiminnan julkisuudesta annetun lain (621/1999) 16 §:n 3 momentissa säädetään, rekisteristä saa luovuttaa henkilötietoja tulosteena taikka saattaa ne yleisesti saataville sähköisen tietoverkon kautta tai luovuttaa ne muutoin sähköisessä muodossa. Tieto henkilötunnuksesta saadaan kuitenkin luovuttaa tämän lain nojalla vain, jos tieto annetaan tulosteena tai teknisenä tallenteena ja jos luovutuksensaajalla on oikeus henkilötunnuksen käsittelyyn henkilötietolain (523/1999) 13 §:n tai muun lain nojalla. 
9 § Luotonantajan ja vertaislainanvälittäjän johdon velvoitteet 
Luotonantajan ja vertaislainanvälittäjän tai, jos luotonantaja tai vertaislainanvälittäjä on oikeushenkilö, sen ylimmän johdon on huolehdittava siitä, että toiminnassa noudatetaan hyvää luotonantotapaa ja että toimintaa muutoinkin harjoitetaan lainmukaisesti. Näiden on lisäksi huolehdittava siitä, että toimintaan osallistuvilla henkilöillä on tehtävässä tarvittava riittävä ammattitaito.  
Jos luotonantaja myöntää kuluttajansuojalain 7 a luvun soveltamisalaan kuuluvia kuluttajaluottoja, luotonantajan palveluksessa olevilla ja muutoin luotonantajan lukuun toimivilla henkilöillä, jotka osallistuvat luottojen myöntämiseen, on oltava luottotoimintaa koskeva riittävä tietämys ja pätevyys ottaen huomioon kuluttajille tarkoitetuista kiinteää asunto-omaisuutta koskevista luottosopimuksista ja direktiivien 2008/48/EY ja 2013/36/EU sekä asetuksen (EU) N:o 1093/2010 muuttamisesta annetun Euroopan parlamentin ja neuvoston direktiivin 2014/17/EU III liitteessä säädetyt vaatimukset. Lisäksi henkilöillä, joiden välittömän johdon ja valvonnan alaisina edellä tarkoitetut henkilöt toimivat, on oltava vastaava asiantuntemus. Vaadittavasta asiantuntemuksesta säädetään tarkemmin valtioneuvoston asetuksella.  
Lisäksi 2 momentissa tarkoitettuja kuluttajaluottoja myöntävän luotonantajan tai, jos luotonantaja on oikeushenkilö, sen ylimmän johdon on varmistettava, että kuluttajansuojalain 7 a luvun 3 §:n 1 momentin 1 kohdassa tarkoitetun asunto-omaisuuden arvioitsijalla on arviointitehtävään tarvittava riittävä ammattitaito. 
10 § Oikeus asiakasvarojen vastaanottamiseen 
Aluehallintoviraston on myönnettävä ilmoituksen tekijälle oikeus vastaanottaa asiakasvaroja, jos ilmoituksen tekijä on toimittanut aluehallintovirastolle selvityksen asiakasvarojen säilyttämisestä ja käsittelystä 11 §:n 1 momentissa edellytetyllä tavalla, eikä ilmoituksen tekijää ole pidettävä ilmeisen sopimattomana vastaanottamaan asiakasvaroja. 
Sopimattomuutta arvioitaessa aluehallintoviraston tulee ottaa huomioon ilmoituksen tekijän taloudellinen asema ja se, onko tämä hoitanut veroihin, lakisääteisiin eläke-, tapaturma- tai työkyvyttömyysmaksuihin tai tullin perimiin maksuihin liittyvät velvoitteensa. 
Jos ilmoituksen tekijä on oikeushenkilö, sopimattomuuden arviointi tulee tehdä oikeushenkilön lisäksi toimitusjohtajasta, hänen sijaisestaan, hallituksen jäsenestä ja varajäsenestä, hallintoneuvoston ja siihen rinnastettavan toimielimen jäsenestä ja varajäsenestä, vastuunalaisesta yhtiömiehestä, muusta ylimpään johtoon kuuluvasta ja siitä, jolla on suoraan tai välillisesti vähintään kymmenesosa osakeyhtiön osakkeista tai osakkeiden tuottamasta äänivallasta tai vastaava omistus- tai määräämisvalta, jos kyseessä on muu yhteisö kuin osakeyhtiö.  
Edellä 2 momentissa mainitut seikat tulee selvittää myös ilmoituksen tekijään, ja jos tämä on oikeushenkilö, 3 momentissa mainittuihin henkilöihin välittömästi tai välillisesti kytkeytyvistä yritys- ja yhteisötietolain (244/2001) 3 §:ssä mainituista rekisteröitävistä yrityksistä tai yhteisöistä ilmoituksen tekemistä edeltäneiltä kolmelta vuodelta. 
11 § Asiakasvarojen säilyttäminen ja käsittely 
Luotonantajan ja vertaislainanvälittäjän on järjestettävä hallintaansa luovutettujen asiakkaiden varojen säilyttäminen ja käsittely luotettavalla tavalla. Tällaisen toimijan on erityisesti huolehdittava siitä, että  
1) asiakasvarat pidetään erillään sen omista varoista; 
2) asiakasvaroista pidetään kirjaa siten, että kunkin asiakkaan asiakasvarat ovat eriteltyinä muiden asiakkaiden varoista; 
3) asiakasvarat talletetaan Suomessa tai muussa ETA-valtiossa toimiluvan saaneessa talletuspankissa olevalle pankkitilille. 
Luotonantajan ja vertaislainanvälittäjän asiakkaalla on oikeus vaatia korvausta hänelle aiheutuneesta vahingosta myös luotonantajana tai vertaislainanvälittäjänä toimivan yhteisön toimitusjohtajalta, hallituksen jäseneltä tai siihen rinnastettavan toimielimen jäseneltä ja vastuunalaiselta yhtiömieheltä, jos vahinko on johtunut siitä, että tämä on tahallaan tai huolimattomuudesta laiminlyönyt huolehtia siitä, että asiakasvarojen säilyttäminen ja käsittely järjestetään 1 momentissa tarkoitetulla tavalla. Vahingonkorvauksen sovitteluun sekä korvausvastuun jakautumiseen kahden tai useamman korvausvelvollisen kesken sovelletaan, mitä vahingonkorvauslain (412/1974) 2 ja 6 luvussa säädetään. 
12 § Luotonantoon ja vertaislainanvälitykseen liittyvien asiakirjojen ja tietojen säilyttäminen 
Ellei muualla laissa säädetä pidemmästä säilytysajasta, luotonantajan ja vertaislainanvälittäjän on säilytettävä luotonantoon ja vertaislainanvälitykseen liittyvät asiakirjat ja tiedot viiden vuoden ajan siitä, kun luotto on kokonaisuudessaan erääntynyt maksettavaksi. Luottoa tai vertaislainanvälitystä koskevan erimielisyyden synnyttyä asiakirjat ja tiedot on kuitenkin säilytettävä siihen saakka, kunnes asia on sovittu tai ratkaistu.  
13 § Vaitiolovelvollisuus 
Joka kuluttajaluottojen myöntämistä tai vertaislainanvälitystä harjoittaessa on saanut tietää kuluttajan tai jonkun muun taloudellista asemaa tai henkilökohtaisia oloja koskevan seikan tai liike- tai ammattisalaisuuden, ei saa ilmaista tätä sivulliselle, jollei se, jonka hyväksi vaitiolovelvollisuus on säädetty, anna suostumustaan tietojen ilmaisemiseen tai jollei laissa muuta säädetä. 
14 § Valvonta 
Tämän lain noudattamista valvoo Etelä-Suomen aluehallintovirasto. 
15 § Valvontaviranomaisen tiedonsaantioikeus 
Luotonantajan ja vertaislainanvälittäjän on salassapitosäännösten estämättä pyynnöstä annettava aluehallintovirastolle valvontaa varten tarvittavat asiakirjat ja tiedot. 
Lisäksi aluehallintovirastolla on salassapitosäännösten estämättä oikeus saada yksilöityä valvontatointa varten asiakirjoja ja tietoja myös muulta yksityiseltä yhteisöltä tai henkilöltä kuin luotonantajalta. Asiakirjojen ja tietojen tulee olla valvonnan kannalta välttämättömiä sen selvittämiseksi, kuuluuko luottojen tarjoaminen tai luottojen välittäminen tämän lain soveltamisalaan tai kuka luottoja tosiasiallisesti tarjoaa tai välittää. 
Aluehallintovirastolla ei ole kuitenkaan oikeutta saada asianajajista annetussa laissa (496/1958) tarkoitetulta asianajajalta tai hänen apulaiseltaan asianajajan asiakasta koskevia asiakirjoja ja tietoja eikä muultakaan henkilöltä oikeudenkäyntiasiamies- tai oikeudenkäyntiavustajatehtävien hoitamisen yhteydessä saatuja asiakirjoja ja tietoja. Oikeudenkäyntiasiamies- ja oikeudenkäyntiavustajatehtäviksi luetaan varsinaisten oikeudenkäyntiin liittyvien tehtävien lisäksi oikeudellinen neuvonta, joka koskee asiakkaan oikeudellista asemaa esitutkinnassa rikoksen johdosta tai asian muussa oikeudenkäyntiä edeltävässä käsittelyvaiheessa tai oikeudenkäynnin käynnistämistä tai sen välttämistä. 
16 § Oikeus saada tietoja eräistä viranomaisten rekistereistä 
Aluehallintovirastolla on oikeus saada sakon täytäntöönpanosta annetun lain (672/2002) 46 §:ssä tarkoitetusta sakkorekisteristä tiedot, jotka ovat tarpeen 4 §:n 1 momentin 3 kohdassa ja 6 §:n 1 momentissa tarkoitetun henkilön luotettavuuden selvittämiseksi. Oikeudesta saada tietoja rikosrekisteristä säädetään rikosrekisterilaissa (770/1993). 
Aluehallintovirastolla on salassapitosäännösten estämättä oikeus saada maksutta viranomaiselta ja julkista tehtävää hoitavalta tiedot, jotka ovat tarpeen 10 §:ssä tarkoitetun tehtävän hoitamiseksi. Tiedot voidaan luovuttaa aluehallintovirastolle myös teknisen käyttöyhteyden avulla tai muutoin sähköisesti. 
17 § Pakkokeinot 
Aluehallintoviraston on kiellettävä kuluttajaluottojen tarjoaminen ja vertaislainanvälitys, jota harjoitetaan tämän lain vastaisesti ilman rekisteröintiä. Aluehallintoviraston on myös kiellettävä asiakasvarojen vastaanottaminen, jos asiakasvaroja vastaanotetaan ilman 10 §:n mukaisesti myönnettyä oikeutta tai jos luotonantaja tai vertaislainanvälittäjä on olosuhteissa tapahtuneen muutoksen johdosta tullut ilmeisen sopimattomaksi vastaanottamaan asiakasvaroja. Kielto voidaan, jos siihen on erityistä syytä, kohdistaa myös tällaista toimintaa harjoittavan palveluksessa olevaan henkilöön tai muuhun, joka toimii hänen lukuunsa. Aluehallintovirasto voi asiakasvarojen vastaanottamista koskevan kiellon määräämisen yhteydessä antaa asiakkaiden etujen turvaamiseksi määräyksiä niistä toimenpiteistä, joihin luotonantajan tai välittäjän on ryhdyttävä toiminnan lopettamiseksi. 
Jos luotonantaja tai vertaislainanvälittäjä laiminlyö 7 §:n 3 momentissa, 11 §:n 1 momentissa tai 15 §:n 1 momentissa säädetyn velvollisuuden, aluehallintovirasto voi kehottaa luotonantajaa tai vertaislainanvälittäjää täyttämään velvollisuuden määräajassa. Jos luotonantaja tai vertaislainanvälittäjä laiminlyö 9 tai 12 §:ssä säädetyn velvollisuuden, aluehallintovirasto voi antaa luotonantajalle tai vertaislainanvälittäjälle varoituksen. Jos laiminlyönnit ovat vakavia tai jos ne annetusta kehotuksesta tai varoituksesta huolimatta toistuvat, aluehallintovirasto voi kieltää osaksi tai kokonaan luotonantajan tai vertaislainanvälittäjän toiminnan määräajaksi, kuitenkin enintään kuudeksi kuukaudeksi. Luotonantajan tai vertaislainanvälittäjän toiminta voidaan kieltää määräajaksi myös, jos luotonantaja tai vertaislainan välittäjä rikkoo aluehallintoviraston 1 momentin mukaisesti asettamaa kieltoa vastaanottaa asiakasvaroja.  
Jos 15 §:n 2 momentissa tarkoitettu taho laiminlyö mainitussa momentissa säädetyn velvollisuuden, aluehallintovirasto voi kehottaa tätä täyttämään velvollisuuden määräajassa. 
Aluehallintovirasto voi asettaa tässä pykälässä tarkoitetun kiellon tai kehotuksen tehosteeksi uhkasakon. Edellä 1 momentissa tarkoitettua kieltoa on tehostettava uhkasakolla, ellei se erityisestä syystä ole tarpeetonta tai aluehallintovirasto katso, että menettely tulisi saattaa arvioitavaksi 19 §:n 1 tai 2 momentin mukaisesti. Uhkasakosta säädetään muutoin uhkasakkolaissa (1113/1990). 
18 § Rekisteristä poistaminen 
Aluehallintoviraston on poistettava luotonantaja tai vertaislainanvälittäjä luotonantaja- ja vertaislainanvälittäjärekisteristä, jos: 
1) luotonantaja tai vertaislainanvälittäjä on lopettanut toimintansa; 
2) 4 §:n 1 momentin 1—3 kohdassa säädetyt rekisteröinnin edellytykset eivät enää täyty; 
3) luotonantaja tai vertaislainanvälittäjä harjoittaa kuluttajaluottojen tarjoamista tai vertaislainanvälitystä toisen välikätenä; 
4) 4 §:n 1 momentin 4 kohdassa säädetty rekisteröinnin edellytys ei enää täyty eikä luotonantaja tai vertaislainanvälittäjä ole aluehallintoviraston kehotuksessa asetetussa määräajassa ilmoittanut uusia henkilöitä, jotka täyttävät asetetut vaatimukset luottotoiminnan tuntemuksesta;  
5) luotonantajan tai vertaislainanvälittäjän taikka sen ylimmän johdon toiminnassa ilmenee vakavia tai toistuvia laiminlyöntejä ja luotonantajalle tai vertaislainanvälittäjälle on jo aiemmin asetettu määräaikainen toimintakielto. 
Aluehallintovirasto voi rekisteristä poistamisen yhteydessä antaa asiakkaiden etujen turvaamiseksi määräyksiä niistä toimenpiteistä, joihin luotonantajan tai välittäjän on ryhdyttävä toiminnan lopettamiseksi.  
19 § Rangaistussäännökset 
Joka tahallaan ilman rekisteröintiä harjoittaa kuluttajaluottojen tarjoamista, on tuomittava, jollei teosta muualla laissa säädetä ankarampaa rangaistusta, luotonantajarikoksesta sakkoon tai vankeuteen enintään kuudeksi kuukaudeksi. 
Joka tahallaan ilman rekisteröintiä harjoittaa vertaislainanvälitystä, on tuomittava, jollei teosta muualla laissa säädetä ankarampaa rangaistusta, vertaislainanvälittäjärikoksesta sakkoon tai vankeuteen enintään kuudeksi kuukaudeksi.  
Sitä, joka rikkoo 17 §:n nojalla määrättyä uhkasakolla tehostettua kieltoa, ei voida tuomita rangaistukseen samasta teosta, jos uhkasakko on lainvoimaisella päätöksellä tuomittu maksettavaksi. 
20 § Muutoksenhaku aluehallintoviraston päätökseen 
Aluehallintoviraston 17 ja 18 §:n nojalla tekemään päätökseen saa hakea muutosta valittamalla hallinto-oikeuteen siten kuin hallintolainkäyttölaissa (586/1996) säädetään. 
Muuhun aluehallintoviraston päätökseen saa vaatia oikaisua siten kuin hallintolaissa (434/2003) säädetään. Oikaisuvaatimukseen annettuun päätökseen saa hakea muutosta valittamalla hallinto-oikeuteen siten kuin hallintolainkäyttölaissa säädetään. 
Hallinto-oikeuden päätökseen 17 §:ssä tarkoitettuja kieltoja sekä 18 §:ssä tarkoitettua rekisteristä poistamista koskevassa asiassa saa hakea muutosta valittamalla siten kuin hallintolainkäyttölaissa säädetään. Hallinto-oikeuden muuhun päätökseen saa hakea muutosta valittamalla vain, jos korkein hallinto-oikeus myöntää valitusluvan. 
Tässä laissa tarkoitettua päätöstä rekisteristä poistamisesta ja määräaikaisesta toimintakiellosta on muutoksenhausta huolimatta noudatettava, jollei valitusviranomainen toisin määrää. 
21 § Voimaantulo 
Tämä laki tulee voimaan päivänä kuuta 20 . Tällä lailla kumotaan eräiden luotonantajien rekisteröinnistä annettu laki (747/2010). 
Rekisteri-ilmoitus voidaan ottaa käsiteltäväksi ennen tämän lain voimaantuloa ja ilmoituksen tekijä voidaan rekisteröidä luotonantaja- ja vertaislainanvälittäjärekisteriin tämän lain tullessa voimaan. 
22 § Siirtymäsäännökset 
Sellaista luotonantajaa koskevat tiedot, joka tämän lain voimaan tullessa on merkittynä eräiden luotonantajien rekisteröinnistä annetun lain mukaiseen luotonantajarekisteriin, siirretään tämän lain mukaiseen rekisteriin. Jos luotonantaja myöntää kuluttajansuojalain 7 a luvun soveltamisalaan kuuluvia asunto-omaisuuteen liittyviä kuluttajaluottoja tai harjoittaa vertaislainanvälitystä, tulee sen ilmoittaa tästä aluehallintovirastolle kuuden kuukauden kuluessa tämän lain voimaantulosta. Vertaislainanvälitystä harjoittavan luotonantajan on lisäksi samassa ajassa toimitettava aluehallintovirastolle 3 §:n 1 momentin 5 kohdassa tarkoitettu tieto ja mahdollinen selvitys. 
Se, joka tämän lain voimaan tullessa harjoittaa sellaista vertaislainanvälitystä, joka edellyttää tämän lain mukaan rekisteröintiä, saa jatkaa toimintaansa, kunnes päätös rekisteriin merkitsemisestä on tehty, jos 3 §:n 2 momentissa tarkoitettu rekisteri-ilmoitus tehdään kuuden kuukauden kuluessa lain voimaantulosta. 
Sen, joka on myöntänyt asunto-omaisuuteen liittyviä kuluttajaluottoja vähintään 19 päivästä maaliskuuta 2014, on noudatettava 9 §:n 2 momentin säännöksiä luottotoiminnan tuntemuksesta 21 päivästä maaliskuuta 2017. 
 Lakiehdotus päättyy 

4. Laki luottolaitostoiminnasta annetun lain muuttamisesta 

Eduskunnan päätöksen mukaisesti 
muutetaan luottolaitostoiminnasta annetun lain (610/2014) 15 luvun 11 §:n 1 momentti, 18 luvun 6 §:n 1 momentti ja 20 luvun 1 §:n 2 momentin 3 ja 5 kohta, ja  
lisätään 8 luvun 3 §:ään uusi 3 momentti ja 15 lukuun uusi 12 a § seuraavasti: 
8 luku 
Palkitseminen 
3 § Palkitsemisjärjestelmiä koskevat yleiset vaatimukset 
Ponsiosa 
Palkitsemisjärjestelmistä säädetään lisäksi kuluttajansuojalain (38/1978) 7 luvun 13 §:n 4 momentissa ja 7 a luvun 10 §:n 2 ja 3 momentissa. 
15 luku 
Menettelytavat asiakasliiketoiminnassa 
11 § Enimmäisluototussuhde 
Luottolaitos saa myöntää kuluttajaluottoa, jonka vakuudeksi annetaan asuinhuoneiston hallintaan oikeuttavat yhteisöosuudet, asuinkiinteistö tai kiinteistöä koskeva käyttöoikeus, enintään tämän pykälän mukaisen luototussuhteen mukaisen määrän, jos luotolla on tarkoitus:  
1) hankkia asuinhuoneiston hallintaan oikeuttavat yhteisöosuudet, asuinkiinteistö tai sellainen asuinrakennus, joka sijaitsee kiinteistöä koskevan käyttöoikeuden nojalla hallitulla alueella; tai 
2) tehdä asuinhuoneiston, asuinkiinteistön tai asuinrakennuksen peruskorjaus. 
 Muuttamaton osa säädöstekstistä on jätetty pois 
12 a § Ammatilliset vaatimukset 
Luottolaitoksen palveluksessa olevilla ja muutoin luottolaitoksen lukuun toimivilla henkilöillä, jotka osallistuvat kuluttajansuojalain 7 a luvun soveltamisalaan kuuluvien luottojen myöntämiseen, on oltava luottotoimintaa koskeva riittävä tietämys ja pätevyys ottaen huomioon kuluttajille tarkoitetuista kiinteää asunto-omaisuutta koskevista luottosopimuksista ja direktiivien 2008/48/EY ja 2013/36/EU sekä asetuksen (EU) N:o 1093/2010 muuttamisesta annetun Euroopan parlamentin ja neuvoston direktiivin 2014/17/EU (asuntoluottodirektiivi) III liitteessä säädetyt vaatimukset. Myös henkilöillä, joiden välittömän johdon ja valvonnan alaisina edellä tarkoitetut henkilöt toimivat, on oltava vastaava tietämys ja pätevyys. Vaadittavasta tietämyksestä ja pätevyydestä säädetään tarkemmin valtioneuvoston asetuksella.  
Jos kuluttajansuojalain 7 a luvun soveltamisalaan kuuluvaa kuluttajaluottoa myönnettäessä arvioidaan mainitun luvun 3 §:n 1 momentin 1 kohdassa tarkoitettua asunto-omaisuutta, arvioitsijalla on oltava arviointitehtävään tarvittava riittävä ammattitaito. 
18 luku 
Ulkomaisia luottolaitoksia koskevat erityissäännökset 
6 § Markkinointi ja sopimusehdot sekä muut menettelytavat 
Ulkomaisen luottolaitoksen sivuliikkeeseen sekä ulkomaiseen luottolaitokseen, joka palvelujen vapaan tarjonnan nojalla tarjoaa Suomessa 5 luvun 1 §:ssä tarkoitettuja palveluja, sovelletaan, jollei laista muuta johdu, 1 luvun 9 §:ää sekä 15 luvun 1—3, 5—12 §:ää ja 12 a §:n 1 momenttia. Edellä tarkoitettuun luottolaitokseen, joka tarjoaa palveluja palvelujen vapaan tarjonnan nojalla, ei sovelleta kuitenkaan asuntoluottodirektiivin III liitteen 1 kohdan a, d ja g—i alakohtaa. 
Ponsiosa 
20 luku 
Hallinnolliset seuraamukset 
1 § Seuraamusmaksu 
Ponsiosa 
Finanssivalvonnasta annetun lain 40 §:n 1 momentissa tarkoitettuja säännöksiä ja päätöksiä ovat 1 momentissa säädetyn lisäksi: 
 Muuttamaton osa säädöstekstistä on jätetty pois 
3) tämän lain 7 luvun 1—5 §:n ja 6 §:n 1 momentin säännökset hallinto- ja ohjausjärjestelmästä, 8 luvun 3—14 §:n sekä kuluttajansuojalain 7 luvun 13 §:n 4 momentin ja 7 a luvun 10 §:n 2 ja 3 momentin säännökset palkitsemisesta ja tämän lain 9 luvun 2—21 §:n säännökset riskienhallinnasta;  
 Muuttamaton osa säädöstekstistä on jätetty pois 
5) tämän lain 15 luvun 12 a §:n säännökset ammatillisista vaatimuksista ja 18 §:n säännös asiakkaan tuntemisesta; 
 Muuttamaton osa säädöstekstistä on jätetty pois 
 Voimaantulopykälä tai –säännös alkaa 
Tämä laki tulee voimaan päivänä kuuta 20 .  
Sen, joka on myöntänyt kuluttajansuojalain 7 a luvun soveltamisalaan kuuluvia kuluttajaluottoja vähintään 19 päivästä maaliskuuta 2014, on noudatettava 15 luvun 12 a §:n 1 momentin säännöksiä luottotoiminnan tuntemuksesta 21 päivästä maaliskuuta 2017. 
 Lakiehdotus päättyy 

5. Laki Finanssivalvonnasta annetun lain 5 ja 45 §:n muuttamisesta 

Eduskunnan päätöksen mukaisesti 
muutetaan Finanssivalvonnasta annetun lain (878/2008) 5 §:n 27 kohta ja 45 §, sellaisina kuin ne ovat, 5 §:n 27 kohta laissa 198/2015 ja 45 § laissa 752/2012, ja 
lisätään 5 §:ään, sellaisena kuin se on laeissa 752/2012, 902/2012, 254/2013, 170/2014 ja 198/2015, uusi 28 kohta, seuraavasti: 
5 § Muut finanssimarkkinoilla toimivat 
Muulla finanssimarkkinoilla toimivalla tarkoitetaan tässä laissa: 
 Muuttamaton osa säädöstekstistä on jätetty pois 
27) valtion eläkerahastosta annetun lain 4 f §:ssä ja kunnallisen eläkelain 165 c §:ssä tarkoitettua rekisterin pitäjää; 
28) asunto-omaisuuteen liittyvien kuluttajaluottojen välittäjistä annetussa laissa ( / ) tarkoitettua suomalaista luotonvälittäjää ja ulkomaisen luotonvälittäjän Suomessa toimivaa sivuliikettä.  
45 §  Asiakkaansuojan valvontaa koskevien säännösten soveltamisala 
Finanssivalvonta valvoo, että valvottavat, asunto-omaisuuteen liittyvien kuluttajaluottojen välittäjät ja vakuutusedustajat noudattavat niihin sovellettavia markkinointia ja sopimusehtojen käyttöä sekä kuluttajan kannalta hyvän tavan vastaista tai muutoin sopimatonta menettelyä asiakassuhteessa koskevia säännöksiä. Rahoitusvälineiden markkinointia koskevien säännösten noudattamisen valvonnasta säädetään lisäksi arvopaperimarkkinalaissa, sijoituspalvelulaissa ja muualla laissa. 
Mitä 1 momentissa säädetään, sovelletaan lisäksi ulkomaiseen sivuliikkeeseen, muuhun ulkomaiseen valvottavaan, joka tarjoaa Suomeen palveluja sivuliikettä perustamatta, ulkomaiseen asunto-omaisuuteen liittyvien kuluttajaluottojen välittäjään ja ulkomaiseen vakuutusedustajaan siltä osin kuin Finanssivalvonta on toimivaltainen viranomainen valvomaan niihin sovellettavien 1 momentissa tarkoitettujen säännösten noudattamista. 
 Voimaantulopykälä tai –säännös alkaa 
Tämä laki tulee voimaan päivänä kuuta 20 . 
 Lakiehdotus päättyy 

6. Laki Finanssivalvonnan valvontamaksusta annetun lain 1 ja 6 §:n muuttamisesta 

Eduskunnan päätöksen mukaisesti  
muutetaan Finanssivalvonnan valvontamaksusta annetun lain (879/2008) 1 §:n 1 momentin 19 kohta ja 6 §:n 1 momentti, sellaisina kuin ne ovat laissa 644/2014, ja  
lisätään 1 §:n 1 momenttiin uusi 20 kohta seuraavasti: 
1 § Maksuvelvollinen 
Finanssivalvonnan valvontamaksun on velvollinen suorittamaan: 
 Muuttamaton osa säädöstekstistä on jätetty pois 
19) Finanssivalvonnasta annetun lain 5 §:n 26 kohdassa tarkoitettu toimintayksikkö; 
20) asunto-omaisuuteen liittyvien kuluttajaluottojen välittäjistä annetun lain ( / ) 6 §:n mukaisesti rekisteröity ja sellainen asunto-omaisuuteen liittyvien kuluttajaluottojen välittäjä, joka on rekisteröity muussa Euroopan talousalueeseen kuuluvassa valtiossa kuin Suomessa ja jolla on Suomessa sivuliike. 
 Muuttamaton osa säädöstekstistä on jätetty pois 
6 §  Muun maksuvelvollisen perusmaksu 
Muun kuin 4 §:ssä tarkoitetun maksuvelvollisen perusmaksun määrä euroina sekä maksun suorittamiseen velvolliset määräytyvät seuraavasti: 
Maksuvelvollinen 
Perusmaksu euroina 
arvo-osuusjärjestelmästä ja selvitystoiminnasta annetussa laissa tarkoitettu arvopaperikeskus 
260 000 
luottolaitostoiminnasta annetussa laissa tarkoitettu talletussuojarahasto 
12 000 
luottolaitostoiminnasta annetussa laissa tarkoitettu vakuusrahasto 
2 000 
maksulaitoslain 7 ja 7 a §:ssä tarkoitettu oikeushenkilö 
1 000 
maksulaitoslain 7 ja 7 a §:ssä tarkoitettu luonnollinen henkilö 
200 
sijoituspalvelulaissa tarkoitettu sijoittajien korvausrahasto 
3 000 
vaihtoehtorahastojen hoitajista annetun lain mukaisesti rekisteröitymisvelvollinen vaihtoehtorahastojen hoitaja, jolla ei ole rahastoyhtiön toimilupaa 
1 000 
vaihtoehtorahastojen hoitajista annetun lain 10 luvun 2 §:n 3 momentin mukaisella poikkeusluvalla toimiva 
2 000 
sijoitusrahastolaissa tarkoitettu säilytysyhteisö 
3 000 
vaihtoehtorahastojen hoitajista annetussa laissa tarkoitettu säilytysyhteisö 
3 000 
yhteisö, joka on sijoitusrahastolain ja vaihtoehtorahastojen hoitajista annetun lain mukainen säilytysyhteisö 
5 000 
vaihtoehtorahastojen hoitajista annetussa laissa tarkoitettu erityinen säilytysyhteisö 
2 000 
talletuspankkien yhteenliittymästä annetussa laissa (599/2010) tarkoitettu talletuspankkien yhteenliittymän keskusyhteisö 
6 000 
luottolaitoksen ja vakuutusyhtiön omistusyhteisö sekä rahoitus- ja vakuutusryhmittymien valvonnasta annetussa laissa (699/2004) tarkoitetun ryhmittymän omistusyhteisö 
10 000 
pörssin, arvopaperikeskuksen ja selvitysyhteisön omistusyhteisö 
10 000 
sijoituspalveluyrityksen ja vakuutusyhdistyksen omistusyhteisö 
1 000 
vakuutusedustuksesta annetussa laissa tarkoitettu vakuutusmeklari 
1 000 Perusmaksua korotetaan 180 euroa jokaista vakuutusmeklariyrityksen tai yksityisen elinkeinonharjoittajan palveluksessa olevaa valvontamaksun määräämisvuotta edeltävän vuoden päättyessä rekisteröityä vakuutusmeklaria kohden. 
arvo-osuusjärjestelmästä ja selvitystoiminnasta annetussa laissa tarkoitettu tilinhoitaja 
6 000 
arvo-osuusjärjestelmästä ja selvitystoiminnasta annetussa laissa tarkoitettu keskusvastapuoli 
150 000 
arvo-osuusjärjestelmästä ja selvitystoiminnasta annetussa laissa tarkoitettu selvitysosapuoli 
12 000 
arvo-osuusjärjestelmästä ja selvitystoiminnasta annetun lain 3 luvun 3 §:n 4 momentissa tarkoitettu selvitysrahasto ja 6 luvun 9 §:ssä tarkoitettu kirjausrahasto 
2 000 
kaupankäynnistä rahoitusvälineillä annetussa laissa tarkoitetulla säännellyllä markkinalla Suomessa kaupankäynnin kohteena olevan osakkeen liikkeeseenlaskija 
15 500 Perusmaksua korotetaan 16 000 euroa, jos osakkeelle on kaupankäynnistä rahoitusvälineillä annetun lain 5 luvun 2 §:ssä tarkoitetut likvidit markkinat. 
suomalainen yhtiö, jonka liikkeeseenlaskema osake on otettu hakemuksesta kaupankäynnin kohteeksi kaupankäynnistä rahoitusvälineillä annetussa laissa tarkoitetulla säännellyllä markkinalla yksinomaan muussa Euroopan talousalueeseen kuuluvassa valtiossa kuin Suomessa 
12 500 
kaupankäynnistä rahoitusvälineillä annetussa laissa tarkoitetulla säännellyllä markkinalla Suomessa kaupankäynnin kohteena olevan osakkeen liikkeeseenlaskija, jos kysymyksessä on tämän lain 4 §:ssä tarkoitettu maksuvelvollinen tai jos liikkeeseenlaskijan kotipaikka ei ole Suomessa 
10 500 Perusmaksua korotetaan 11 000 euroa, jos osakkeelle on kaupankäynnistä rahoitusvälineillä annetun lain 5 luvun 2 §:ssä tarkoitetut likvidit markkinat. 
kaupankäynnistä rahoitusvälineillä annetussa laissa tarkoitetulla säännellyllä markkinalla Suomessa kaupankäynnin kohteena olevan muun arvopaperin kuin osakkeen liikkeeseenlaskija 
3 000 
suomalainen yhtiö, jonka liikkeeseenlaskema muu arvopaperi kuin osake on otettu hakemuksesta kaupankäynnin kohteeksi kaupankäynnistä rahoitusvälineillä annetussa laissa tarkoitetulla säännellyllä markkinalla yksinomaan muussa Euroopan talousalueeseen kuuluvassa valtiossa kuin Suomessa 
3 000 
kaupankäynnistä rahoitusvälineillä annetussa laissa tarkoitetussa monenkeskisessä kaupankäyntijärjestelmässä kaupankäynnin kohteena Suomessa hakemuksesta olevan osakkeen liikkeeseenlaskija 
4 000 
kaupankäynnistä rahoitusvälineillä annetussa laissa tarkoitetussa monenkeskisessä kaupankäyntijärjestelmässä kaupankäynnin kohteena Suomessa hakemuksesta olevan muun arvopaperin kuin osakkeen liikkeeseenlaskija 
1 000 
asunto-omaisuuteen liittyvien kuluttajaluottojen välittäjistä annetun lain ( / ) 6 §:n mukaisesti rekisteröity suomalainen luotonvälittäjä, joka ei toimi minkään luotonantajan asiamiehenä 
1 200 
Eläketurvakeskus 
10 000 
liikennevahinkolautakunta ja potilasvahinkolautakunta 
1 000 
Finanssivalvonnasta annetun lain 5 §:n 26 kohdassa tarkoitettu toimintayksikkö 
18 000 
ulkomaisista vakuutusyhtiöistä annetussa laissa (398/1995) tarkoitetun ulkomaisen ETA-vakuutusyhtiön sivuliike 
1 000 
eläkesäätiölaissa ja vakuutuskassalaissa tarkoitettu sellainen ulkomainen ETA-lisäeläkelaitos, jolla on Suomessa sivuliike 
1 000 
kolmannen maan luottolaitoksen edustusto 
1 000 
vakuutusedustuksesta annetussa laissa tarkoitettu vakuutusedustaja, joka on rekisteröity muussa Euroopan talousalueeseen kuuluvassa valtiossa kuin Suomessa ja jolla on Suomessa sivuliike 
300 
markkinarakennetoimija-asetuksen 2 artiklan 8 kohdassa tarkoitettu finanssialalla toimiva vastapuoli, 9 kohdassa tarkoitettu finanssialan ulkopuolinen vastapuoli ja 10 kohdassa tarkoitettu eläkejärjestelmä, jonka kotivaltio on Suomessa 
10 000 
asunto-omaisuuteen liittyvien kuluttajaluottojen välittäjistä annetun lain 2 §:n 1 momentin 6 kohdassa tarkoitettu ulkomainen luotonvälittäjä, jolla on Suomessa sivuliike 
400 
Ponsiosa 
 Voimaantulopykälä tai –säännös alkaa 
Tämä laki tulee voimaan päivänä kuuta 20 . 
 Lakiehdotus päättyy 

7. Laki rahanpesun ja terrorismin rahoittamisen estämisestä ja selvittämisestä annetun lain muuttamisesta 

Eduskunnan päätöksen mukaisesti  
muutetaan rahanpesun ja terrorismin rahoittamisen estämisestä ja selvittämisestä annetun lain (503/2008) 2 §:n 1 momentin 24 kohta ja 31 §:n 1 momentin 1 ja 6 kohta, sellaisina kuin ne ovat 2 §:n 1 momentin 24 kohta laissa 178/2014, 31 §:n 1 momentin 1 kohta laissa 1368/2010 ja 6 kohta laissa 303/2010, sekä 
lisätään 2 §:n 1 momenttiin, sellaisena kuin se on laeissa 303/2010, 1368/2010, 907/2011, 1497/2011, 772/2012, 1185/2013, 178/2014, 638/2014, 1151/2015, uusi 25 ja 26 kohta seuraavasti: 
2 § Lain soveltamisala 
Tätä lakia sovelletaan: 
 Muuttamaton osa säädöstekstistä on jätetty pois 
24) asianajajista annetussa laissa (496/1958) tarkoitettuun asianajajaan ja hänen apulaiseensa sekä muuhun liike- tai ammattitoimintana oikeudellisia palveluita tarjoavaan siltä osin kuin toimitaan asiakkaan puolesta tai lukuun liiketoimissa, jotka liittyvät:
a) kiinteistöjen tai liiketoimintayksikköjen ostamiseen, myyntiin, toteuttamiseen tai suunnitteluun;
b) asiakkaan rahavarojen, arvopaperien tai muiden varojen hoitamiseen;
c) pankki-, säästö- tai arvo-osuustilien avaamiseen tai hoitamiseen;
d) yhtiöiden perustamiseen, johtamiseen tai yritysten hallinnoimiseksi tarvittavien varojen järjestelyyn; tai
e) säätiöiden, yhtiöiden tai vastaavien yhteisöjen perustamiseen, johtamiseen tai niiden toiminnasta vastaamiseen;
 
25) asunto-omaisuuteen liittyvien kuluttajaluottojen välittäjistä annetussa laissa ( / ) tarkoitettuun suomalaiseen luotonvälittäjään ja ulkomaisen luotonvälittäjän Suomessa toimivaan sivuliikkeeseen; 
26) eräiden luotonantajien ja luotonvälittäjien rekisteröinnistä annetun lain ( / ) soveltamisalaan kuuluvaan elinkeinonharjoittajaan tämän välittäessä vertaislainoja. 
31 § Valvonta 
Tämän lain ja sen nojalla annettujen säännösten noudattamista valvoo: 
1) Finanssivalvonta 2 §:n 1 kohdassa tarkoitetun luotto- ja rahoituslaitoksen sekä mainitun pykälän 4—8, 10—13, 20, 20 a ja 25 kohdassa tarkoitettujen ilmoitusvelvollisten osalta; 
 Muuttamaton osa säädöstekstistä on jätetty pois 
6) aluehallintovirasto 2 §:n 9, 23 ja 26 kohdassa tarkoitetun ilmoitusvelvollisen osalta;  
 Muuttamaton osa säädöstekstistä on jätetty pois 
 Voimaantulopykälä tai –säännös alkaa 
Tämä laki tulee voimaan päivänä kuuta 20 . 
 Lakiehdotus päättyy 

8. Laki Harmaan talouden selvitysyksiköstä annetun lain 6 §:n muuttamisesta 

Eduskunnan päätöksen mukaisesti 
muutetaan Harmaan talouden selvitysyksiköstä annetun lain (1207/2010) 6 §:n 1 momentin 16 kohta, sellaisena kuin se on laissa 308/2016, ja 
lisätään 6 §:n 1 momenttiin, sellaisena kuin se on laissa 308/2016, uusi 17 kohta seuraavasti: 
6 § Velvoitteidenhoitoselvityksen käyttötarkoitus 
Velvoitteidenhoitoselvitys laaditaan tukemaan: 
 Muuttamaton osa säädöstekstistä on jätetty pois 
16) työtapaturma- ja ammattitautilain (459/2015) 177 §:n 1 momentissa ja 179 §:ssä tarkoitettua vakuuttamisvelvoitteiden valvontaa; 
17) eräiden luotonantajien ja luotonvälittäjien rekisteröinnistä annetun lain ( / ) 10 §:ssä säädettyä tehtävää. 
 Muuttamaton osa säädöstekstistä on jätetty pois 
 Voimaantulopykälä tai –säännös alkaa 
Tämä laki tulee voimaan päivänä kuuta 20 . 
 Lakiehdotus päättyy 
Helsingissä 19 päivänä toukokuuta 2016  
Pääministeri Juha Sipilä 
Oikeus- ja työministeri Jari Lindström 
Asetusluonnokset

Valtioneuvoston asetus luottosopimuksesta kuluttajalle annettavista tiedoista annetun valtioneuvoston asetuksen muuttamisesta 

Valtioneuvoston päätöksen mukaisesti 
kumotaan luottosopimuksesta kuluttajalle annettavista tiedoista annetun valtioneuvoston asetuksen (789/2010) 5 §:n 2 momentti, 
muutetaan 5 §:n 1 momentin 17 kohta,  
lisätään asetukseen uusi 3 liite, uusi 2 a ja 5 a § sekä 4 §:ään uusi 3 momentti seuraavasti: 
2 a §  Ennen asuntoluottosopimuksen tekemistä annettavat tiedot 
Luotonantajan ja luotonvälittäjän on ilman aiheetonta viivytystä sen jälkeen, kun kuluttaja on antanut tietoja luottoon liittyvistä odotuksistaan ja tarpeistaan sekä taloudellisista olosuhteistaan, ja hyvissä ajoin ennen asuntoluottosopimuksen tekemistä annettava kuluttajalle 3 liitteen A osassa tarkoitetut tiedot. Kuluttajalle mahdollisesti annettavat muut tiedot on annettava erillisessä asiakirjassa. 
Edellä 1 momentissa mainitun liitteen A osan tiedot on annettava B osan täyttöohjeiden mukaisesti.  
4 § Erityisiä luottotyyppejä koskevien ennakkotietojen antaminen puhelimitse 
Ponsiosa 
Tarjottaessa kuluttajalle asuntoluottoa puhelimitse, hänelle on kuluttajansuojalain 6 a luvun 10 §:n 2 momentin 2 kohdan täyttämiseksi annettava ainakin 3 liitteen 3—6 kohdassa tarkoitetut tiedot tarjotusta luotosta. 
5 § Kuluttajaluottosopimuksessa mainittavat tiedot 
Kuluttajaluottosopimuksessa on mainittava seuraavat tiedot: 
 Muuttamaton osa säädöstekstistä on jätetty pois 
17) tieto peruuttamisoikeudesta;  
 Muuttamaton osa säädöstekstistä on jätetty pois 
5 a § Asuntoluottosopimuksessa mainittavat tiedot 
Asuntoluottosopimuksessa on mainittava seuraavat tiedot: 
1) osapuolten nimet ja käyntiosoitteet sekä vastaavat tiedot mahdollisesta luotonvälittäjästä; 
2) luottotyyppi; 
3) luoton määrä tai luottoraja ja luoton nostoa koskevat ehdot; 
4) luottosopimuksen kesto; 
5) korko, koron määräytymisen perusteet ja korkoa koskevat muut ehdot; 
6) kuluttajan maksettavaksi tuleva kokonaismäärä, luoton todellinen vuosikorko ja kaikki koron laskemisessa käytetyt oletukset luottosopimuksen tekohetkellä; 
7) maksuerän suuruus sekä erien lukumäärä ja maksuväli; 
8) luottosopimuksen johdosta perittävät maksut sekä ehdot, joiden mukaisesti näitä maksuja voidaan muuttaa; 
9) jos luoton saamisen edellytyksenä markkinoiduin ehdoin on, että kuluttaja tekee vakuutusta tai muuta lisäpalvelua koskevan sopimuksen, maininta tällaisesta edellytyksestä sekä mahdollisesti vaadittavista vakuuksista; 
10) tieto peruuttamisoikeudesta; 
11) peruuttamisaika, tieto kuluttajan velvollisuudesta palauttaa luottosopimuksen nojalla saamansa varat ja maksaa korko siltä ajalta, jonka varat ovat olleet kuluttajan käytettävissä, maksettavan koron määrä päivää kohden sekä peruuttamisoikeuden käyttämistä koskevat muut ehdot ja ohjeet; 
12) tieto oikeudesta maksaa luotto ennenaikaisesti ja luotonantajan mahdollisesta oikeudesta saada tästä korvausta sekä korvauksen määräytymisen perusteista ja ohjeet ennenaikaisen takaisinmaksuoikeuden käyttämisestä; 
13) viivästyskorko ja sen muuttumista koskevat säännökset sekä mahdolliset muut sopimusrikkomuksen johdosta perittävät maksut; 
14) varoitus maksulaiminlyönnin seuraamuksista; 
15) tieto kuluttajan oikeudesta saada pyynnöstä ja maksutta lyhennystaulukko milloin tahansa luottosopimuksen kuluessa, jos kyse on luottosopimuksesta, joka tehdään määräajaksi ja jonka ehtojen mukaan velan pääomaa lyhennetään erissä; 
16) luettelo korkojen ja maksujen maksukausista ja -ehdoista, jos korkoja ja maksuja on suoritettava ilman velan pääoman lyhennystä; 
17) tiedot osapuolten oikeudesta irtisanoa, eräännyttää tai purkaa luottosopimus; 
18) mahdolliset muut sopimusehdot. 
Jos kyse on luottosopimuksesta, jonka mukaan kuluttajan suorittamat maksut eivät johda välittömään luoton kokonaismäärän vastaavaan lyhenemiseen, vaan ne käytetään pääoman kartuttamiseen luottosopimuksessa tai lisäsopimuksessa vahvistettuina ajanjaksoina ja siinä määrätyin ehdoin, sopimusehdoissa on ilmaistava selkeästi ja tiiviisti, että tällaisessa luottosopimuksessa ei taata luottosopimuksen mukaisesti nostetun luoton kokonaismäärän takaisinmaksua, paitsi jos tällainen takuu annetaan. 
 Voimaantulopykälä tai –säännös alkaa 
Tämä asetus tulee voimaan päivänä kuuta 20 . 

EUROOPPALAINEN STANDARDOITU TIETOSIVU (ESIS)

Asetusluonnokset

Valtioneuvoston asetus luotonantajien ja luotonvälittäjien ammatillisista vaatimuksista asunto-omaisuuteen liittyvissä kuluttajaluotoissa 

Valtioneuvoston päätöksen mukaisesti säädetään: 
1 § Asunto-omaisuuteen liittyvien kuluttajaluottojen välittäjien johtoa koskevat ammatilliset vaatimukset 
Asunto-omaisuuteen liittyvien kuluttajaluottojen välittäjien ylimmällä johdolla on oltava toiminnan laatuun ja laajuuteen nähden tarpeellinen pätevyys liittyen välitettäviin luottoihin ja muihin palveluihin, rahoitukseen, talouteen sekä tarvittaessa kuluttajien luottokelpoisuuden arviointiin. Lisäksi johdolla on oltava asianmukainen tietämys seuraavista seikoista: 
1) asunto-omaisuuteen liittyvistä kuluttajaluotoista ja niiden kanssa tyypillisesti tarjottavista lisäpalveluista; 
2) 1 kohdassa tarkoitettuihin luottoihin ja muihin palveluihin liittyvästä kuluttajansuojalainsäädännöstä ja muusta lainsäädännöstä; 
3) asunto-omaisuuden ostamisprosessista; 
4) asunto-omaisuuden tai luoton vakuudeksi annettavan muun omaisuuden arvon määrittämisestä; 
5) kiinteistöjä koskevista rekistereistä; 
6) luotto- ja asuntomarkkinoista Suomessa; 
7) liiketoiminnan eettisistä normeista; 
8) kuluttajien luottokelpoisuuden arviointiprosessista. 
Vaadittu pätevyys ja tietämys on osoitettava soveltuvalla tutkinnolla tai oppiarvolla ja työkokemuksella, ja se on pidettävä ajan tasalla.  
2 § Luotonantajien ja asunto-omaisuuteen liittyvien kuluttajaluottojen välittäjien henkilöstöä koskevat ammatilliset vaatimukset 
Asunto-omaisuuteen liittyvien kuluttajaluottojen välittäjien sekä tällaisia luottoja myöntävien luotonantajien henkilöstöllä on oltava sellainen 1 §:n 1 momentissa tarkoitettu pätevyys ja tietämys kuin on tarpeen ottaen huomioon henkilön tehtävä luotonannossa, luotonvälityksessä tai neuvontapalvelun tarjonnassa. Pätevyys ja tietämys on osoitettava soveltuvalla tutkinnolla, oppiarvolla, koulutuksella tai osaamiskokeella ja mahdollisella työkokemuksella vastaavanlaatuisissa tehtävissä.  
3 § Voimaantulo 
Tämä asetus tulee voimaan päivänä kuuta 2016. 
Asetuksen 2 §:ssä tarkoitettu tietämys ja pätevyys voidaan osoittaa 21 päivään maaliskuuta 2019 asti myös yksinomaan asianmukaisella työkokemuksella vastaavanlaatuisissa tehtävissä.  
Asetusluonnokset

Oikeusministeriön asetus kuluttajaluoton todellisesta vuosikorosta 

Oikeusministeriön päätöksen mukaisesti säädetään kuluttajansuojalain (38/1978) 7 luvun 6 §:n 3 momentin, 7 a luvun 3 §:n 3 momentin ja panttilainauslaitoksista annetun lain (1353/1992) 14 a §:n 2 momentin nojalla, sellaisina kuin ne ovat, kuluttajansuojalain 7 luvun 6 §:n 3 momentti laissa 746/2010, 7 a luvun 3 §:n 3 momentti laissa ( / ) ja panttilainauslaitoksista annetun lain 14 a §:n 2 momentti laissa 748/2010: 
1 § Määritelmiä 
Tässä asetuksessa tarkoitetaan: 
1) tilapäisluotolla asunto-omaisuuteen liittyvää kuluttajaluottoa, jonka takaisinmaksuaikaa ei ole määrätty tai joka on maksettava takaisin 12 kuukauden kuluessa ja jota kuluttaja käyttää väliaikaisena rahoitusratkaisuna ollessaan siirtymässä toiseen asunto-omaisuutta koskevaan rahoitusjärjestelyyn; 
2) ehdollisella velalla tai takauksella asunto-omaisuuteen liittyvää luottosopimusta, jolla taataan toinen erillinen mutta asiaan liittyvä liiketoimi ja jossa pääoma, jonka vakuudeksi annetaan asunto-omaisuutta, nostetaan vasta, jos sopimuksen mukainen yksi tai useampi tapahtuma toteutuu; 
3) jaetun omistusosuuden luottosopimuksella luottosopimusta, jossa takaisin maksettava pääoma perustuu sopimuksella määrättyyn prosenttiosuuteen asunto-omaisuuden arvosta pääoman takaisinmaksun tai takaisinmaksujen hetkellä. 
2 § Todellisen vuosikoron laskeminen 
Kuluttajansuojalain (38/1978) 7 tai 7 a luvun soveltamisalaan kuuluvan luoton ja panttilainauslaitoksista annetun lain (1353/1992) soveltamisalaan kuuluvan lainan todellinen vuosikorko lasketaan liitteen I osassa esitetyn matemaattisen kaavan mukaisesti. 
3 § Laskemisessa käytettävät oletukset 
Todellista vuosikorkoa laskettaessa on perusoletuksena, että luottosopimus on voimassa sovitun jakson loppuun ja että luotonantaja ja kuluttaja täyttävät velvollisuutensa luottosopimuksessa määrättyjä ehtoja ja päivämääriä noudattaen. 
Jos luottosopimuksissa on ehtoja, joiden mukaan todelliseen vuosikorkoon sisältyvät luoton korko ja mahdolliset maksut voivat muuttua mutta niiden suuruutta ei laskentahetkellä voida määrittää, todellinen vuosikorko lasketaan olettaen, että luoton korko ja muut maksut pysyvät alkuperäiseen tasoon nähden ennallaan ja että niitä sovelletaan luottosopimuksen loppuun asti. 
Lisäksi todellista vuosikorkoa laskettaessa on käytettävä liitteen II osassa mainittuja lisäoletuksia. 
4 § Voimaantulo 
Tämä asetus tulee voimaan päivänä kuuta 20 . 
Tällä asetuksella kumotaan oikeusministeriön asetus kuluttajaluoton todellisesta vuosikorosta (824/2010).  

TODELLISEN VUOSIKORON LASKEMINEN

I Perusyhtälö, joka osoittaa yhtäältä luoton nostoerien ja toisaalta takaisinmaksujen ja luotosta perittävien maksujen vastaavuuden. 
Perusyhtälö, joka määrittelee todellisen vuosikoron ja osoittaa vuositasolla yhtäläisyyden yhtäältä luoton nostoerien summan nykyarvon ja toisaalta takaisinmaksujen ja maksujen summan nykyarvon välillä, on seuraava: 
Yhtälössä 
X on todellinen vuosikorko 
m on viimeisen nostoerän järjestysnumero 
k on nostoerän numero, joten 1 ≤ km 
Ck on nostoerän k määrä 
tk on vuosina ja vuosien osina ilmaistu ensimmäisen nostoerän nostopäivän ja kunkin myöhemmän nostoerän nostopäivän välinen aika, joten t 1 = 0 
m’ on viimeisen takaisinmaksun tai maksun numero 
l on takaisinmaksun tai maksun numero 
D1 on takaisinmaksun tai maksun määrä 
s1 on vuosina ja vuosien osina ilmaistu ensimmäisen nostoerän nostopäivän ja kunkin takaisinmaksun tai maksun maksupäivän välinen aika. 
Huomautuksia: 
1) Osapuolten eri ajankohtina maksamien määrien ei tarvitse olla samansuuruisia, eikä niitä tarvitse maksaa noudattaen samoja maksuvälejä. 
2) Ensimmäinen päivämäärä on ensimmäisen nostoerän nostopäivä. 
3) Laskelmissa käytettävien päivämäärien välinen aika ilmaistaan vuosina ja vuosien osina. Vuodessa on 365 päivää (karkausvuosina 366), 52 viikkoa tai 12 yhtä pitkää kuukautta. Tällaisen kuukauden pituus on 30,41666 päivää (ts. 365/12) riippumatta siitä, onko kyseessä karkausvuosi. 
Jos laskelmissa käytettävien päivämäärien välistä aikaa ei voida ilmaista kokonaislukuna viikkoina, kuukausina tai vuosina, kyseinen aika ilmaistaan näistä ajanjaksoista jonkin kokonaislukuna ja päivien lukumääränä. Jos käytetään päiviä: 
a) lasketaan jokainen päivä, mukaan lukien viikonloput ja pyhäpäivät; 
b) lasketaan samanpituisia ajanjaksoja ja sen jälkeen päiviä taaksepäin ensimmäisen noston päivämäärään asti; 
c) päivinä ilmoitettavan ajanjakson pituus saadaan jättämällä pois ensimmäinen päivämäärä ja ottamalla mukaan viimeinen päivämäärä; ajanjakson pituus ilmaistaan vuosina jakamalla tämä ajanjakso kokonaisen vuoden päivien lukumäärällä (365 tai 366 päivää), joka on laskettu taaksepäin viimeisestä päivästä edellisen vuoden samaan päivään. 
4) Laskelman tulos ilmoitetaan vähintään yhden desimaalin tarkkuudella. Jos seuraava desimaali on 5 tai suurempi, sitä edeltävän desimaalin arvoon lisätään 1. 
5) Yhtälö voidaan kirjoittaa toisin käyttäen vain yhtä summaa ja käsitettä ”rahavirta” (Ak), joka on positiivinen tai negatiivinen eli vuosina ilmaistuina jaksoina 1—n joko maksettuja tai vastaanotettuja suorituksia, eli: 
missä S on nykyarvoiksi muutettujen rahavirtojen saldo. Jos rahavirrat halutaan säilyttää tasapainossa, S:n arvo on nolla. 
II Todellisen vuosikoron laskemisessa käytetyt lisäoletukset 
1) Jos kuluttaja saa luottosopimuksen perusteella päättää luoton nostoista, luoton kokonaismäärä katsotaan nostettavan kerralla ja välittömästi. 
2) Jos luottosopimuksessa on sovittu erilaisista nostotavoista, joihin sovelletaan erisuuruisia maksuja tai lainakorkoja, luoton kokonaismäärä katsotaan nostettavan kyseisen luottosopimustyypin yleisimpään nostotapaan sovellettavan suurimman maksun ja lainakoron mukaisesti. 
3) Jos kuluttajalla on luottosopimuksen perusteella oikeus yleisesti päättää luoton nostotavoista, mutta eri nostotavoissa on määrällisiä ja ajallisia rajoituksia, luoton määrä katsotaan nostettavan aikaisimpana mahdollisena sopimuksessa sovittuna ajankohtana ja näiden nostoa koskevien rajoitusten mukaisesti. 
4) Käyttelytiliin liittyvässä luottosopimuksessa luoton kokonaismäärä katsotaan nostettavan kokonaisuudessaan ja koko luottosopimuksen voimassaoloajalta. Jos luottosopimuksen voimassaoloaika ei ole tiedossa, todellinen vuosikorko lasketaan olettaen, että voimassaoloaika on kolme kuukautta. 
5) Tilapäisluotoissa luoton kokonaismäärä katsotaan nostettavan kokonaisuudessaan ja koko luottosopimuksen voimassaoloajalta. Jos luottosopimuksen voimassaoloaika ei ole tiedossa, todellinen vuosikorko lasketaan olettaen, että luoton voimassaoloaika on 12 kuukautta. 
6) Jos kyse on jatkuvasta luotosta, joka ei ole käyttelytiliin liittyvä luotto eikä tilapäisluotto, oletetaan, että: 
a) asuntoluotto myönnetään 20 vuodeksi ensimmäisestä nostosta ja jäljellä oleva luoton pääoma ja luottokustannukset tulevat kuluttajan viimeisellä maksuerällä kokonaan maksetuiksi; 
b) muu kuin asuntoluotto tai luotto, joka nostetaan maksuaikakortilla tai luottokortilla, myönnetään vuodeksi ensimmäisestä nostosta ja jäljellä oleva luoton pääoma ja luottokustannukset tulevat kuluttajan viimeisellä maksuerällä kokonaan maksetuiksi; 
c) kuluttaja maksaa luoton pääoman takaisin saman määräisinä kuukausierinä, joista ensimmäinen maksetaan kuukauden kuluttua ensimmäisen noston päivämäärästä, tai jos pääoma on maksettava takaisin kerralla kokonaisuudessaan kunkin laskutusjakson aikana, kuluttajan myöhemmin tekemien nostojen ja koko pääoman takaisinmaksun oletetaan tapahtuvan yhden vuoden kuluessa, ja luottokustannukset huomioidaan pääoman takaisinmaksujen mukaisesti ja luottosopimuksessa sovitulla tavalla. 
7) Ehdollisissa veloissa tai takauksissa luoton kokonaismäärä katsotaan nostettavan kokonaisuudessaan yhtenä summana seuraavista ajankohdista sen mukaan, kumpi on aikaisempi: 
a) viimeisenä sen luottosopimuksen mukaan sallittuna nostopäivänä, joka on ehdollisen sitoumuksen tai takauksen mahdollinen peruste, tai 
b) uudistettavissa olevissa luotoissa sopimuksen uudistamista edeltävän alkuvaiheen lopussa. 
8) Jos kyse on jaetun omistusosuuden luottosopimuksesta, oletetaan, että: 
a) maksut suoritetaan aina viimeisenä luottosopimuksen mukaan sallittuna päivänä; 
b) luoton vakuutena olevan kiinteän omaisuuden arvon prosenttimääräisen nousun ja sopimuksessa mahdollisesti mainitun inflaatioindeksin tason oletetaan olevan yhtä suuri kuin keskuspankin senhetkinen inflaatiotavoite tai sen jäsenvaltion inflaatioaste, jossa kiinteä omaisuus sijaitsee luottosopimuksen tekohetkellä, sen mukaan, kumpi näistä on suurempi, taikka 0 prosenttia, jos nämä arvot ovat negatiivisia. 
9) Laskettaessa muiden kuin 4—8 kohdassa tarkoitettujen luottojen todellista vuosikorkoa oletetaan, että: 
a) takaisinmaksu tapahtuu aikaisimpana luottosopimuksessa mainittuna päivänä ja pienimmän luottosopimuksessa sovitun määrän suuruisena, jos pääoman takaisinmaksupäivä tai määrä ei ole tiedossa;  
b) ensimmäinen nosto tehdään päivänä, joka vastaa lyhintä ajanjaksoa kyseisen päivän ja päivän, jona kuluttajan on maksettava ensimmäinen maksuerä, välillä, jos luottosopimuksen tekopäivä ei ole tiedossa. 
10) Jos luottokustannusten maksupäivä tai määrä ei ole määritettävissä luottosopimuksen, luotonantajan yleisesti käyttämien ehtojen tai 4—8 kohdassa tarkoitettujen oletusten perusteella, oletetaan, että: 
a) korko maksetaan yhdessä pääomaerien kanssa;  
b) muu kuin koroksi luokiteltava kertamaksu maksetaan luottosopimuksen tekopäivänä;  
c) useassa erässä maksettavat, muut kuin koroksi luokiteltavat maksut maksetaan säännöllisin väliajoin pääoman ensimmäisen erän takaisinmaksupäivästä, ja jos tällaisten maksujen määrä ei ole tiedossa, niiden oletetaan olevan saman määräisiä;  
d) luoton pääoma ja luottokustannukset tulevat kuluttajan viimeisellä maksuerällä kokonaan maksetuiksi. 
11) Jos luoton määrää ei ole vielä sovittu, luoton määräksi oletetaan 170 000 euroa. Kun kyse on käyttelytiliin liittyvästä luotosta, maksuaika- tai luottokortilla nostettavasta luotosta taikka muusta luotosta kuin asuntoluotosta tai ehdollisesta velasta tai takauksesta, luoton määräksi oletetaan 1 500 euroa. 
12) Jos tietyksi ajanjaksoksi tai tietylle määrälle tarjotaan erisuuruisia korkoja ja maksuja, korkokannaksi ja maksuiksi katsotaan korkein korko ja maksu koko luottosopimuksen voimassaoloaikana. 
13) Sellaisten kuluttajaluottosopimusten, joiden osalta on sovittu kiinteästä luoton korosta alkuvaiheessa, jonka lopussa määritellään uusi lainakorko, jota tämän jälkeen määräjoin mukautetaan sovitun indikaattorin tai sisäisen viitekoron mukaisesti, todellinen vuosikorko lasketaan olettaen, että kiinteäkorkoisen jakson päätyttyä lainakorko on sama kuin ajankohtana, jolloin todellinen vuosikorko lasketaan kyseisenä ajankohtana sovitun indikaattorin arvon tai sisäisen viitekoron perusteella mutta joka ei kuitenkaan ole kiinteää lainakorkoa alhaisempi. 
14) Opintolainan todellista vuosikorkoa laskettaessa on tyypillisenä luottomääränä pidettävä 4 500 euroa ja tyypillisenä laina-aikana 15 vuotta.